Development of Lung Cancer Risk Prediction Machine Learning Models for Equitable Learning Health System: Retrospective Study.

IF 2
JMIR AI Pub Date : 2024-09-11 DOI:10.2196/56590
Anjun Chen, Erman Wu, Ran Huang, Bairong Shen, Ruobing Han, Jian Wen, Zhiyong Zhang, Qinghua Li
{"title":"Development of Lung Cancer Risk Prediction Machine Learning Models for Equitable Learning Health System: Retrospective Study.","authors":"Anjun Chen, Erman Wu, Ran Huang, Bairong Shen, Ruobing Han, Jian Wen, Zhiyong Zhang, Qinghua Li","doi":"10.2196/56590","DOIUrl":null,"url":null,"abstract":"<p><strong>Background: </strong>A significant proportion of young at-risk patients and nonsmokers are excluded by the current guidelines for lung cancer (LC) screening, resulting in low-screening adoption. The vision of the US National Academy of Medicine to transform health systems into learning health systems (LHS) holds promise for bringing necessary structural changes to health care, thereby addressing the exclusivity and adoption issues of LC screening.</p><p><strong>Objective: </strong>This study aims to realize the LHS vision by designing an equitable, machine learning (ML)-enabled LHS unit for LC screening. It focuses on developing an inclusive and practical LC risk prediction model, suitable for initializing the ML-enabled LHS (ML-LHS) unit. This model aims to empower primary physicians in a clinical research network, linking central hospitals and rural clinics, to routinely deliver risk-based screening for enhancing LC early detection in broader populations.</p><p><strong>Methods: </strong>We created a standardized data set of health factors from 1397 patients with LC and 1448 control patients, all aged 30 years and older, including both smokers and nonsmokers, from a hospital's electronic medical record system. Initially, a data-centric ML approach was used to create inclusive ML models for risk prediction from all available health factors. Subsequently, a quantitative distribution of LC health factors was used in feature engineering to refine the models into a more practical model with fewer variables.</p><p><strong>Results: </strong>The initial inclusive 250-variable XGBoost model for LC risk prediction achieved performance metrics of 0.86 recall, 0.90 precision, and 0.89 accuracy. Post feature refinement, a practical 29-variable XGBoost model was developed, displaying performance metrics of 0.80 recall, 0.82 precision, and 0.82 accuracy. This model met the criteria for initializing the ML-LHS unit for risk-based, inclusive LC screening within clinical research networks.</p><p><strong>Conclusions: </strong>This study designed an innovative ML-LHS unit for a clinical research network, aiming to sustainably provide inclusive LC screening to all at-risk populations. It developed an inclusive and practical XGBoost model from hospital electronic medical record data, capable of initializing such an ML-LHS unit for community and rural clinics. The anticipated deployment of this ML-LHS unit is expected to significantly improve LC-screening rates and early detection among broader populations, including those typically overlooked by existing screening guidelines.</p>","PeriodicalId":73551,"journal":{"name":"JMIR AI","volume":"3 ","pages":"e56590"},"PeriodicalIF":2.0000,"publicationDate":"2024-09-11","publicationTypes":"Journal Article","fieldsOfStudy":null,"isOpenAccess":false,"openAccessPdf":"https://www.ncbi.nlm.nih.gov/pmc/articles/PMC11425024/pdf/","citationCount":"0","resultStr":null,"platform":"Semanticscholar","paperid":null,"PeriodicalName":"JMIR AI","FirstCategoryId":"1085","ListUrlMain":"https://doi.org/10.2196/56590","RegionNum":0,"RegionCategory":null,"ArticlePicture":[],"TitleCN":null,"AbstractTextCN":null,"PMCID":null,"EPubDate":"","PubModel":"","JCR":"","JCRName":"","Score":null,"Total":0}
引用次数: 0

Abstract

Background: A significant proportion of young at-risk patients and nonsmokers are excluded by the current guidelines for lung cancer (LC) screening, resulting in low-screening adoption. The vision of the US National Academy of Medicine to transform health systems into learning health systems (LHS) holds promise for bringing necessary structural changes to health care, thereby addressing the exclusivity and adoption issues of LC screening.

Objective: This study aims to realize the LHS vision by designing an equitable, machine learning (ML)-enabled LHS unit for LC screening. It focuses on developing an inclusive and practical LC risk prediction model, suitable for initializing the ML-enabled LHS (ML-LHS) unit. This model aims to empower primary physicians in a clinical research network, linking central hospitals and rural clinics, to routinely deliver risk-based screening for enhancing LC early detection in broader populations.

Methods: We created a standardized data set of health factors from 1397 patients with LC and 1448 control patients, all aged 30 years and older, including both smokers and nonsmokers, from a hospital's electronic medical record system. Initially, a data-centric ML approach was used to create inclusive ML models for risk prediction from all available health factors. Subsequently, a quantitative distribution of LC health factors was used in feature engineering to refine the models into a more practical model with fewer variables.

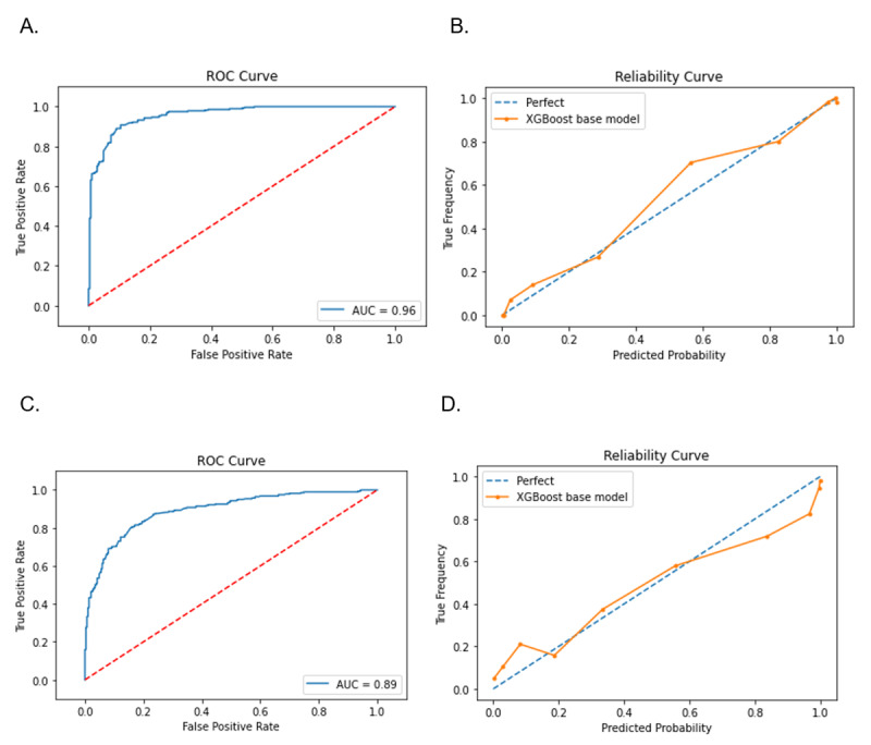
Results: The initial inclusive 250-variable XGBoost model for LC risk prediction achieved performance metrics of 0.86 recall, 0.90 precision, and 0.89 accuracy. Post feature refinement, a practical 29-variable XGBoost model was developed, displaying performance metrics of 0.80 recall, 0.82 precision, and 0.82 accuracy. This model met the criteria for initializing the ML-LHS unit for risk-based, inclusive LC screening within clinical research networks.

Conclusions: This study designed an innovative ML-LHS unit for a clinical research network, aiming to sustainably provide inclusive LC screening to all at-risk populations. It developed an inclusive and practical XGBoost model from hospital electronic medical record data, capable of initializing such an ML-LHS unit for community and rural clinics. The anticipated deployment of this ML-LHS unit is expected to significantly improve LC-screening rates and early detection among broader populations, including those typically overlooked by existing screening guidelines.

Abstract Image

Abstract Image

Abstract Image

开发肺癌风险预测机器学习模型,促进公平学习的医疗系统:回顾性研究。
背景:目前的肺癌筛查指南将很大一部分年轻的高危患者和非吸烟者排除在外,导致筛查的采用率很低。美国国家医学院提出的将医疗系统转变为学习型医疗系统(LHS)的愿景有望为医疗保健带来必要的结构性变化,从而解决肺癌筛查的排他性和采用率问题:本研究旨在通过为低血糖筛查设计一个公平的、由机器学习(ML)支持的 LHS 单元来实现 LHS 愿景。本研究的重点是开发一个包容性强且实用的低血糖风险预测模型,该模型适用于初始化支持机器学习的低血糖筛查系统(ML-LHS)。该模型旨在增强临床研究网络中基层医生的能力,将中心医院和农村诊所联系起来,定期提供基于风险的筛查,以提高更多人群的乳腺癌早期发现率:我们从一家医院的电子病历系统中创建了一个标准化的健康因素数据集,这些数据来自 1397 名 LC 患者和 1448 名对照组患者,年龄均在 30 岁及以上,包括吸烟者和非吸烟者。最初,研究人员采用了以数据为中心的 ML 方法,从所有可用的健康因素中创建了用于风险预测的包容性 ML 模型。随后,在特征工程中使用了LC健康因素的定量分布,将模型改进为变量更少、更实用的模型:结果:用于 LC 风险预测的初始包含 250 个变量的 XGBoost 模型的召回率为 0.86,精确率为 0.90,准确率为 0.89。经过特征改进后,开发出了一个实用的 29 变量 XGBoost 模型,其召回率为 0.80,精确率为 0.82,准确率为 0.82。该模型符合在临床研究网络中为基于风险的包容性低血糖筛查初始化 ML-LHS 单元的标准:本研究为临床研究网络设计了一个创新的 ML-LHS 单元,旨在为所有高危人群提供可持续的包容性低血糖筛查。该研究从医院电子病历数据中开发了一个包容性和实用的 XGBoost 模型,能够为社区和农村诊所初始化这样一个 ML-LHS 单元。预计该 ML-LHS 设备的部署将显著提高更广泛人群的 LC 筛查率和早期发现率,包括那些通常被现有筛查指南忽视的人群。
本文章由计算机程序翻译,如有差异,请以英文原文为准。
求助全文
约1分钟内获得全文 求助全文
来源期刊
自引率
0.00%
发文量
0
×
引用
GB/T 7714-2015
复制
MLA
复制
APA
复制
导出至
BibTeX EndNote RefMan NoteFirst NoteExpress
×
提示
您的信息不完整,为了账户安全,请先补充。
现在去补充
×
提示
您因"违规操作"
具体请查看互助需知
我知道了
×
提示
确定
请完成安全验证×
copy
已复制链接
快去分享给好友吧!
我知道了
右上角分享
点击右上角分享
0
联系我们:info@booksci.cn Book学术提供免费学术资源搜索服务,方便国内外学者检索中英文文献。致力于提供最便捷和优质的服务体验。 Copyright © 2023 布克学术 All rights reserved.
京ICP备2023020795号-1
ghs 京公网安备 11010802042870号
Book学术文献互助
Book学术文献互助群
群 号:604180095
Book学术官方微信