Alterations in infant gut microbiome composition and metabolism after exposure to glyphosate and Roundup and/or a spore-based formulation using the SHIME technology.

Gut microbiome (Cambridge, England) Pub Date : 2022-07-26 eCollection Date: 2022-01-01 DOI:10.1017/gmb.2022.5
Robin Mesnage, Marta Calatayud, Cindy Duysburgh, Massimo Marzorati, Michael N Antoniou
{"title":"Alterations in infant gut microbiome composition and metabolism after exposure to glyphosate and Roundup and/or a spore-based formulation using the SHIME technology.","authors":"Robin Mesnage, Marta Calatayud, Cindy Duysburgh, Massimo Marzorati, Michael N Antoniou","doi":"10.1017/gmb.2022.5","DOIUrl":null,"url":null,"abstract":"<p><p>Despite extensive research into the toxicology of the herbicide glyphosate, there are still major unknowns regarding its effects on the human gut microbiome. We describe the effects of glyphosate and a Roundup glyphosate-based herbicide on infant gut microbiota using SHIME technology. SHIME microbiota culture was undertaken in the presence of a concentration of 100-mg/L glyphosate and the same glyphosate equivalent concentration of Roundup. Roundup and to a lesser extent glyphosate caused an increase in fermentation activity, resulting in acidification of the microbial environment. This was also reflected by an increase in lactate and acetate production concomitant to a decrease in the levels of propionate, valerate, caproate and butyrate. Ammonium production reflecting proteolytic activities was increased by Roundup exposure. Global metabolomics revealed large-scale disturbances, including an increased abundance of long-chain polyunsaturated fatty acids. Changes in bacterial composition measured by qPCR and 16S rRNA suggested that lactobacilli had their growth stimulated as a result of microenvironment acidification. Co-treatment with the spore-based probiotic formulation MegaSporeBiotic reverted some of the changes in short-chain fatty acid levels. Altogether, our results suggest that glyphosate can exert effects on human gut microbiota.</p>","PeriodicalId":73187,"journal":{"name":"Gut microbiome (Cambridge, England)","volume":"3 ","pages":"e6"},"PeriodicalIF":0.0000,"publicationDate":"2022-07-26","publicationTypes":"Journal Article","fieldsOfStudy":null,"isOpenAccess":false,"openAccessPdf":"https://www.ncbi.nlm.nih.gov/pmc/articles/PMC11406414/pdf/","citationCount":"0","resultStr":null,"platform":"Semanticscholar","paperid":null,"PeriodicalName":"Gut microbiome (Cambridge, England)","FirstCategoryId":"1085","ListUrlMain":"https://doi.org/10.1017/gmb.2022.5","RegionNum":0,"RegionCategory":null,"ArticlePicture":[],"TitleCN":null,"AbstractTextCN":null,"PMCID":null,"EPubDate":"2022/1/1 0:00:00","PubModel":"eCollection","JCR":"","JCRName":"","Score":null,"Total":0}
引用次数: 0

Abstract

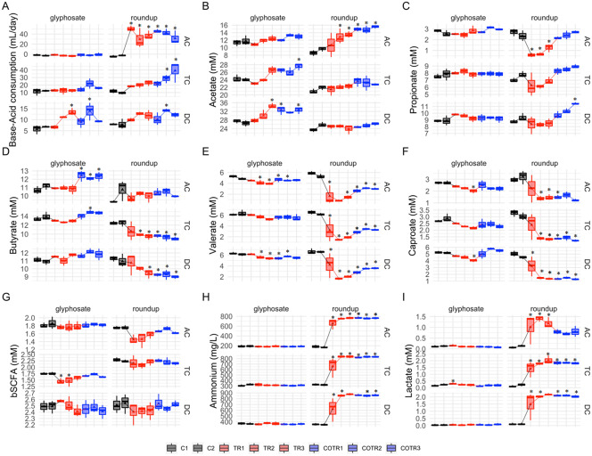
Despite extensive research into the toxicology of the herbicide glyphosate, there are still major unknowns regarding its effects on the human gut microbiome. We describe the effects of glyphosate and a Roundup glyphosate-based herbicide on infant gut microbiota using SHIME technology. SHIME microbiota culture was undertaken in the presence of a concentration of 100-mg/L glyphosate and the same glyphosate equivalent concentration of Roundup. Roundup and to a lesser extent glyphosate caused an increase in fermentation activity, resulting in acidification of the microbial environment. This was also reflected by an increase in lactate and acetate production concomitant to a decrease in the levels of propionate, valerate, caproate and butyrate. Ammonium production reflecting proteolytic activities was increased by Roundup exposure. Global metabolomics revealed large-scale disturbances, including an increased abundance of long-chain polyunsaturated fatty acids. Changes in bacterial composition measured by qPCR and 16S rRNA suggested that lactobacilli had their growth stimulated as a result of microenvironment acidification. Co-treatment with the spore-based probiotic formulation MegaSporeBiotic reverted some of the changes in short-chain fatty acid levels. Altogether, our results suggest that glyphosate can exert effects on human gut microbiota.

Abstract Image

Abstract Image

Abstract Image

接触草甘膦和 Roundup 和/或使用 SHIME 技术的孢子制剂后,婴儿肠道微生物组的组成和代谢发生变化。
尽管对除草剂草甘膦的毒理学进行了广泛的研究,但其对人体肠道微生物群的影响仍是一个重大的未知数。我们利用 SHIME 技术描述了草甘膦和 Roundup 草甘膦除草剂对婴儿肠道微生物群的影响。在 100 毫克/升草甘膦浓度和相同草甘膦当量浓度的 Roundup 存在下进行 SHIME 微生物群培养。驱避剂和少量草甘膦引起了发酵活动的增加,导致微生物环境酸化。这也反映在乳酸盐和醋酸盐产量增加的同时,丙酸盐、戊酸盐、己酸盐和丁酸盐的含量下降。氨的产生反映了蛋白水解活动,而驱集素的暴露则增加了氨的产生。全球代谢组学显示了大规模的干扰,包括长链多不饱和脂肪酸含量的增加。通过 qPCR 和 16S rRNA 测定的细菌组成变化表明,微环境酸化刺激了乳酸菌的生长。使用孢子益生菌制剂 MegaSporeBiotic 进行联合处理后,短链脂肪酸水平的一些变化得到了逆转。总之,我们的研究结果表明草甘膦会对人体肠道微生物群产生影响。
本文章由计算机程序翻译,如有差异,请以英文原文为准。
求助全文
约1分钟内获得全文 求助全文
来源期刊
自引率
0.00%
发文量
0
×
引用
GB/T 7714-2015
复制
MLA
复制
APA
复制
导出至
BibTeX EndNote RefMan NoteFirst NoteExpress
×
提示
您的信息不完整,为了账户安全,请先补充。
现在去补充
×
提示
您因"违规操作"
具体请查看互助需知
我知道了
×
提示
确定
请完成安全验证×
copy
已复制链接
快去分享给好友吧!
我知道了
右上角分享
点击右上角分享
0
联系我们:info@booksci.cn Book学术提供免费学术资源搜索服务,方便国内外学者检索中英文文献。致力于提供最便捷和优质的服务体验。 Copyright © 2023 布克学术 All rights reserved.
京ICP备2023020795号-1
ghs 京公网安备 11010802042870号
Book学术文献互助
Book学术文献互助群
群 号:604180095
Book学术官方微信