IS THERE A ROLE FOR BILIODIGESTIVE BYPASS SURGERY IN TREATING CHOLESTASIS IN ADVANCED PANCREATIC CANCER?

IF 1.8
Lucas Cata Preta Stolzemburg, Francisco Tustumi, Thiago Costa Ribeiro, Ricardo Jureidini, Mauricio Paulin Sorbello, Fauze Maluf-Filho, José Jukemura, Ulysses Ribeiro Junior, Guilherme Naccache Namur
{"title":"IS THERE A ROLE FOR BILIODIGESTIVE BYPASS SURGERY IN TREATING CHOLESTASIS IN ADVANCED PANCREATIC CANCER?","authors":"Lucas Cata Preta Stolzemburg, Francisco Tustumi, Thiago Costa Ribeiro, Ricardo Jureidini, Mauricio Paulin Sorbello, Fauze Maluf-Filho, José Jukemura, Ulysses Ribeiro Junior, Guilherme Naccache Namur","doi":"10.1590/0102-6720202400030e1823","DOIUrl":null,"url":null,"abstract":"<p><strong>Background: </strong>The unresectable pancreatic head tumors develop obstructive jaundice and cholestasis during follow-up. Cholestasis is associated with complications and treatment options are endoscopic stenting (ES) and biliary bypass surgery (BBS).</p><p><strong>Aims: </strong>The aim of the current study was to compare the safety and efficacy of biliary bypass surgery (BBS) and endoscopic stenting (ES) for cholestasis in advanced pancreas cancer.</p><p><strong>Methods: </strong>This is a retrospective cohort of patients with cholestasis and unresectable or metastatic pancreas cancer, treated with BBS or ES. Short and long-term outcomes were evaluated. We considered the need for hospital readmission due to biliary complications as treatment failure.</p><p><strong>Results: </strong>A total of 93 patients (BBS=43; ES=50) were included in the study. BBS was associated with a higher demand for postoperative intensive care (37 vs.10%; p=0.002, p<0.050), longer intensive care unit stay (1.44 standard deviation±2.47 vs. 0.66±2.24 days; p=0.004, p<0.050), and longer length of hospital stay (7.95±2.99 vs. 4.29±5.50 days; p<0.001, p<0.050). BBS had a higher risk for procedure-related complications (23 vs. 8%; p=0.049, p<0.050). There was no difference in overall survival between BBS and ES (p=0.089, p>0.050). ES was independently associated with a higher risk for treatment failure than BBS on multivariate analysis (hazard ratio 3.97; p=0.009, p<0.050).</p><p><strong>Conclusions: </strong>BBS is associated with longer efficacy than ES for treating cholestasis in advanced pancreatic cancer. However, the BBS is associated with prolonged intensive care unit and hospital stays and higher demand for intensive care.</p>","PeriodicalId":72298,"journal":{"name":"Arquivos brasileiros de cirurgia digestiva : ABCD = Brazilian archives of digestive surgery","volume":"37 ","pages":"e1823"},"PeriodicalIF":1.8000,"publicationDate":"2024-09-13","publicationTypes":"Journal Article","fieldsOfStudy":null,"isOpenAccess":false,"openAccessPdf":"https://www.ncbi.nlm.nih.gov/pmc/articles/PMC11407092/pdf/","citationCount":"0","resultStr":null,"platform":"Semanticscholar","paperid":null,"PeriodicalName":"Arquivos brasileiros de cirurgia digestiva : ABCD = Brazilian archives of digestive surgery","FirstCategoryId":"1085","ListUrlMain":"https://doi.org/10.1590/0102-6720202400030e1823","RegionNum":0,"RegionCategory":null,"ArticlePicture":[],"TitleCN":null,"AbstractTextCN":null,"PMCID":null,"EPubDate":"2024/1/1 0:00:00","PubModel":"eCollection","JCR":"","JCRName":"","Score":null,"Total":0}
引用次数: 0

Abstract

Background: The unresectable pancreatic head tumors develop obstructive jaundice and cholestasis during follow-up. Cholestasis is associated with complications and treatment options are endoscopic stenting (ES) and biliary bypass surgery (BBS).

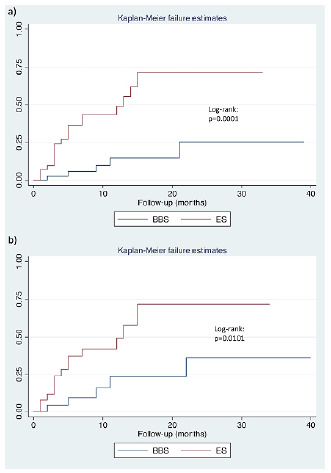
Aims: The aim of the current study was to compare the safety and efficacy of biliary bypass surgery (BBS) and endoscopic stenting (ES) for cholestasis in advanced pancreas cancer.

Methods: This is a retrospective cohort of patients with cholestasis and unresectable or metastatic pancreas cancer, treated with BBS or ES. Short and long-term outcomes were evaluated. We considered the need for hospital readmission due to biliary complications as treatment failure.

Results: A total of 93 patients (BBS=43; ES=50) were included in the study. BBS was associated with a higher demand for postoperative intensive care (37 vs.10%; p=0.002, p<0.050), longer intensive care unit stay (1.44 standard deviation±2.47 vs. 0.66±2.24 days; p=0.004, p<0.050), and longer length of hospital stay (7.95±2.99 vs. 4.29±5.50 days; p<0.001, p<0.050). BBS had a higher risk for procedure-related complications (23 vs. 8%; p=0.049, p<0.050). There was no difference in overall survival between BBS and ES (p=0.089, p>0.050). ES was independently associated with a higher risk for treatment failure than BBS on multivariate analysis (hazard ratio 3.97; p=0.009, p<0.050).

Conclusions: BBS is associated with longer efficacy than ES for treating cholestasis in advanced pancreatic cancer. However, the BBS is associated with prolonged intensive care unit and hospital stays and higher demand for intensive care.

Abstract Image

Abstract Image

Abstract Image

胆道旁路手术在治疗晚期胰腺癌胆汁淤积症中有作用吗?
背景:无法切除的胰头肿瘤在随访期间会出现梗阻性黄疸和胆汁淤积。胆汁淤积与并发症有关,治疗方法有内镜支架植入术(ES)和胆道搭桥术(BBS)。目的:本研究旨在比较胆道搭桥术(BBS)和内镜支架植入术(ES)治疗晚期胰腺癌胆汁淤积的安全性和有效性:这是一项回顾性队列研究,研究对象为胆汁淤积合并不可切除或转移性胰腺癌、接受 BBS 或 ES 治疗的患者。对短期和长期疗效进行了评估。我们将胆道并发症导致的再入院视为治疗失败:共有 93 名患者(BBS=43;ES=50)被纳入研究。BBS 与更高的术后重症监护需求相关(37 对 10%;P=0.002,P0.050)。在多变量分析中,ES与较高的治疗失败风险相关(危险比3.97;P=0.009,P结论:在治疗晚期胰腺癌胆汁淤积方面,BBS比ES疗效更长。但 BBS 与重症监护室和住院时间延长以及重症监护需求增加有关。
本文章由计算机程序翻译,如有差异,请以英文原文为准。
求助全文
约1分钟内获得全文 求助全文
来源期刊
自引率
0.00%
发文量
0
×
引用
GB/T 7714-2015
复制
MLA
复制
APA
复制
导出至
BibTeX EndNote RefMan NoteFirst NoteExpress
×
提示
您的信息不完整,为了账户安全,请先补充。
现在去补充
×
提示
您因"违规操作"
具体请查看互助需知
我知道了
×
提示
确定
请完成安全验证×
copy
已复制链接
快去分享给好友吧!
我知道了
右上角分享
点击右上角分享
0
联系我们:info@booksci.cn Book学术提供免费学术资源搜索服务,方便国内外学者检索中英文文献。致力于提供最便捷和优质的服务体验。 Copyright © 2023 布克学术 All rights reserved.
京ICP备2023020795号-1
ghs 京公网安备 11010802042870号
Book学术文献互助
Book学术文献互助群
群 号:604180095
Book学术官方微信