SIMAP500: A novel risk score to identify recipients at higher risk of hepatocellular carcinoma recurrence following liver transplantation.

Amr Alnagar, Nekisa Zakeri, Konstantinos Koilias, Rosemary E Faulkes, Rachel Brown, Owen Cain, M Thamara P R Perera, Keith J Roberts, Rebeca Sanabria-Mateos, David C Bartlett, Yuk Ting Ma, Shivan Sivakumar, Shishir Shetty, Tahir Shah, Bobby V M Dasari
{"title":"SIMAP500: A novel risk score to identify recipients at higher risk of hepatocellular carcinoma recurrence following liver transplantation.","authors":"Amr Alnagar, Nekisa Zakeri, Konstantinos Koilias, Rosemary E Faulkes, Rachel Brown, Owen Cain, M Thamara P R Perera, Keith J Roberts, Rebeca Sanabria-Mateos, David C Bartlett, Yuk Ting Ma, Shivan Sivakumar, Shishir Shetty, Tahir Shah, Bobby V M Dasari","doi":"10.5500/wjt.v14.i3.95849","DOIUrl":null,"url":null,"abstract":"<p><strong>Background: </strong>Recurrence of hepatocellular carcinoma (HCC) following liver transplantation (LT) has a devastating influence on recipients' survival; however, the risk of recurrence is not routinely stratified. Risk stratification is vital with a long LT waiting time, as that could influence the recurrence despite strict listing criteria.</p><p><strong>Aim: </strong>This study aims to identify predictors of recurrence and develop a novel risk prediction score to forecast HCC recurrence following LT.</p><p><strong>Methods: </strong>A retrospective review of LT for HCC recipients at University Hospitals Birmingham between July 2011 and February 2020. Univariate and multivariate analyses were performed to identify recurrence predictors, based on which the novel SIMAP500 (satellite nodules, increase in size, microvascular invasion, AFP > 500, poor differentiation) risk score was proposed.</p><p><strong>Results: </strong>234 LTs for HCC were performed with a median follow-up of 5.3 years. Recurrence developed in 25 patients (10.7%). On univariate analyses, RETREAT score > 3, α-fetoprotein (AFP) at listing 100-500 and > 500, bridging, increased tumour size between imaging at the listing time and explant histology, increase in the size of viable tumour between listing and explant, presence of satellite nodules, micro- and macrovascular invasion on explant and poor differentiation of tumours were significantly associated with recurrence, based on which, the SIMAP500 risk score is proposed. The SIMAP500 demonstrated an excellent predictive ability (c-index = 0.803) and outperformed the RETREAT score (c-index = 0.73). SIMAP500 is indicative of the time to disease recurrence.</p><p><strong>Conclusion: </strong>SIMAP500 risk score identifies the LT recipients at risk of HCC recurrence. Risk stratification allows patient-centric post-transplant surveillance programs. Further validation of the score is recommended.</p>","PeriodicalId":65557,"journal":{"name":"世界移植杂志","volume":"14 3","pages":"95849"},"PeriodicalIF":0.0000,"publicationDate":"2024-09-18","publicationTypes":"Journal Article","fieldsOfStudy":null,"isOpenAccess":false,"openAccessPdf":"https://www.ncbi.nlm.nih.gov/pmc/articles/PMC11317860/pdf/","citationCount":"0","resultStr":null,"platform":"Semanticscholar","paperid":null,"PeriodicalName":"世界移植杂志","FirstCategoryId":"3","ListUrlMain":"https://doi.org/10.5500/wjt.v14.i3.95849","RegionNum":0,"RegionCategory":null,"ArticlePicture":[],"TitleCN":null,"AbstractTextCN":null,"PMCID":null,"EPubDate":"","PubModel":"","JCR":"","JCRName":"","Score":null,"Total":0}
引用次数: 0

Abstract

Background: Recurrence of hepatocellular carcinoma (HCC) following liver transplantation (LT) has a devastating influence on recipients' survival; however, the risk of recurrence is not routinely stratified. Risk stratification is vital with a long LT waiting time, as that could influence the recurrence despite strict listing criteria.

Aim: This study aims to identify predictors of recurrence and develop a novel risk prediction score to forecast HCC recurrence following LT.

Methods: A retrospective review of LT for HCC recipients at University Hospitals Birmingham between July 2011 and February 2020. Univariate and multivariate analyses were performed to identify recurrence predictors, based on which the novel SIMAP500 (satellite nodules, increase in size, microvascular invasion, AFP > 500, poor differentiation) risk score was proposed.

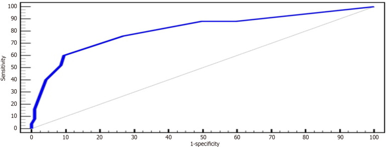
Results: 234 LTs for HCC were performed with a median follow-up of 5.3 years. Recurrence developed in 25 patients (10.7%). On univariate analyses, RETREAT score > 3, α-fetoprotein (AFP) at listing 100-500 and > 500, bridging, increased tumour size between imaging at the listing time and explant histology, increase in the size of viable tumour between listing and explant, presence of satellite nodules, micro- and macrovascular invasion on explant and poor differentiation of tumours were significantly associated with recurrence, based on which, the SIMAP500 risk score is proposed. The SIMAP500 demonstrated an excellent predictive ability (c-index = 0.803) and outperformed the RETREAT score (c-index = 0.73). SIMAP500 is indicative of the time to disease recurrence.

Conclusion: SIMAP500 risk score identifies the LT recipients at risk of HCC recurrence. Risk stratification allows patient-centric post-transplant surveillance programs. Further validation of the score is recommended.

Abstract Image

Abstract Image

SIMAP500:用于识别肝移植后肝细胞癌复发风险较高的受者的新型风险评分。
背景:肝移植(LT)后肝细胞癌(HCC)的复发对受者的生存有着毁灭性的影响;然而,复发风险并未进行常规分层。本研究旨在确定复发的预测因素,并开发一种新的风险预测评分来预测LT术后HCC的复发:方法:回顾性分析伯明翰大学医院2011年7月至2020年2月期间HCC患者的LT治疗情况。进行单变量和多变量分析以确定复发预测因素,并在此基础上提出了新的 SIMAP500(卫星结节、体积增大、微血管侵犯、AFP > 500、分化不良)风险评分。25例患者(10.7%)出现复发。在单变量分析中,RETREAT评分>3、挂号时α-胎儿蛋白(AFP)100-500和>500、桥接、挂号时影像学检查和病理切片组织学检查之间肿瘤体积增大、挂号和病理切片之间存活肿瘤体积增大、存在卫星结节、病理切片上微血管和大血管侵犯以及肿瘤分化不良与复发显著相关,据此提出了SIMAP500风险评分。SIMAP500 的预测能力极佳(c-index = 0.803),优于 RETREAT 评分(c-index = 0.73)。SIMAP500可指示疾病复发的时间:SIMAP500风险评分可识别有HCC复发风险的LT受者。风险分层有助于开展以患者为中心的移植后监测计划。建议进一步验证该评分。
本文章由计算机程序翻译,如有差异,请以英文原文为准。
求助全文
约1分钟内获得全文 求助全文
来源期刊
CiteScore
3.50
自引率
0.00%
发文量
293
×
引用
GB/T 7714-2015
复制
MLA
复制
APA
复制
导出至
BibTeX EndNote RefMan NoteFirst NoteExpress
×
提示
您的信息不完整,为了账户安全,请先补充。
现在去补充
×
提示
您因"违规操作"
具体请查看互助需知
我知道了
×
提示
确定
请完成安全验证×
copy
已复制链接
快去分享给好友吧!
我知道了
右上角分享
点击右上角分享
0
联系我们:info@booksci.cn Book学术提供免费学术资源搜索服务,方便国内外学者检索中英文文献。致力于提供最便捷和优质的服务体验。 Copyright © 2023 布克学术 All rights reserved.
京ICP备2023020795号-1
ghs 京公网安备 11010802042870号
Book学术文献互助
Book学术文献互助群
群 号:604180095
Book学术官方微信