Comparison of Intercostal Nerve Block and Serratus Anterior Plane Block for Perioperative Pain Management and Impact on Chronic Pain in Thoracoscopic Surgery: A Randomized Controlled Trial.

IF 3.1 3区 医学 Q2 ANESTHESIOLOGY
Jiahui Jin, Huanan Sun, Xinyue Zhang, Xinyi Wu, Xue Pan, Danni Lv, Yi He, Xuezhao Cao
{"title":"Comparison of Intercostal Nerve Block and Serratus Anterior Plane Block for Perioperative Pain Management and Impact on Chronic Pain in Thoracoscopic Surgery: A Randomized Controlled Trial.","authors":"Jiahui Jin, Huanan Sun, Xinyue Zhang, Xinyi Wu, Xue Pan, Danni Lv, Yi He, Xuezhao Cao","doi":"10.1097/AJP.0000000000001248","DOIUrl":null,"url":null,"abstract":"<p><strong>Objectives: </strong>The intent of this study was to compare the analgesic efficacy of intercostal nerve block (ICNB) under direct thoracoscopic visualization and serratus anterior plane block (SAPB) with ultrasound guidance during thoracoscopic surgery's perioperative period. Furthermore, it examined their impact on chronic pain and identifies potential risk factors associated with its development.</p><p><strong>Materials and methods: </strong>In this prospective randomized controlled study, 74 thoracoscopic surgery patients were randomly assigned to ICNB or SAPB groups. Attending surgeons administered ICNB, while anesthesiologists performed SAPB, both using 20 mL of 0.5% ropivacaine. Primary outcomes included Visual Analog Scale (VAS) scores for resting and coughing pain at 6, 12, 24, and 48 hours postoperatively, perioperative opioid and NSAID consumption, and chronic pain incidence at 3 months postoperatively. Secondary outcomes aimed to identify independent risk factors for chronic pain.</p><p><strong>Results: </strong>The primary results reveal that the SAPB group exhibited significantly lower VAS scores than the ICNB group for postoperative coughing at 24 hours ( P <0.001, 95% CI=0.5, 1) and for resting pain at 48 hours ( P =0.001, 95% CI=0.2, 1). Conversely, the ICNB group demonstrated a reduced VAS score for resting pain at 6 hours compared with the SAPB group ( P =0.014, 95% CI=-0.5, 0.5). SAPB group required significantly less intraoperative sulfentanil ( P <0.001, 95% CI=2.5, 5), remifentanil ( P =0.005, 95% CI=-0.4, -0.1), and flurbiprofen ester ( P =0.003, 95% CI=0, 50) than ICNB group. Chronic pain incidence was similar ( P =0.572, 95% CI=0.412, 1.279), with mild pain in both ICNB and SAPB groups. Secondary findings indicate that resting VAS score at 12 hours (OR=7.59, P =0.048, 95% CI=1.02, 56.46), chest tube duration (OR=3.35, P =0.029, 95% CI=1.13, 9.97), and surgical duration (OR=1.02, P =0.049, 95% CI=1.00, 1.03) were significant predictors of chronic pain occurrence.</p><p><strong>Discussion: </strong>ICNB and SAPB demonstrated comparable analgesic effects, with similar rates of chronic pain occurrence. Chronic pain independent risk factors included resting VAS score at 12 hours, chest tube duration, and surgical duration.</p>","PeriodicalId":50678,"journal":{"name":"Clinical Journal of Pain","volume":" ","pages":"691-699"},"PeriodicalIF":3.1000,"publicationDate":"2024-12-01","publicationTypes":"Journal Article","fieldsOfStudy":null,"isOpenAccess":false,"openAccessPdf":"https://www.ncbi.nlm.nih.gov/pmc/articles/PMC11540294/pdf/","citationCount":"0","resultStr":null,"platform":"Semanticscholar","paperid":null,"PeriodicalName":"Clinical Journal of Pain","FirstCategoryId":"3","ListUrlMain":"https://doi.org/10.1097/AJP.0000000000001248","RegionNum":3,"RegionCategory":"医学","ArticlePicture":[],"TitleCN":null,"AbstractTextCN":null,"PMCID":null,"EPubDate":"","PubModel":"","JCR":"Q2","JCRName":"ANESTHESIOLOGY","Score":null,"Total":0}
引用次数: 0

Abstract

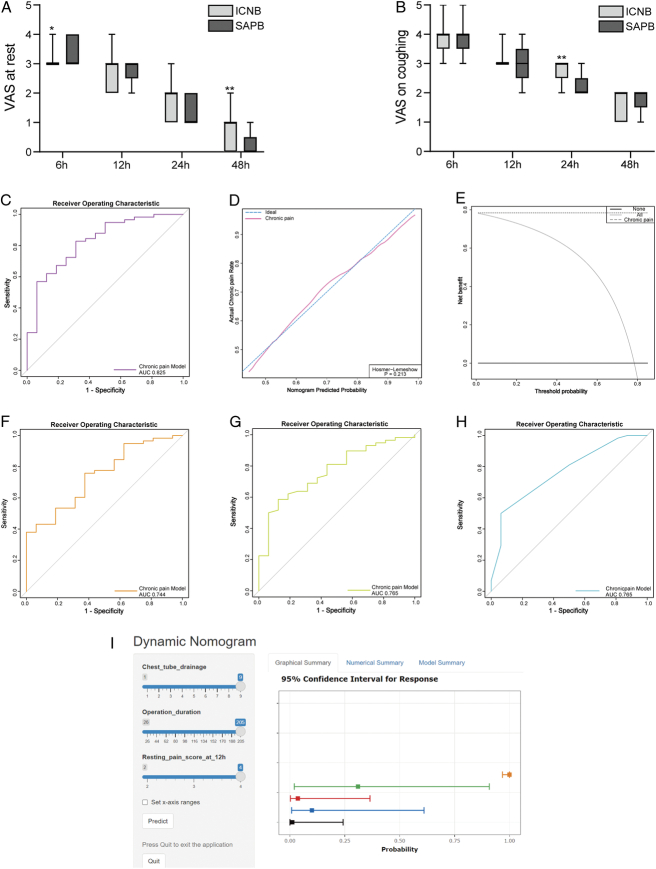
Objectives: The intent of this study was to compare the analgesic efficacy of intercostal nerve block (ICNB) under direct thoracoscopic visualization and serratus anterior plane block (SAPB) with ultrasound guidance during thoracoscopic surgery's perioperative period. Furthermore, it examined their impact on chronic pain and identifies potential risk factors associated with its development.

Materials and methods: In this prospective randomized controlled study, 74 thoracoscopic surgery patients were randomly assigned to ICNB or SAPB groups. Attending surgeons administered ICNB, while anesthesiologists performed SAPB, both using 20 mL of 0.5% ropivacaine. Primary outcomes included Visual Analog Scale (VAS) scores for resting and coughing pain at 6, 12, 24, and 48 hours postoperatively, perioperative opioid and NSAID consumption, and chronic pain incidence at 3 months postoperatively. Secondary outcomes aimed to identify independent risk factors for chronic pain.

Results: The primary results reveal that the SAPB group exhibited significantly lower VAS scores than the ICNB group for postoperative coughing at 24 hours ( P <0.001, 95% CI=0.5, 1) and for resting pain at 48 hours ( P =0.001, 95% CI=0.2, 1). Conversely, the ICNB group demonstrated a reduced VAS score for resting pain at 6 hours compared with the SAPB group ( P =0.014, 95% CI=-0.5, 0.5). SAPB group required significantly less intraoperative sulfentanil ( P <0.001, 95% CI=2.5, 5), remifentanil ( P =0.005, 95% CI=-0.4, -0.1), and flurbiprofen ester ( P =0.003, 95% CI=0, 50) than ICNB group. Chronic pain incidence was similar ( P =0.572, 95% CI=0.412, 1.279), with mild pain in both ICNB and SAPB groups. Secondary findings indicate that resting VAS score at 12 hours (OR=7.59, P =0.048, 95% CI=1.02, 56.46), chest tube duration (OR=3.35, P =0.029, 95% CI=1.13, 9.97), and surgical duration (OR=1.02, P =0.049, 95% CI=1.00, 1.03) were significant predictors of chronic pain occurrence.

Discussion: ICNB and SAPB demonstrated comparable analgesic effects, with similar rates of chronic pain occurrence. Chronic pain independent risk factors included resting VAS score at 12 hours, chest tube duration, and surgical duration.

Abstract Image

Abstract Image

胸腔镜手术围手术期疼痛治疗中肋间神经阻滞与锯齿状前平面阻滞的比较及其对慢性疼痛的影响:随机对照试验。
研究目的本研究比较了胸腔镜手术围手术期在胸腔镜直视下进行肋间神经阻滞(ICNB)和在超声引导下进行肋前神经阻滞(SAPB)的镇痛效果。此外,研究还探讨了它们对慢性疼痛的影响,并确定了与慢性疼痛发生相关的潜在风险因素:在这项前瞻性随机对照研究中,74 名胸腔镜手术患者被随机分配到 ICNB 或 SAPB 组。外科医生主治 ICNB,麻醉师主治 SAPB,均使用 20 mL 0.5% 罗哌卡因。主要结果包括术后6、12、24和48小时静息痛和咳嗽痛的视觉模拟量表(VAS)评分、围手术期阿片类药物和非甾体抗炎药的消耗量以及术后3个月的慢性疼痛发生率。次要结果旨在确定慢性疼痛的独立风险因素:主要结果显示,SAPB 组术后 24 小时咳嗽的 VAS 评分明显低于 ICNB 组(PD 讨论):ICNB和SAPB的镇痛效果相当,慢性疼痛发生率相似。慢性疼痛的独立风险因素包括 12 小时后的静息 VAS 评分、胸导管持续时间和手术持续时间。
本文章由计算机程序翻译,如有差异,请以英文原文为准。
求助全文
约1分钟内获得全文 求助全文
来源期刊
Clinical Journal of Pain
Clinical Journal of Pain 医学-临床神经学
CiteScore
5.40
自引率
3.40%
发文量
118
审稿时长
4-8 weeks
期刊介绍: ​​​The Clinical Journal of Pain explores all aspects of pain and its effective treatment, bringing readers the insights of leading anesthesiologists, surgeons, internists, neurologists, orthopedists, psychiatrists and psychologists, clinical pharmacologists, and rehabilitation medicine specialists. This peer-reviewed journal presents timely and thought-provoking articles on clinical dilemmas in pain management; valuable diagnostic procedures; promising new pharmacological, surgical, and other therapeutic modalities; psychosocial dimensions of pain; and ethical issues of concern to all medical professionals. The journal also publishes Special Topic issues on subjects of particular relevance to the practice of pain medicine.
×
引用
GB/T 7714-2015
复制
MLA
复制
APA
复制
导出至
BibTeX EndNote RefMan NoteFirst NoteExpress
×
提示
您的信息不完整,为了账户安全,请先补充。
现在去补充
×
提示
您因"违规操作"
具体请查看互助需知
我知道了
×
提示
确定
请完成安全验证×
copy
已复制链接
快去分享给好友吧!
我知道了
右上角分享
点击右上角分享
0
联系我们:info@booksci.cn Book学术提供免费学术资源搜索服务,方便国内外学者检索中英文文献。致力于提供最便捷和优质的服务体验。 Copyright © 2023 布克学术 All rights reserved.
京ICP备2023020795号-1
ghs 京公网安备 11010802042870号
Book学术文献互助
Book学术文献互助群
群 号:604180095
Book学术官方微信