Factors Correlated to the Renoprotective Effect of Sitagliptin in Patients with Type 2 Diabetes Mellitus: Retrospective Observational Study.

IF 3 Q3 PHARMACOLOGY & PHARMACY
Advances in Pharmacological and Pharmaceutical Sciences Pub Date : 2024-08-30 eCollection Date: 2024-01-01 DOI:10.1155/2024/7181515
Pirawan Khunkit, Konkanok Wattana
{"title":"Factors Correlated to the Renoprotective Effect of Sitagliptin in Patients with Type 2 Diabetes Mellitus: Retrospective Observational Study.","authors":"Pirawan Khunkit, Konkanok Wattana","doi":"10.1155/2024/7181515","DOIUrl":null,"url":null,"abstract":"<p><strong>Background: </strong>Sitagliptin functions similarly to GLP-1RAs by incretin and insulin secretion and has a renoprotective effect. Diabetic kidney disease (DKD) is a kidney complication that increases the mortality rate in type 2 diabetes mellitus (T2DM) patients. The important parameters that predict appropriate sitagliptin treatment are known as factors. This study aimed to assess factors that correlated with the renoprotective effect of sitagliptin in patients with T2DM.</p><p><strong>Methods: </strong>This retrospective study collected data from a tertiary hospital in Thailand. All T2DM patients who were treated with sitagliptin and had complete data were recruited to analyze the outcome. The primary outcome was a correlation between demographics, laboratory data, and kidney outcome. The secondary outcome was the different laboratory results between pre- and posttreatment of patients treated with sitagliptin.</p><p><strong>Results: </strong>The number of patients who were treated for T2DM with sitagliptin was 191. Only 102 patients had complete laboratory parameters. Results showed a positive correlation between baseline FBS, Hb<sub>A1c</sub>, and Scr change (<i>p</i> value = 0.042 and 0.005) at 6 months and baseline age, TG, and Scr change (<i>p</i> value = 0.010 and 0.022) at 18 months; while a negative correlation was observed between baseline FBS, Hb<sub>A1c</sub>, and eGFR change (<i>p</i> value = 0.017 and 0.007) at 6 months and baseline age and eGFR change (<i>p</i> value = 0.010) and between HDL-cholesterol and Scr change at 18 months (<i>p</i> value = 0.044). The eGFR stage 1 subgroup showed a positive correlation between baseline Hb<sub>A1c</sub> and Scr change (<i>p</i> value <0.001) and baseline DM duration and eGFR change (<i>p</i> value = 0.004). Moreover, sitagliptin showed statistically significant FBS, Hb<sub>A1c</sub>, LDL-cholesterol, and TC reduction. Furthermore, HDL-cholesterol showed statistically significant elevation.</p><p><strong>Conclusion: </strong>FBS, HbA1c, and age were factors that correlated with the renoprotective effect of sitagliptin. The eGFR ≥90.00 ml/min/1.73 m<sup>2</sup> patients group showed a duration of DM in which factors correlated with renoprotective effect. Moreover, sitagliptin also can improve glucose levels and lipid profile.</p>","PeriodicalId":7369,"journal":{"name":"Advances in Pharmacological and Pharmaceutical Sciences","volume":"2024 ","pages":"7181515"},"PeriodicalIF":3.0000,"publicationDate":"2024-08-30","publicationTypes":"Journal Article","fieldsOfStudy":null,"isOpenAccess":false,"openAccessPdf":"https://www.ncbi.nlm.nih.gov/pmc/articles/PMC11379513/pdf/","citationCount":"0","resultStr":null,"platform":"Semanticscholar","paperid":null,"PeriodicalName":"Advances in Pharmacological and Pharmaceutical Sciences","FirstCategoryId":"1085","ListUrlMain":"https://doi.org/10.1155/2024/7181515","RegionNum":0,"RegionCategory":null,"ArticlePicture":[],"TitleCN":null,"AbstractTextCN":null,"PMCID":null,"EPubDate":"2024/1/1 0:00:00","PubModel":"eCollection","JCR":"Q3","JCRName":"PHARMACOLOGY & PHARMACY","Score":null,"Total":0}
引用次数: 0

Abstract

Background: Sitagliptin functions similarly to GLP-1RAs by incretin and insulin secretion and has a renoprotective effect. Diabetic kidney disease (DKD) is a kidney complication that increases the mortality rate in type 2 diabetes mellitus (T2DM) patients. The important parameters that predict appropriate sitagliptin treatment are known as factors. This study aimed to assess factors that correlated with the renoprotective effect of sitagliptin in patients with T2DM.

Methods: This retrospective study collected data from a tertiary hospital in Thailand. All T2DM patients who were treated with sitagliptin and had complete data were recruited to analyze the outcome. The primary outcome was a correlation between demographics, laboratory data, and kidney outcome. The secondary outcome was the different laboratory results between pre- and posttreatment of patients treated with sitagliptin.

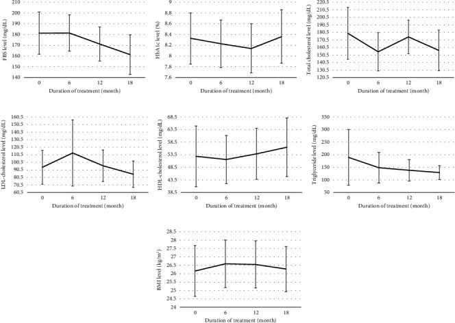
Results: The number of patients who were treated for T2DM with sitagliptin was 191. Only 102 patients had complete laboratory parameters. Results showed a positive correlation between baseline FBS, HbA1c, and Scr change (p value = 0.042 and 0.005) at 6 months and baseline age, TG, and Scr change (p value = 0.010 and 0.022) at 18 months; while a negative correlation was observed between baseline FBS, HbA1c, and eGFR change (p value = 0.017 and 0.007) at 6 months and baseline age and eGFR change (p value = 0.010) and between HDL-cholesterol and Scr change at 18 months (p value = 0.044). The eGFR stage 1 subgroup showed a positive correlation between baseline HbA1c and Scr change (p value <0.001) and baseline DM duration and eGFR change (p value = 0.004). Moreover, sitagliptin showed statistically significant FBS, HbA1c, LDL-cholesterol, and TC reduction. Furthermore, HDL-cholesterol showed statistically significant elevation.

Conclusion: FBS, HbA1c, and age were factors that correlated with the renoprotective effect of sitagliptin. The eGFR ≥90.00 ml/min/1.73 m2 patients group showed a duration of DM in which factors correlated with renoprotective effect. Moreover, sitagliptin also can improve glucose levels and lipid profile.

Abstract Image

Abstract Image

Abstract Image

西他列汀对 2 型糖尿病患者肾脏保护作用的相关因素:回顾性观察研究
背景:西他列汀通过增量素和胰岛素分泌发挥与 GLP-1RA 类似的功能,并具有肾脏保护作用。糖尿病肾病(DKD)是一种肾脏并发症,会增加 2 型糖尿病(T2DM)患者的死亡率。预测西格列汀治疗适当性的重要参数被称为因素。本研究旨在评估与西他列汀对T2DM患者肾脏保护作用相关的因素:这项回顾性研究收集了泰国一家三级医院的数据。所有接受过西他列汀治疗且数据完整的 T2DM 患者均被纳入研究对象,以分析研究结果。主要结果是人口统计学、实验室数据和肾脏结果之间的相关性。次要结果是接受西格列汀治疗的患者在治疗前和治疗后的不同实验室结果:使用西格列汀治疗 T2DM 的患者人数为 191 人。只有 102 名患者有完整的实验室指标。结果显示,6 个月时的基线 FBS、HbA1c 和 Scr 变化(p 值 = 0.042 和 0.005)与 18 个月时的基线年龄、TG 和 Scr 变化(p 值 = 0.010 和 0.022);而 6 个月时基线 FBS、HbA1c 和 eGFR 变化(p 值 = 0.017 和 0.007)与 18 个月时基线年龄和 eGFR 变化(p 值 = 0.010)以及 18 个月时高密度脂蛋白胆固醇和 Scr 变化(p 值 = 0.044)之间呈负相关。eGFR 1 期亚组显示基线 HbA1c 与 Scr 变化呈正相关(p 值 p 值 = 0.004)。此外,西格列汀对 FBS、HbA1c、低密度脂蛋白胆固醇和总胆固醇的降低具有显著的统计学意义。此外,高密度脂蛋白胆固醇的升高也有统计学意义:结论:FBS、HbA1c 和年龄是西他列汀肾保护作用的相关因素。eGFR≥90.00毫升/分钟/1.73平方米患者组显示,DM持续时间与肾保护作用相关。此外,西格列汀还能改善血糖水平和血脂状况。
本文章由计算机程序翻译,如有差异,请以英文原文为准。
求助全文
约1分钟内获得全文 求助全文
来源期刊
CiteScore
4.30
自引率
3.60%
发文量
0
审稿时长
17 weeks
×
引用
GB/T 7714-2015
复制
MLA
复制
APA
复制
导出至
BibTeX EndNote RefMan NoteFirst NoteExpress
×
提示
您的信息不完整,为了账户安全,请先补充。
现在去补充
×
提示
您因"违规操作"
具体请查看互助需知
我知道了
×
提示
确定
请完成安全验证×
copy
已复制链接
快去分享给好友吧!
我知道了
右上角分享
点击右上角分享
0
联系我们:info@booksci.cn Book学术提供免费学术资源搜索服务,方便国内外学者检索中英文文献。致力于提供最便捷和优质的服务体验。 Copyright © 2023 布克学术 All rights reserved.
京ICP备2023020795号-1
ghs 京公网安备 11010802042870号
Book学术文献互助
Book学术文献互助群
群 号:604180095
Book学术官方微信