Association of mammographic and sonographic findings with prognostic molecular factors and hormone receptor expression in malignant breast lesions.

IF 1.5 4区 医学 Q2 MEDICINE, GENERAL & INTERNAL
Journal of Research in Medical Sciences Pub Date : 2024-07-12 eCollection Date: 2024-01-01 DOI:10.4103/jrms.jrms_587_22
Mahshid Bahrami, Fatemeh Karami, Ali Hekmatnia, Sepideh Soltani, Pedram Fadavi, Farzaneh Hekmatnia, Andrew Parviz Zarei, Hengameh Nazari
{"title":"Association of mammographic and sonographic findings with prognostic molecular factors and hormone receptor expression in malignant breast lesions.","authors":"Mahshid Bahrami, Fatemeh Karami, Ali Hekmatnia, Sepideh Soltani, Pedram Fadavi, Farzaneh Hekmatnia, Andrew Parviz Zarei, Hengameh Nazari","doi":"10.4103/jrms.jrms_587_22","DOIUrl":null,"url":null,"abstract":"<p><strong>Background: </strong>The aim of this study was to determine whether mammographic and sonographic features of malignant breast lesions are correlated with tumor histologic grade, hormonal receptor, human epidermal growth factor receptor 2 (HER2), and Ki-67 status.</p><p><strong>Materials and methods: </strong>In this retrospective study, imaging and histopathological findings of 187 biopsy-proven breast cancer cases from November 2019 to February 2021 were reviewed. The Chi-square test was used to examine the potential correlation between mammographic and sonographic characteristics with histopathological features such as hormonal receptor, HER2 status, Ki-67 labeling index, and histological grade.</p><p><strong>Results: </strong>We observed that microlobulated margin as well as oval/round morphology in mammograms correlate with triple-negative intrinsic subtype (<i>P</i> = 0.006 and <i>P</i> = 0.004). The presence of calcification in sonography was significantly higher in the luminal-B subtype (<i>P</i> = 0.002). Furthermore, ill-defined margins in mammography were significantly higher in amplified HER2 expression (<i>P</i> = 0.004) in the same manner as an oval/round shape in higher levels of Ki-67 (<i>P</i> = 0.030).</p><p><strong>Conclusion: </strong>Mammography and sonography features may reflect the biological behavior of various subtypes of breast cancer and can detect more aggressive breast cancers that can mimic benign or less malignant appearing lesions. These findings may be an excellent predictor for some subtypes like triple-negative breast cancer. Studying the range of these imaging characteristics may help in better understanding the prognosis, choosing a treatment strategy, and predicting response to treatment.</p>","PeriodicalId":50062,"journal":{"name":"Journal of Research in Medical Sciences","volume":"29 ","pages":"37"},"PeriodicalIF":1.5000,"publicationDate":"2024-07-12","publicationTypes":"Journal Article","fieldsOfStudy":null,"isOpenAccess":false,"openAccessPdf":"https://www.ncbi.nlm.nih.gov/pmc/articles/PMC11376722/pdf/","citationCount":"0","resultStr":null,"platform":"Semanticscholar","paperid":null,"PeriodicalName":"Journal of Research in Medical Sciences","FirstCategoryId":"3","ListUrlMain":"https://doi.org/10.4103/jrms.jrms_587_22","RegionNum":4,"RegionCategory":"医学","ArticlePicture":[],"TitleCN":null,"AbstractTextCN":null,"PMCID":null,"EPubDate":"2024/1/1 0:00:00","PubModel":"eCollection","JCR":"Q2","JCRName":"MEDICINE, GENERAL & INTERNAL","Score":null,"Total":0}
引用次数: 0

Abstract

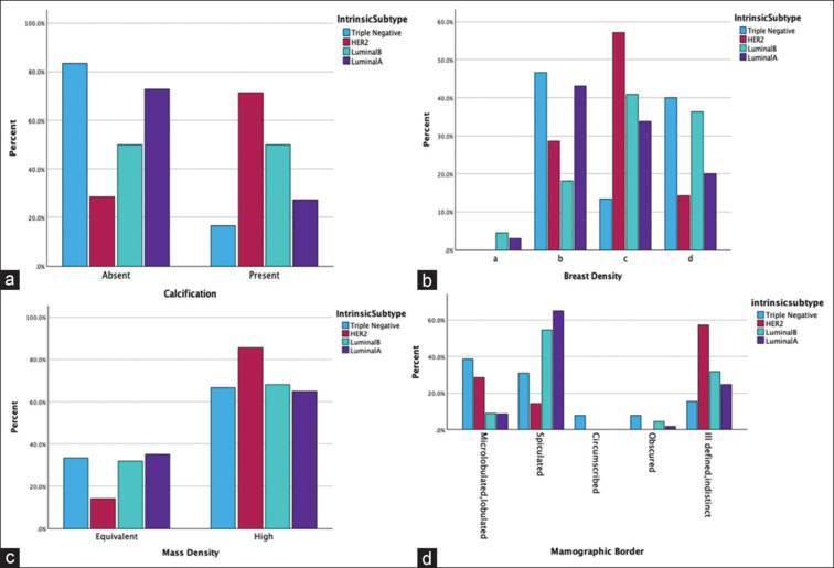
Background: The aim of this study was to determine whether mammographic and sonographic features of malignant breast lesions are correlated with tumor histologic grade, hormonal receptor, human epidermal growth factor receptor 2 (HER2), and Ki-67 status.

Materials and methods: In this retrospective study, imaging and histopathological findings of 187 biopsy-proven breast cancer cases from November 2019 to February 2021 were reviewed. The Chi-square test was used to examine the potential correlation between mammographic and sonographic characteristics with histopathological features such as hormonal receptor, HER2 status, Ki-67 labeling index, and histological grade.

Results: We observed that microlobulated margin as well as oval/round morphology in mammograms correlate with triple-negative intrinsic subtype (P = 0.006 and P = 0.004). The presence of calcification in sonography was significantly higher in the luminal-B subtype (P = 0.002). Furthermore, ill-defined margins in mammography were significantly higher in amplified HER2 expression (P = 0.004) in the same manner as an oval/round shape in higher levels of Ki-67 (P = 0.030).

Conclusion: Mammography and sonography features may reflect the biological behavior of various subtypes of breast cancer and can detect more aggressive breast cancers that can mimic benign or less malignant appearing lesions. These findings may be an excellent predictor for some subtypes like triple-negative breast cancer. Studying the range of these imaging characteristics may help in better understanding the prognosis, choosing a treatment strategy, and predicting response to treatment.

Abstract Image

Abstract Image

Abstract Image

恶性乳腺病变中乳腺X光和超声检查结果与预后分子因素和激素受体表达的关系。
研究背景本研究的目的是确定乳腺恶性病变的乳腺影像学和超声学特征是否与肿瘤组织学分级、激素受体、人表皮生长因子受体2(HER2)和Ki-67状态相关:在这项回顾性研究中,回顾了2019年11月至2021年2月期间187例经活检证实的乳腺癌病例的影像学和组织病理学结果。采用Chi-square检验来研究乳腺X线和超声特征与组织病理学特征(如激素受体、HER2状态、Ki-67标记指数和组织学分级)之间的潜在相关性:我们观察到,乳房X光片上的微囊状边缘以及椭圆形/圆形形态与三阴性内在亚型相关(P = 0.006 和 P = 0.004)。管腔-B 亚型的声像图中出现钙化的比例明显更高(P = 0.002)。此外,乳腺 X 线造影中边缘不清晰的 HER2 表达扩增率明显更高(P = 0.004),Ki-67 水平较高的椭圆形/圆形也是如此(P = 0.030):结论:乳腺X线摄影和超声波特征可反映不同亚型乳腺癌的生物学行为,并可检测出可模仿良性或恶性程度较低的病变的侵袭性较强的乳腺癌。这些发现可能是某些亚型(如三阴性乳腺癌)的极佳预测指标。研究这些成像特征的范围可能有助于更好地了解预后、选择治疗策略和预测治疗反应。
本文章由计算机程序翻译,如有差异,请以英文原文为准。
求助全文
约1分钟内获得全文 求助全文
来源期刊
Journal of Research in Medical Sciences
Journal of Research in Medical Sciences MEDICINE, GENERAL & INTERNAL-
CiteScore
2.60
自引率
6.20%
发文量
75
审稿时长
3-6 weeks
期刊介绍: Journal of Research in Medical Sciences, a publication of Isfahan University of Medical Sciences, is a peer-reviewed online continuous journal with print on demand compilation of issues published. The journal’s full text is available online at http://www.jmsjournal.net. The journal allows free access (Open Access) to its contents and permits authors to self-archive final accepted version of the articles on any OAI-compliant institutional / subject-based repository.
×
引用
GB/T 7714-2015
复制
MLA
复制
APA
复制
导出至
BibTeX EndNote RefMan NoteFirst NoteExpress
×
提示
您的信息不完整,为了账户安全,请先补充。
现在去补充
×
提示
您因"违规操作"
具体请查看互助需知
我知道了
×
提示
确定
请完成安全验证×
copy
已复制链接
快去分享给好友吧!
我知道了
右上角分享
点击右上角分享
0
联系我们:info@booksci.cn Book学术提供免费学术资源搜索服务,方便国内外学者检索中英文文献。致力于提供最便捷和优质的服务体验。 Copyright © 2023 布克学术 All rights reserved.
京ICP备2023020795号-1
ghs 京公网安备 11010802042870号
Book学术文献互助
Book学术文献互助群
群 号:604180095
Book学术官方微信