In Vitro Effects of Photobiomodulation with 660 Nm Laser and Vitamin D on Osteoblastic Differentiation of Human Periodontal Ligament Stem Cells.

IF 0.6 Q4 MEDICINE, RESEARCH & EXPERIMENTAL
Galen Medical Journal Pub Date : 2024-05-05 eCollection Date: 2024-01-01 DOI:10.31661/gmj.v13i.3312
Hormoz Dehghani Soltani, Maryam Tehranchi, Ferial Taleghani, Sogol Saberi, Mahshid Hodjat
{"title":"In Vitro Effects of Photobiomodulation with 660 Nm Laser and Vitamin D on Osteoblastic Differentiation of Human Periodontal Ligament Stem Cells.","authors":"Hormoz Dehghani Soltani, Maryam Tehranchi, Ferial Taleghani, Sogol Saberi, Mahshid Hodjat","doi":"10.31661/gmj.v13i.3312","DOIUrl":null,"url":null,"abstract":"<p><strong>Background: </strong>Mesenchymal stem cells (MSCs) can be found inside the human periodontal ligament. Application of vitamin D and photobiomodulation for regulation of the proliferation of MSCs and bone differentiation have been recently considered in cell engineering. This study is performed to evaluate the effects of photobiomodulation with 660 nm laser exposure and vitamin D on human periodontal ligament stem cells (HPDLSCs) and their osteoblastic differentiation properties.</p><p><strong>Materials and methods: </strong>This study, was an in vitro experimental study performed on HPDLSCs in six groups of (I) control cells in the culture medium with no intervention, (II) addition of 10-7 mol vitamin D to the medium, (III) 660 nm diode laser exposure in 3 J/cm2 density of energy, (IV) 660 nm diode laser exposure in 3 J/cm2 density of energy + addition of 10-7 mol vitamin D to the medium, (V) 660 nm diode laser exposure in 5 J/cm2 density of energy, and (VI) 660 nm diode laser exposure in 5 J/cm2 density of energy + addition of 10-7 mol vitamin D to the medium. after 24 hours of the last exposure, cell viability had been assessed by methyl thiazolyl tetrazolium assay. The expression of Runt-related transcription factor 2 (RUNX2), osteopontin (OPN), alkaline phosphatase (ALP), and osteocalcin (OCN) genes was also assessed by reverse transcription-polymerase chain reaction, then Alizarin red staining was used to assess calcification.</p><p><strong>Results: </strong>Combined use of 660 nm laser with 3 and 5 J/cm2 density of energy and 10-7 mol vitamin D significantly increased cell viability, osteoblastic differentiation by upregulation of RUNX2, ALP, OPN, and OCN, and calcification (P0.05).</p><p><strong>Conclusion: </strong>The results showed that combined use of vitamin D3 and irradiation of 660 nm laser with 3 J/cm2 and particularly 5 J/cm2 energy density increased the viability of HPDLSCs and enhanced their osteoblastic differentiation.</p>","PeriodicalId":44017,"journal":{"name":"Galen Medical Journal","volume":"13 ","pages":"e3312"},"PeriodicalIF":0.6000,"publicationDate":"2024-05-05","publicationTypes":"Journal Article","fieldsOfStudy":null,"isOpenAccess":false,"openAccessPdf":"https://www.ncbi.nlm.nih.gov/pmc/articles/PMC11368476/pdf/","citationCount":"0","resultStr":null,"platform":"Semanticscholar","paperid":null,"PeriodicalName":"Galen Medical Journal","FirstCategoryId":"1085","ListUrlMain":"https://doi.org/10.31661/gmj.v13i.3312","RegionNum":0,"RegionCategory":null,"ArticlePicture":[],"TitleCN":null,"AbstractTextCN":null,"PMCID":null,"EPubDate":"2024/1/1 0:00:00","PubModel":"eCollection","JCR":"Q4","JCRName":"MEDICINE, RESEARCH & EXPERIMENTAL","Score":null,"Total":0}
引用次数: 0

Abstract

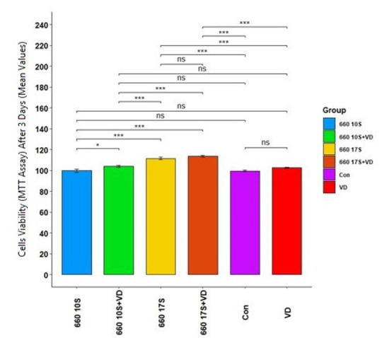
Background: Mesenchymal stem cells (MSCs) can be found inside the human periodontal ligament. Application of vitamin D and photobiomodulation for regulation of the proliferation of MSCs and bone differentiation have been recently considered in cell engineering. This study is performed to evaluate the effects of photobiomodulation with 660 nm laser exposure and vitamin D on human periodontal ligament stem cells (HPDLSCs) and their osteoblastic differentiation properties.

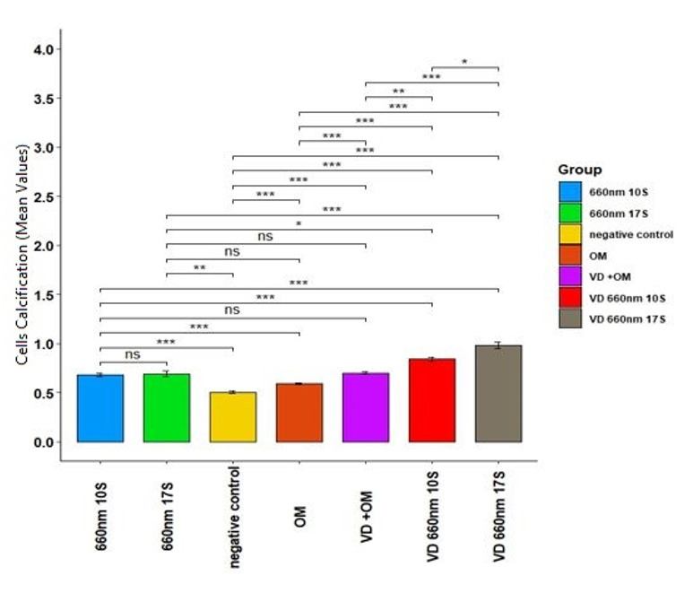
Materials and methods: This study, was an in vitro experimental study performed on HPDLSCs in six groups of (I) control cells in the culture medium with no intervention, (II) addition of 10-7 mol vitamin D to the medium, (III) 660 nm diode laser exposure in 3 J/cm2 density of energy, (IV) 660 nm diode laser exposure in 3 J/cm2 density of energy + addition of 10-7 mol vitamin D to the medium, (V) 660 nm diode laser exposure in 5 J/cm2 density of energy, and (VI) 660 nm diode laser exposure in 5 J/cm2 density of energy + addition of 10-7 mol vitamin D to the medium. after 24 hours of the last exposure, cell viability had been assessed by methyl thiazolyl tetrazolium assay. The expression of Runt-related transcription factor 2 (RUNX2), osteopontin (OPN), alkaline phosphatase (ALP), and osteocalcin (OCN) genes was also assessed by reverse transcription-polymerase chain reaction, then Alizarin red staining was used to assess calcification.

Results: Combined use of 660 nm laser with 3 and 5 J/cm2 density of energy and 10-7 mol vitamin D significantly increased cell viability, osteoblastic differentiation by upregulation of RUNX2, ALP, OPN, and OCN, and calcification (P0.05).

Conclusion: The results showed that combined use of vitamin D3 and irradiation of 660 nm laser with 3 J/cm2 and particularly 5 J/cm2 energy density increased the viability of HPDLSCs and enhanced their osteoblastic differentiation.

Abstract Image

Abstract Image

Abstract Image

用 660 Nm 激光和维生素 D 进行体外光生物调节对人类牙周韧带干细胞成骨细胞分化的影响
背景:间充质干细胞(MSCs)存在于人类牙周韧带中。最近,人们开始考虑在细胞工程中应用维生素 D 和光生物调节来调节间充质干细胞的增殖和骨分化。本研究旨在评估 660 纳米激光照射和维生素 D 的光生物调节对人类牙周韧带干细胞(HPDLSCs)及其成骨分化特性的影响:本研究是对 HPDLSCs 进行的体外实验研究,共分六组:(I) 无干预培养基中的对照细胞;(II) 在培养基中添加 10-7 mol 维生素 D;(III) 3 J/cm2 能量密度的 660 nm 二极管激光照射、(IV) 660 纳米二极管激光照射(能量密度为 3 焦耳/平方厘米)+ 在培养基中添加 10-7 摩尔维生素 D;(V) 660 纳米二极管激光照射(能量密度为 5 焦耳/平方厘米);以及 (VI) 660 纳米二极管激光照射(能量密度为 5 焦耳/平方厘米)+ 在培养基中添加 10-7 摩尔维生素 D。最后一次照射 24 小时后,用甲基噻唑四氮唑测定法评估细胞活力。还通过反转录聚合酶链反应评估了 Runt 相关转录因子 2 (RUNX2)、骨生成素 (OPN)、碱性磷酸酶 (ALP) 和骨钙素 (OCN) 基因的表达,然后用茜素红染色法评估了钙化情况:结果:联合使用能量密度为 3 J/cm2 和 5 J/cm2 的 660 nm 激光以及 10-7 mol 维生素 D 能显著提高细胞活力,通过上调 RUNX2、ALP、OPN 和 OCN 增加成骨细胞分化,并增加钙化(P0.05):结果表明,联合使用维生素 D3 和 3 J/cm2 特别是 5 J/cm2 能量密度的 660 nm 激光照射可提高 HPDLSCs 的存活率并增强其成骨细胞分化。
本文章由计算机程序翻译,如有差异,请以英文原文为准。
求助全文
约1分钟内获得全文 求助全文
来源期刊
Galen Medical Journal
Galen Medical Journal MEDICINE, RESEARCH & EXPERIMENTAL-
自引率
0.00%
发文量
13
期刊介绍: GMJ is open access, peer-reviewed journal in English and supported by Noncommunicable Diseases (NCD) Research Center of Fasa University of Medical Sciences that publishing by Salvia Medical Sciences Ltd. GMJ will consider all types of the following scientific papers for publication: - Editorial’s choice - Original Researches - Review articles - Case reports - Case series - Letter (to editors, to authors, etc) - Short communications - Medical Idea
×
引用
GB/T 7714-2015
复制
MLA
复制
APA
复制
导出至
BibTeX EndNote RefMan NoteFirst NoteExpress
×
提示
您的信息不完整,为了账户安全,请先补充。
现在去补充
×
提示
您因"违规操作"
具体请查看互助需知
我知道了
×
提示
确定
请完成安全验证×
copy
已复制链接
快去分享给好友吧!
我知道了
右上角分享
点击右上角分享
0
联系我们:info@booksci.cn Book学术提供免费学术资源搜索服务,方便国内外学者检索中英文文献。致力于提供最便捷和优质的服务体验。 Copyright © 2023 布克学术 All rights reserved.
京ICP备2023020795号-1
ghs 京公网安备 11010802042870号
Book学术文献互助
Book学术文献互助群
群 号:604180095
Book学术官方微信