Anti-inflammatory and Apoptotic Effects of Levisticum Officinale Koch Extracts on HT 29 and Caco-2 Human Colorectal Carcinoma Cell Lines.

IF 0.6 Q4 MEDICINE, RESEARCH & EXPERIMENTAL
Galen Medical Journal Pub Date : 2024-04-07 eCollection Date: 2024-01-01 DOI:10.31661/gmj.v13i.3341
Marzieh Lotfian Sargazi, Zahra Miri Karam, Ali Shahraki, Mahboobeh Raeiszadeh, Mohammad Javad Rezazadeh Khabaz, Abolfazl Yari
{"title":"Anti-inflammatory and Apoptotic Effects of Levisticum Officinale Koch Extracts on HT 29 and Caco-2 Human Colorectal Carcinoma Cell Lines.","authors":"Marzieh Lotfian Sargazi, Zahra Miri Karam, Ali Shahraki, Mahboobeh Raeiszadeh, Mohammad Javad Rezazadeh Khabaz, Abolfazl Yari","doi":"10.31661/gmj.v13i.3341","DOIUrl":null,"url":null,"abstract":"<p><strong>Background: </strong>Colorectal cancer is among the deadliest cancers in the world. Due to the occurrence of side effects related to current standard therapy, researchers are seeking better alternative treatments. For many years, herbs have been a promising source for discovering therapeutic compounds. Therefore, the primary objective of this research was to examine the distinctive apoptotic and anti-inflammatory properties exhibited by Levisticum officinale Koch (lovage) on HT-29 and Caco-2 cell lines.</p><p><strong>Materials and methods: </strong>The maceration method was used to prepare different extracts (ethanol, dichloromethane, petroleum, and residues) from the plant. These extracts were then tested on two colon cancer cell lines - HT-29 and Caco-2 - using the MTT assay to determine the half-maximal inhibitory concentration (IC50) values. In addition, we evaluated the expression levels of several inflammatory genes (IKKb, IKKa, and REIB) using real-time PCR. We also assessed Cox-2 protein expression using western blot analysis. The western blot was also used to analyze apoptosis-related proteins, including Caspase-3, BAX, and Bcl-2.</p><p><strong>Results: </strong>The dichloromethane extract of Levisticum officin (DELO) exhibited a high cytotoxic effect on Caco-2 and HT-29 cell lines, with IC50 values of 106.0±2 μg/mL in HT-29 cells and 175.3±4 μg/mL in Caco-2 cells after 72 hours. None of the lovage extracts showed a significant cytotoxic effect on non-cancerous cells (3T3 cell line). Furthermore, the group treated with DELO showed a lower expression level of inflammatory genes and COX-2 protein compared to the control group. Notably, treatment with DELO resulted in an increase in Caspase-3 protein and BAX/Bcl-2 ratio in both HT-29 and Caco-2 cells.</p><p><strong>Conclusion: </strong>According to this study, DELO has the potential to act as an anti-inflammatory and anti-cancer agent. Further research on the compounds present in DELO and their effect on various signaling pathways could help in the development of new drugs for diseases where inflammation or cells escape from apoptosis play a crucial role.</p>","PeriodicalId":44017,"journal":{"name":"Galen Medical Journal","volume":"13 ","pages":"e3341"},"PeriodicalIF":0.6000,"publicationDate":"2024-04-07","publicationTypes":"Journal Article","fieldsOfStudy":null,"isOpenAccess":false,"openAccessPdf":"https://www.ncbi.nlm.nih.gov/pmc/articles/PMC11368474/pdf/","citationCount":"0","resultStr":null,"platform":"Semanticscholar","paperid":null,"PeriodicalName":"Galen Medical Journal","FirstCategoryId":"1085","ListUrlMain":"https://doi.org/10.31661/gmj.v13i.3341","RegionNum":0,"RegionCategory":null,"ArticlePicture":[],"TitleCN":null,"AbstractTextCN":null,"PMCID":null,"EPubDate":"2024/1/1 0:00:00","PubModel":"eCollection","JCR":"Q4","JCRName":"MEDICINE, RESEARCH & EXPERIMENTAL","Score":null,"Total":0}
引用次数: 0

Abstract

Background: Colorectal cancer is among the deadliest cancers in the world. Due to the occurrence of side effects related to current standard therapy, researchers are seeking better alternative treatments. For many years, herbs have been a promising source for discovering therapeutic compounds. Therefore, the primary objective of this research was to examine the distinctive apoptotic and anti-inflammatory properties exhibited by Levisticum officinale Koch (lovage) on HT-29 and Caco-2 cell lines.

Materials and methods: The maceration method was used to prepare different extracts (ethanol, dichloromethane, petroleum, and residues) from the plant. These extracts were then tested on two colon cancer cell lines - HT-29 and Caco-2 - using the MTT assay to determine the half-maximal inhibitory concentration (IC50) values. In addition, we evaluated the expression levels of several inflammatory genes (IKKb, IKKa, and REIB) using real-time PCR. We also assessed Cox-2 protein expression using western blot analysis. The western blot was also used to analyze apoptosis-related proteins, including Caspase-3, BAX, and Bcl-2.

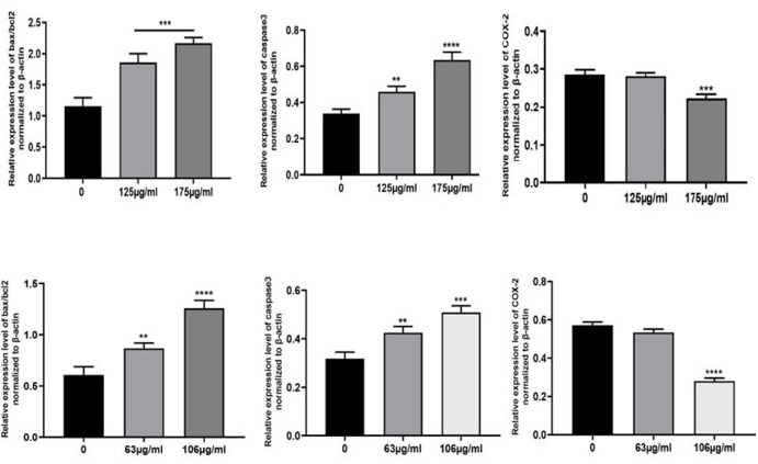
Results: The dichloromethane extract of Levisticum officin (DELO) exhibited a high cytotoxic effect on Caco-2 and HT-29 cell lines, with IC50 values of 106.0±2 μg/mL in HT-29 cells and 175.3±4 μg/mL in Caco-2 cells after 72 hours. None of the lovage extracts showed a significant cytotoxic effect on non-cancerous cells (3T3 cell line). Furthermore, the group treated with DELO showed a lower expression level of inflammatory genes and COX-2 protein compared to the control group. Notably, treatment with DELO resulted in an increase in Caspase-3 protein and BAX/Bcl-2 ratio in both HT-29 and Caco-2 cells.

Conclusion: According to this study, DELO has the potential to act as an anti-inflammatory and anti-cancer agent. Further research on the compounds present in DELO and their effect on various signaling pathways could help in the development of new drugs for diseases where inflammation or cells escape from apoptosis play a crucial role.

Abstract Image

Abstract Image

Abstract Image

Levisticum Officinale Koch 提取物对 HT 29 和 Caco-2 人结肠直肠癌细胞株的抗炎和凋亡作用
背景:大肠癌是世界上最致命的癌症之一:大肠癌是世界上最致命的癌症之一。由于目前的标准疗法存在副作用,研究人员正在寻找更好的替代疗法。多年来,草药一直是发现治疗化合物的一个很有前景的来源。因此,本研究的主要目的是检测 Levisticum officinale Koch(欧当归)在 HT-29 和 Caco-2 细胞系上表现出的独特凋亡和抗炎特性:采用浸渍法制备该植物的不同提取物(乙醇、二氯甲烷、石油醚和残渣)。然后使用 MTT 法对这些提取物在 HT-29 和 Caco-2 两种结肠癌细胞系上进行测试,以确定半最大抑制浓度(IC50)值。此外,我们还使用实时 PCR 评估了几个炎症基因(IKKb、IKKa 和 REIB)的表达水平。我们还利用 Western 印迹分析评估了 Cox-2 蛋白的表达。我们还利用 Western 印迹分析了与细胞凋亡相关的蛋白,包括 Caspase-3、BAX 和 Bcl-2:结果:72 小时后,欧当归二氯甲烷提取物(DELO)对 Caco-2 和 HT-29 细胞株有较高的细胞毒性作用,对 HT-29 细胞的 IC50 值为 106.0±2 μg/mL,对 Caco-2 细胞的 IC50 值为 175.3±4 μg/mL。没有一种龙葵提取物对非癌细胞(3T3 细胞系)有明显的细胞毒性作用。此外,与对照组相比,用 DELO 处理的组显示出较低的炎症基因和 COX-2 蛋白表达水平。值得注意的是,用 DELO 处理后,HT-29 和 Caco-2 细胞中的 Caspase-3 蛋白和 BAX/Bcl-2 比率都有所增加:结论:根据这项研究,DELO 具有作为抗炎和抗癌剂的潜力。进一步研究 DELO 中的化合物及其对各种信号通路的影响,有助于开发治疗炎症或细胞凋亡逃逸起关键作用的疾病的新药。
本文章由计算机程序翻译,如有差异,请以英文原文为准。
求助全文
约1分钟内获得全文 求助全文
来源期刊
Galen Medical Journal
Galen Medical Journal MEDICINE, RESEARCH & EXPERIMENTAL-
自引率
0.00%
发文量
13
期刊介绍: GMJ is open access, peer-reviewed journal in English and supported by Noncommunicable Diseases (NCD) Research Center of Fasa University of Medical Sciences that publishing by Salvia Medical Sciences Ltd. GMJ will consider all types of the following scientific papers for publication: - Editorial’s choice - Original Researches - Review articles - Case reports - Case series - Letter (to editors, to authors, etc) - Short communications - Medical Idea
×
引用
GB/T 7714-2015
复制
MLA
复制
APA
复制
导出至
BibTeX EndNote RefMan NoteFirst NoteExpress
×
提示
您的信息不完整,为了账户安全,请先补充。
现在去补充
×
提示
您因"违规操作"
具体请查看互助需知
我知道了
×
提示
确定
请完成安全验证×
copy
已复制链接
快去分享给好友吧!
我知道了
右上角分享
点击右上角分享
0
联系我们:info@booksci.cn Book学术提供免费学术资源搜索服务,方便国内外学者检索中英文文献。致力于提供最便捷和优质的服务体验。 Copyright © 2023 布克学术 All rights reserved.
京ICP备2023020795号-1
ghs 京公网安备 11010802042870号
Book学术文献互助
Book学术文献互助群
群 号:604180095
Book学术官方微信