Non-cancer-related Deaths in Cancer Survivors: A Nationwide Population-based Study in Japan.

IF 3 2区 医学 Q1 PUBLIC, ENVIRONMENTAL & OCCUPATIONAL HEALTH
Journal of Epidemiology Pub Date : 2025-03-05 Epub Date: 2025-01-31 DOI:10.2188/jea.JE20240230
Yasufumi Gon, Ling Zha, Toshitaka Morishima, Yasuyoshi Kimura, Kanako Asai, Haruka Kudo, Tsutomu Sasaki, Hideki Mochizuki, Isao Miyashiro, Tomotaka Sobue
{"title":"Non-cancer-related Deaths in Cancer Survivors: A Nationwide Population-based Study in Japan.","authors":"Yasufumi Gon, Ling Zha, Toshitaka Morishima, Yasuyoshi Kimura, Kanako Asai, Haruka Kudo, Tsutomu Sasaki, Hideki Mochizuki, Isao Miyashiro, Tomotaka Sobue","doi":"10.2188/jea.JE20240230","DOIUrl":null,"url":null,"abstract":"<p><strong>Background: </strong>Advancements in cancer care have improved survivorship, potentially leading to changes in mortality causes. This study aimed to investigate the causes of death among cancer survivors, specially focusing on non-cancer-related mortality.</p><p><strong>Methods: </strong>This nationwide population-based cohort study analyzed the causes of death based on the time since cancer diagnosis using data from the National Cancer Registry in Japan between January 2016 and December 2019. Non-cancer-related deaths were identified, and mortality risks associated with non-cancer diseases were compared to those of the Japanese general population using standardized mortality ratios (SMRs) with 95% confidence intervals (CIs). The follow-up period was up to 4 years after cancer diagnosis.</p><p><strong>Results: </strong>A total of 3,990,661 patients (45.8% women) were included in the analysis, yielding 6,237,269 person-years of follow-up. Of these, 1,001,857 (25.1%) patients died during the study period. Cancer-related and non-cancer-related causes accounted for 86.6% and 13.4% of deaths, respectively. The proportion of non-cancer-related deaths increased from 10.2% at 6 months to 31.6% at 4 years after cancer diagnosis. Heart disease (21.8%), cerebrovascular disease (9.8%), and pneumonia (9.1%) were the leading cause of non-cancer-related deaths: the SMRs for these diseases were 2.69 (95% CI, 2.66-2.72), 2.07 (95% CI, 2.03-2.10), and 2.41 (95% CI, 2.36-2.45), respectively. The SMR for suicide was 1.81 (95% CI, 1.74-1.89); however, it lost significance in males and females 2 and 2.5 years after cancer diagnosis, respectively.</p><p><strong>Conclusion: </strong>The proportion of non-cancer-related deaths among cancer patients has increased over time, emphasizing the need to manage cancer and its comorbidities carefully.</p>","PeriodicalId":15799,"journal":{"name":"Journal of Epidemiology","volume":" ","pages":"147-153"},"PeriodicalIF":3.0000,"publicationDate":"2025-03-05","publicationTypes":"Journal Article","fieldsOfStudy":null,"isOpenAccess":false,"openAccessPdf":"https://www.ncbi.nlm.nih.gov/pmc/articles/PMC11821378/pdf/","citationCount":"0","resultStr":null,"platform":"Semanticscholar","paperid":null,"PeriodicalName":"Journal of Epidemiology","FirstCategoryId":"3","ListUrlMain":"https://doi.org/10.2188/jea.JE20240230","RegionNum":2,"RegionCategory":"医学","ArticlePicture":[],"TitleCN":null,"AbstractTextCN":null,"PMCID":null,"EPubDate":"2025/1/31 0:00:00","PubModel":"Epub","JCR":"Q1","JCRName":"PUBLIC, ENVIRONMENTAL & OCCUPATIONAL HEALTH","Score":null,"Total":0}
引用次数: 0

Abstract

Background: Advancements in cancer care have improved survivorship, potentially leading to changes in mortality causes. This study aimed to investigate the causes of death among cancer survivors, specially focusing on non-cancer-related mortality.

Methods: This nationwide population-based cohort study analyzed the causes of death based on the time since cancer diagnosis using data from the National Cancer Registry in Japan between January 2016 and December 2019. Non-cancer-related deaths were identified, and mortality risks associated with non-cancer diseases were compared to those of the Japanese general population using standardized mortality ratios (SMRs) with 95% confidence intervals (CIs). The follow-up period was up to 4 years after cancer diagnosis.

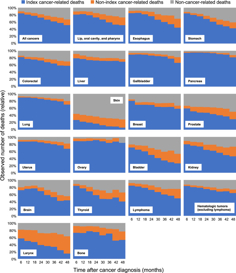
Results: A total of 3,990,661 patients (45.8% women) were included in the analysis, yielding 6,237,269 person-years of follow-up. Of these, 1,001,857 (25.1%) patients died during the study period. Cancer-related and non-cancer-related causes accounted for 86.6% and 13.4% of deaths, respectively. The proportion of non-cancer-related deaths increased from 10.2% at 6 months to 31.6% at 4 years after cancer diagnosis. Heart disease (21.8%), cerebrovascular disease (9.8%), and pneumonia (9.1%) were the leading cause of non-cancer-related deaths: the SMRs for these diseases were 2.69 (95% CI, 2.66-2.72), 2.07 (95% CI, 2.03-2.10), and 2.41 (95% CI, 2.36-2.45), respectively. The SMR for suicide was 1.81 (95% CI, 1.74-1.89); however, it lost significance in males and females 2 and 2.5 years after cancer diagnosis, respectively.

Conclusion: The proportion of non-cancer-related deaths among cancer patients has increased over time, emphasizing the need to manage cancer and its comorbidities carefully.

Abstract Image

Abstract Image

癌症幸存者中与癌症无关的死亡:日本全国人口研究》。
背景:癌症治疗的进步改善了幸存者的生存状况,可能导致死亡原因发生变化。本研究旨在调查癌症幸存者的死亡原因,特别关注与癌症无关的死亡率:这项全国性人群队列研究利用日本国家癌症登记处在 2016 年 1 月至 2019 年 12 月期间提供的数据,根据癌症诊断后的时间分析死亡原因。研究确定了非癌症相关死亡,并使用标准化死亡率(SMR)和95%置信区间(CI)将非癌症相关死亡风险与日本普通人群的死亡率进行了比较。随访期为癌症确诊后 4 年:共有 3,990,661 名患者(45.8% 为女性)被纳入分析,随访时间为 6,237,269 人年。其中,1,001,857 名患者(25.1%)在研究期间死亡。与癌症相关和非癌症相关的死亡原因分别占 86.6% 和 13.4%。非癌症相关死亡的比例从癌症确诊后 6 个月的 10.2%上升到 4 年后的 31.6%。心脏病(21.8%)、脑血管疾病(9.8%)和肺炎(9.1%)是非癌症相关死亡的主要原因:这些疾病的 SMR 分别为 2.69(95% CI,2.66-2.72)、2.07(95% CI,2.03-2.10)和 2.41(95% CI,2.36-2.45)。自杀的SMR为1.81(95% CI,1.74-1.89);但在男性和女性中,自杀的SMR分别在癌症确诊2年和2.5年后失去意义:癌症患者非癌症相关死亡的比例随着时间的推移而增加,这强调了谨慎管理癌症及其合并症的必要性。
本文章由计算机程序翻译,如有差异,请以英文原文为准。
求助全文
约1分钟内获得全文 求助全文
来源期刊
Journal of Epidemiology
Journal of Epidemiology 医学-公共卫生、环境卫生与职业卫生
CiteScore
7.50
自引率
4.30%
发文量
172
审稿时长
6-12 weeks
期刊介绍: The Journal of Epidemiology is the official open access scientific journal of the Japan Epidemiological Association. The Journal publishes a broad range of original research on epidemiology as it relates to human health, and aims to promote communication among those engaged in the field of epidemiological research and those who use epidemiological findings.
×
引用
GB/T 7714-2015
复制
MLA
复制
APA
复制
导出至
BibTeX EndNote RefMan NoteFirst NoteExpress
×
提示
您的信息不完整,为了账户安全,请先补充。
现在去补充
×
提示
您因"违规操作"
具体请查看互助需知
我知道了
×
提示
确定
请完成安全验证×
copy
已复制链接
快去分享给好友吧!
我知道了
右上角分享
点击右上角分享
0
联系我们:info@booksci.cn Book学术提供免费学术资源搜索服务,方便国内外学者检索中英文文献。致力于提供最便捷和优质的服务体验。 Copyright © 2023 布克学术 All rights reserved.
京ICP备2023020795号-1
ghs 京公网安备 11010802042870号
Book学术文献互助
Book学术文献互助群
群 号:604180095
Book学术官方微信