Molecular Signature of miR-34a/NEAT-1/p53 Axis in Mycosis Fungoides.

IF 1.9 Q3 DERMATOLOGY
Dermatology Research and Practice Pub Date : 2024-08-16 eCollection Date: 2024-01-01 DOI:10.1155/2024/3163839
Reham Fares, Shimaa M Elasmer, Abeer Khalefa A, Olfat G Shaker, Samar M El-Tahlawi, Ahmed Sabri, Sara M Yaseen
{"title":"Molecular Signature of miR-34a/NEAT-1/p53 Axis in Mycosis Fungoides.","authors":"Reham Fares, Shimaa M Elasmer, Abeer Khalefa A, Olfat G Shaker, Samar M El-Tahlawi, Ahmed Sabri, Sara M Yaseen","doi":"10.1155/2024/3163839","DOIUrl":null,"url":null,"abstract":"<p><strong>Background: </strong>Mycosis fungoides (MF) is a type of cutaneous T-cell lymphoma where red rash exists on the skin. Understanding the role of miRNAs and ncRNAs in p53-response has become an open discussion, as they can regulate p53 or its downstream targets, and ncRNAs themselves.</p><p><strong>Objectives: </strong>To evaluate the serum levels of NEAT-1, miR-34a, and p53 in MF patients and its relation to healthy controls to indicate whether it has a potential role in the pathogenesis of the disease. <i>Subjects and Methods</i>. This prospective case-control study was carried out on 75 subjects subdivided into two groups, 35 MF patients (stages 1 and II) and 40 matched healthy controls. Their clinical investigations and serum biomarkers (NEAT-1, miR-34a, and p53) were measured.</p><p><strong>Results: </strong>There were significant elevations in the expression levels of both NEAT-1 (5.10 ± 1.16) and p53 (277.28 ± 62.02) in the serum of MF patients in comparison with controls (1.01 ± 0.031) and (194.29 ± 16.039), respectively, while the level of miR-34a tends to decrease in MF patients (0.24 ± 0.15). There are no significant difference between MF stages and the level of miR-34a, while in NEAT-1 and p53, there are significant differences with <i>p</i> value <0.05 between the stages and the biomarkers. There is a positive correlation between the %BSA and miR-34a and a slightly positive correlation between NEAT-1 and P53 with (<i>r</i> = 0.353, <i>p</i>=0.037) and (<i>r</i> = 0112, <i>p</i>=0.05), respectively. There were also negative correlations between disease duration and NEAT-1 with (<i>r</i> = -0.341, <i>p</i>=0.045) and between B2 microglobulin level and p53 (<i>r</i> = -0.373, <i>p</i>=0.027).</p><p><strong>Conclusion: </strong>The combination of miR-34a, NEAT-1, and p53 may be considered as potential biomarkers that play an active role in the disease process of MF for helping in its early diagnosis and stage identification as well.</p>","PeriodicalId":11338,"journal":{"name":"Dermatology Research and Practice","volume":"2024 ","pages":"3163839"},"PeriodicalIF":1.9000,"publicationDate":"2024-08-16","publicationTypes":"Journal Article","fieldsOfStudy":null,"isOpenAccess":false,"openAccessPdf":"https://www.ncbi.nlm.nih.gov/pmc/articles/PMC11343631/pdf/","citationCount":"0","resultStr":null,"platform":"Semanticscholar","paperid":null,"PeriodicalName":"Dermatology Research and Practice","FirstCategoryId":"1085","ListUrlMain":"https://doi.org/10.1155/2024/3163839","RegionNum":0,"RegionCategory":null,"ArticlePicture":[],"TitleCN":null,"AbstractTextCN":null,"PMCID":null,"EPubDate":"2024/1/1 0:00:00","PubModel":"eCollection","JCR":"Q3","JCRName":"DERMATOLOGY","Score":null,"Total":0}
引用次数: 0

Abstract

Background: Mycosis fungoides (MF) is a type of cutaneous T-cell lymphoma where red rash exists on the skin. Understanding the role of miRNAs and ncRNAs in p53-response has become an open discussion, as they can regulate p53 or its downstream targets, and ncRNAs themselves.

Objectives: To evaluate the serum levels of NEAT-1, miR-34a, and p53 in MF patients and its relation to healthy controls to indicate whether it has a potential role in the pathogenesis of the disease. Subjects and Methods. This prospective case-control study was carried out on 75 subjects subdivided into two groups, 35 MF patients (stages 1 and II) and 40 matched healthy controls. Their clinical investigations and serum biomarkers (NEAT-1, miR-34a, and p53) were measured.

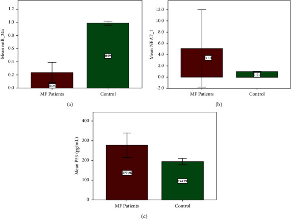
Results: There were significant elevations in the expression levels of both NEAT-1 (5.10 ± 1.16) and p53 (277.28 ± 62.02) in the serum of MF patients in comparison with controls (1.01 ± 0.031) and (194.29 ± 16.039), respectively, while the level of miR-34a tends to decrease in MF patients (0.24 ± 0.15). There are no significant difference between MF stages and the level of miR-34a, while in NEAT-1 and p53, there are significant differences with p value <0.05 between the stages and the biomarkers. There is a positive correlation between the %BSA and miR-34a and a slightly positive correlation between NEAT-1 and P53 with (r = 0.353, p=0.037) and (r = 0112, p=0.05), respectively. There were also negative correlations between disease duration and NEAT-1 with (r = -0.341, p=0.045) and between B2 microglobulin level and p53 (r = -0.373, p=0.027).

Conclusion: The combination of miR-34a, NEAT-1, and p53 may be considered as potential biomarkers that play an active role in the disease process of MF for helping in its early diagnosis and stage identification as well.

Abstract Image

Abstract Image

Abstract Image

真菌病中 miR-34a/NEAT-1/p53 轴的分子特征
背景:放线菌病(MF)是一种皮肤T细胞淋巴瘤,皮肤上会出现红色皮疹。了解 miRNAs 和 ncRNAs 在 p53 反应中的作用已成为一个公开讨论的问题,因为它们可以调控 p53 或其下游靶标以及 ncRNAs 本身:目的:评估中风患者血清中NEAT-1、miR-34a和p53的水平及其与健康对照组的关系,以说明其在疾病发病机制中是否具有潜在作用。研究对象和方法。这项前瞻性病例对照研究将 75 名受试者分为两组,35 名中耳炎患者(1 期和 II 期)和 40 名匹配的健康对照者。对他们的临床检查和血清生物标志物(NEAT-1、miR-34a 和 p53)进行了测定:结果:与对照组(1.01 ± 0.031)和(194.29 ± 16.039)相比,MF 患者血清中 NEAT-1 (5.10 ± 1.16)和 p53 (277.28 ± 62.02)的表达水平均有明显升高,而 miR-34a 在 MF 患者中的表达水平呈下降趋势(0.24 ± 0.15)。MF分期与miR-34a的水平无明显差异,而NEAT-1和p53则有明显差异,p值分别为r=0.353,p=0.037)和(r=0112,p=0.05)。病程与NEAT-1呈负相关(r=-0.341,p=0.045),B2微球蛋白水平与p53呈负相关(r=-0.373,p=0.027):miR-34a、NEAT-1和p53的组合可被视为潜在的生物标志物,在中耳炎的疾病过程中发挥积极作用,有助于其早期诊断和分期鉴定。
本文章由计算机程序翻译,如有差异,请以英文原文为准。
求助全文
约1分钟内获得全文 求助全文
来源期刊
CiteScore
3.80
自引率
0.00%
发文量
16
审稿时长
11 weeks
×
引用
GB/T 7714-2015
复制
MLA
复制
APA
复制
导出至
BibTeX EndNote RefMan NoteFirst NoteExpress
×
提示
您的信息不完整,为了账户安全,请先补充。
现在去补充
×
提示
您因"违规操作"
具体请查看互助需知
我知道了
×
提示
确定
请完成安全验证×
copy
已复制链接
快去分享给好友吧!
我知道了
右上角分享
点击右上角分享
0
联系我们:info@booksci.cn Book学术提供免费学术资源搜索服务,方便国内外学者检索中英文文献。致力于提供最便捷和优质的服务体验。 Copyright © 2023 布克学术 All rights reserved.
京ICP备2023020795号-1
ghs 京公网安备 11010802042870号
Book学术文献互助
Book学术文献互助群
群 号:604180095
Book学术官方微信