Investigating the safety of antibiotics added to collared peccary (Pecari tajacu) semen extender through a multiparametric thermoresistance test.

IF 2.1 4区 农林科学 Q2 AGRICULTURE, DAIRY & ANIMAL SCIENCE
Animal Reproduction Pub Date : 2024-08-05 eCollection Date: 2024-01-01 DOI:10.1590/1984-3143-AR2024-0018
Caio Sérgio Santos, Yasmim Carla da Silva Cavalcante, Lívia Batista Campos, Andréia Maria da Silva, Francisco Marlon Carneiro Feijó, Alexandre Rodrigues Silva
{"title":"Investigating the safety of antibiotics added to collared peccary (<i>Pecari tajacu</i>) semen extender through a multiparametric thermoresistance test.","authors":"Caio Sérgio Santos, Yasmim Carla da Silva Cavalcante, Lívia Batista Campos, Andréia Maria da Silva, Francisco Marlon Carneiro Feijó, Alexandre Rodrigues Silva","doi":"10.1590/1984-3143-AR2024-0018","DOIUrl":null,"url":null,"abstract":"<p><p>The effects of antibiotics on sperm longevity in collared peccary (<i>Pecari tajacu</i>) fresh diluted semen was evaluated. Semen samples from six adult males were collected by electroejaculation and diluted in Tris-citrate-fructose alone (control) and plus streptomycin-penicillin (2 mg/ml-2000 IU/ml) or gentamicin (70 µg/ml). Membrane integrity and functionality, mitochondrial activity and sperm morphology were assessed subjectively. Sperm motility and other kinetic parameters were objectively assessed using CASA (computer-assisted semen analysis). The semen diluted according to the treatments were submitted to the thermoresistance test, incubated at 37 ° C, and the sperm parameters analyzed at 0, 30, 60, 120 and 180 min. The average values of the treatments were compared with each other and between the times. There were no differences (P > 0.05) between treatments until the end of the test. Control and streptomycin-penicillin samples maintained sperm function for up to 180 min (with total motility of 24.3 ± 7.1% and 28 ± 8.7%, respectively). Gentamicin aliquots retained most parameters until the end of the incubation, except for membrane integrity and mitochondrial activity that declined (P < 0.05) at 180 min (53.1 ± 7.1% and 50.7 ± 6.2%, respectively) compared to 0 min (80.5 ± 4.7% and 86.3 ± 3.4%, respectively). In conclusion, a multiparametric thermoresistance test proved that Tris-based extenders used for collared peccary semen can be effectively supplemented by streptomycin-penicillin (2 mg/ml-2000 IU/ml) or gentamicin (70 µg/ml), especially during 180-min incubation at 37 °C.</p>","PeriodicalId":7889,"journal":{"name":"Animal Reproduction","volume":"21 3","pages":"e20240018"},"PeriodicalIF":2.1000,"publicationDate":"2024-08-05","publicationTypes":"Journal Article","fieldsOfStudy":null,"isOpenAccess":false,"openAccessPdf":"https://www.ncbi.nlm.nih.gov/pmc/articles/PMC11340791/pdf/","citationCount":"0","resultStr":null,"platform":"Semanticscholar","paperid":null,"PeriodicalName":"Animal Reproduction","FirstCategoryId":"97","ListUrlMain":"https://doi.org/10.1590/1984-3143-AR2024-0018","RegionNum":4,"RegionCategory":"农林科学","ArticlePicture":[],"TitleCN":null,"AbstractTextCN":null,"PMCID":null,"EPubDate":"2024/1/1 0:00:00","PubModel":"eCollection","JCR":"Q2","JCRName":"AGRICULTURE, DAIRY & ANIMAL SCIENCE","Score":null,"Total":0}
引用次数: 0

Abstract

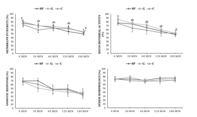
The effects of antibiotics on sperm longevity in collared peccary (Pecari tajacu) fresh diluted semen was evaluated. Semen samples from six adult males were collected by electroejaculation and diluted in Tris-citrate-fructose alone (control) and plus streptomycin-penicillin (2 mg/ml-2000 IU/ml) or gentamicin (70 µg/ml). Membrane integrity and functionality, mitochondrial activity and sperm morphology were assessed subjectively. Sperm motility and other kinetic parameters were objectively assessed using CASA (computer-assisted semen analysis). The semen diluted according to the treatments were submitted to the thermoresistance test, incubated at 37 ° C, and the sperm parameters analyzed at 0, 30, 60, 120 and 180 min. The average values of the treatments were compared with each other and between the times. There were no differences (P > 0.05) between treatments until the end of the test. Control and streptomycin-penicillin samples maintained sperm function for up to 180 min (with total motility of 24.3 ± 7.1% and 28 ± 8.7%, respectively). Gentamicin aliquots retained most parameters until the end of the incubation, except for membrane integrity and mitochondrial activity that declined (P < 0.05) at 180 min (53.1 ± 7.1% and 50.7 ± 6.2%, respectively) compared to 0 min (80.5 ± 4.7% and 86.3 ± 3.4%, respectively). In conclusion, a multiparametric thermoresistance test proved that Tris-based extenders used for collared peccary semen can be effectively supplemented by streptomycin-penicillin (2 mg/ml-2000 IU/ml) or gentamicin (70 µg/ml), especially during 180-min incubation at 37 °C.

Abstract Image

通过多参数抗热试验,研究添加到领山雀(Pecari tajacu)精液添加剂中的抗生素的安全性。
评估了抗生素对领山雀(Pecari tajacu)新鲜稀释精液中精子寿命的影响。通过电射精采集了六只成年雄性山雀的精液样本,并将其稀释在单独的柠檬酸三果糖(对照组)和链霉素-青霉素(2 mg/ml-2000 IU/ml)或庆大霉素(70 µg/ml)中。对精子膜的完整性和功能、线粒体活性和精子形态进行主观评估。精子活力和其他动力学参数则通过 CASA(计算机辅助精液分析)进行客观评估。按处理方法稀释的精液在 37 ° C 下进行耐热试验,并在 0、30、60、120 和 180 分钟时分析精子参数。对各处理的平均值进行了比较。直到试验结束,各处理之间均无差异(P > 0.05)。对照组和链霉素-青霉素样本可在 180 分钟内保持精子功能(总活力分别为 24.3 ± 7.1% 和 28 ± 8.7%)。除了膜完整性和线粒体活性在 180 分钟(分别为 53.1 ± 7.1% 和 50.7 ± 6.2%)与 0 分钟(分别为 80.5 ± 4.7% 和 86.3 ± 3.4%)相比有所下降(P < 0.05)外,庆大霉素等分样品的大多数参数一直保持到培养结束。总之,多参数耐热试验证明,用于阿拉斯加啄木鸟精液的 Tris 基扩展剂可有效补充链霉素-青霉素(2 毫克/毫升-2000 IU/毫升)或庆大霉素(70 微克/毫升),尤其是在 37 °C 下培养 180 分钟期间。
本文章由计算机程序翻译,如有差异,请以英文原文为准。
求助全文
约1分钟内获得全文 求助全文
来源期刊
Animal Reproduction
Animal Reproduction AGRICULTURE, DAIRY & ANIMAL SCIENCE-
CiteScore
2.30
自引率
11.80%
发文量
49
审稿时长
70 days
期刊介绍: Animal Reproduction (AR) publishes original scientific papers and invited literature reviews, in the form of Basic Research, Biotechnology, Applied Research and Review Articles, with the goal of contributing to a better understanding of phenomena related to animal reproduction. The scope of the journal applies to students, researchers and practitioners in the fields of veterinary, biology and animal science, also being of interest to practitioners of human medicine. Animal Reproduction Journal is the official organ of the Brazilian College of Animal Reproduction in Brazil.
×
引用
GB/T 7714-2015
复制
MLA
复制
APA
复制
导出至
BibTeX EndNote RefMan NoteFirst NoteExpress
×
提示
您的信息不完整,为了账户安全,请先补充。
现在去补充
×
提示
您因"违规操作"
具体请查看互助需知
我知道了
×
提示
确定
请完成安全验证×
copy
已复制链接
快去分享给好友吧!
我知道了
右上角分享
点击右上角分享
0
联系我们:info@booksci.cn Book学术提供免费学术资源搜索服务,方便国内外学者检索中英文文献。致力于提供最便捷和优质的服务体验。 Copyright © 2023 布克学术 All rights reserved.
京ICP备2023020795号-1
ghs 京公网安备 11010802042870号
Book学术文献互助
Book学术文献互助群
群 号:604180095
Book学术官方微信