The mechanism for the specificity of gaze direction: Inhibiting background location.

IF 1.1 4区 心理学 Q2 PSYCHOLOGY, EXPERIMENTAL
I-Perception Pub Date : 2024-08-12 eCollection Date: 2024-07-01 DOI:10.1177/20416695241270303
Airui Chen, Weixia Han, Wei Wang, Bo Dong
{"title":"The mechanism for the specificity of gaze direction: Inhibiting background location.","authors":"Airui Chen, Weixia Han, Wei Wang, Bo Dong","doi":"10.1177/20416695241270303","DOIUrl":null,"url":null,"abstract":"<p><p>The experiment combined the spatial Stroop paradigm to examine the effect of background location on the perception of arrow or gaze direction in the vertical dimension by manipulating the congruence between the target direction and background location, and to validate a possible cognitive mechanism for gaze direction specificity - inhibiting background location. The results showed that when subjects were required to identify the target direction in a Stroop task (Experiment 1), the gaze cue failed to induce the Stroop effect. However, when subjects were required to judge the congruence between the target direction and the background location (Experiment 2), the gaze cue and the arrow cue both induced the Stroop effect. This suggests that \" inhibiting background location\" is responsible for the elimination of the spatial Stroop effect by gaze direction, which may one of the mechanisms for gaze direction specificity.</p>","PeriodicalId":47194,"journal":{"name":"I-Perception","volume":"15 4","pages":"20416695241270303"},"PeriodicalIF":1.1000,"publicationDate":"2024-08-12","publicationTypes":"Journal Article","fieldsOfStudy":null,"isOpenAccess":false,"openAccessPdf":"https://www.ncbi.nlm.nih.gov/pmc/articles/PMC11320694/pdf/","citationCount":"0","resultStr":null,"platform":"Semanticscholar","paperid":null,"PeriodicalName":"I-Perception","FirstCategoryId":"102","ListUrlMain":"https://doi.org/10.1177/20416695241270303","RegionNum":4,"RegionCategory":"心理学","ArticlePicture":[],"TitleCN":null,"AbstractTextCN":null,"PMCID":null,"EPubDate":"2024/7/1 0:00:00","PubModel":"eCollection","JCR":"Q2","JCRName":"PSYCHOLOGY, EXPERIMENTAL","Score":null,"Total":0}
引用次数: 0

Abstract

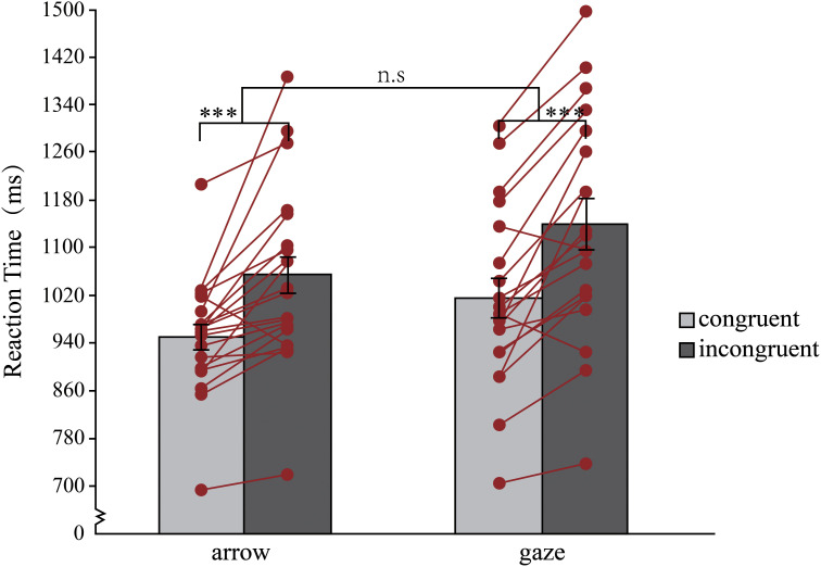
The experiment combined the spatial Stroop paradigm to examine the effect of background location on the perception of arrow or gaze direction in the vertical dimension by manipulating the congruence between the target direction and background location, and to validate a possible cognitive mechanism for gaze direction specificity - inhibiting background location. The results showed that when subjects were required to identify the target direction in a Stroop task (Experiment 1), the gaze cue failed to induce the Stroop effect. However, when subjects were required to judge the congruence between the target direction and the background location (Experiment 2), the gaze cue and the arrow cue both induced the Stroop effect. This suggests that " inhibiting background location" is responsible for the elimination of the spatial Stroop effect by gaze direction, which may one of the mechanisms for gaze direction specificity.

Abstract Image

Abstract Image

Abstract Image

凝视方向特异性的机制:抑制背景位置
实验结合空间斯特罗普范式,通过操纵目标方向与背景位置的一致性,考察背景位置对垂直维度上箭头或注视方向感知的影响,并验证注视方向特异性的可能认知机制--抑制背景位置。结果表明,当要求被试在 Stroop 任务中识别目标方向时(实验 1),凝视线索无法诱发 Stroop 效应。然而,当要求被试判断目标方向与背景位置是否一致时(实验 2),凝视线索和箭头线索都能诱发 Stroop 效应。这表明,"抑制背景位置 "是凝视方向消除空间斯特罗普效应的原因,这可能是凝视方向特异性的机制之一。
本文章由计算机程序翻译,如有差异,请以英文原文为准。
求助全文
约1分钟内获得全文 求助全文
来源期刊
I-Perception
I-Perception PSYCHOLOGY, EXPERIMENTAL-
CiteScore
4.30
自引率
5.30%
发文量
39
审稿时长
12 weeks
×
引用
GB/T 7714-2015
复制
MLA
复制
APA
复制
导出至
BibTeX EndNote RefMan NoteFirst NoteExpress
×
提示
您的信息不完整,为了账户安全,请先补充。
现在去补充
×
提示
您因"违规操作"
具体请查看互助需知
我知道了
×
提示
确定
请完成安全验证×
copy
已复制链接
快去分享给好友吧!
我知道了
右上角分享
点击右上角分享
0
联系我们:info@booksci.cn Book学术提供免费学术资源搜索服务,方便国内外学者检索中英文文献。致力于提供最便捷和优质的服务体验。 Copyright © 2023 布克学术 All rights reserved.
京ICP备2023020795号-1
ghs 京公网安备 11010802042870号
Book学术文献互助
Book学术文献互助群
群 号:604180095
Book学术官方微信