Clinical and Biomarker Characteristic of Lymphoma Patients in Hasan Sadikin Lymphoma Registry.

IF 2.7 Q3 HEMATOLOGY
Journal of Blood Medicine Pub Date : 2024-08-05 eCollection Date: 2024-01-01 DOI:10.2147/JBM.S472791
Amaylia Oehadian, Andini Kartikasari, Lusi Mersiana, Stephanie Victoria Gunadi, Gusti Fungani, Putri Vidyaniati, Dimmy Prasetya, Indra Wijaya, Pandji Irani Fianza, Trinugroho Heri Fadjari, Nanny Natalia Sutedjo
{"title":"Clinical and Biomarker Characteristic of Lymphoma Patients in Hasan Sadikin Lymphoma Registry.","authors":"Amaylia Oehadian, Andini Kartikasari, Lusi Mersiana, Stephanie Victoria Gunadi, Gusti Fungani, Putri Vidyaniati, Dimmy Prasetya, Indra Wijaya, Pandji Irani Fianza, Trinugroho Heri Fadjari, Nanny Natalia Sutedjo","doi":"10.2147/JBM.S472791","DOIUrl":null,"url":null,"abstract":"<p><strong>Background: </strong>No specific data have been systematically collected regarding lymphoma patient characteristics, while non-Hodgkin lymphoma (NHL) is identified as the 7<sup>th</sup> most common cancer and Hodgkin lymphoma (HL) is the 28<sup>th</sup>. Inflammation plays an important role in the pathogenesis and progression of lymphoma. Malnutrition is an adverse prognostic factor in lymphoma. Systemic Inflammatory Index (SII), Prognostic Nutritional Index (PNI), and Advanced Lung Cancer Inflammation Index (ALI) were biomarkers depicting inflammation and nutritional status. This study aims to describe the clinical and biomarker characteristics of both HL and NHL patients.</p><p><strong>Methods: </strong>This descriptive study used a cross-sectional design, and data were collected from Hasan Sadikin Hospital lymphoma registry from January 2020 to November 2023. Demographic, staging, and histopathological data were extracted. Three biomarkers were evaluated. Survival curves were drawn using Kaplan-Meier curve analysis, and the log rank test was used for comparison of survival between early and advanced stage.</p><p><strong>Results: </strong>A total of 271 patients were recruited as participants, and the majority (80.5%) had NHL, with diffuse large B-cell lymphoma (DLBCL) being the most common histopathological type (50.5%). Early disease was observed in two-thirds of patients, and low-risk International Prognostic Index (IPI) score was the most common prognostic score found (95%). SII was slightly higher in early compared to advanced stages. Treatment response was evaluated from 101 patients, and complete response was observed in 44.5%. Two-year overall survival (OS) was 93.1%, with median survival 22.7 (95% CI 21.9-23.5) months. In early stage, the median survival was slightly longer than in advanced stage [23.0 (95% CI 22.2-23.8) vs 21.6 (95% CI 19.3-23.8) months, <i>P=</i>0.09].</p><p><strong>Conclusion: </strong>Hodgkin lymphoma and DLBCL had similar clinical and biomarker characteristics. There were slight differences between the three biomarkers SII, ALI, and PNI based on the disease stage. Almost all patients still survived at 2-year follow-up.</p>","PeriodicalId":15166,"journal":{"name":"Journal of Blood Medicine","volume":"15 ","pages":"341-349"},"PeriodicalIF":2.7000,"publicationDate":"2024-08-05","publicationTypes":"Journal Article","fieldsOfStudy":null,"isOpenAccess":false,"openAccessPdf":"https://www.ncbi.nlm.nih.gov/pmc/articles/PMC11314504/pdf/","citationCount":"0","resultStr":null,"platform":"Semanticscholar","paperid":null,"PeriodicalName":"Journal of Blood Medicine","FirstCategoryId":"1085","ListUrlMain":"https://doi.org/10.2147/JBM.S472791","RegionNum":0,"RegionCategory":null,"ArticlePicture":[],"TitleCN":null,"AbstractTextCN":null,"PMCID":null,"EPubDate":"2024/1/1 0:00:00","PubModel":"eCollection","JCR":"Q3","JCRName":"HEMATOLOGY","Score":null,"Total":0}
引用次数: 0

Abstract

Background: No specific data have been systematically collected regarding lymphoma patient characteristics, while non-Hodgkin lymphoma (NHL) is identified as the 7th most common cancer and Hodgkin lymphoma (HL) is the 28th. Inflammation plays an important role in the pathogenesis and progression of lymphoma. Malnutrition is an adverse prognostic factor in lymphoma. Systemic Inflammatory Index (SII), Prognostic Nutritional Index (PNI), and Advanced Lung Cancer Inflammation Index (ALI) were biomarkers depicting inflammation and nutritional status. This study aims to describe the clinical and biomarker characteristics of both HL and NHL patients.

Methods: This descriptive study used a cross-sectional design, and data were collected from Hasan Sadikin Hospital lymphoma registry from January 2020 to November 2023. Demographic, staging, and histopathological data were extracted. Three biomarkers were evaluated. Survival curves were drawn using Kaplan-Meier curve analysis, and the log rank test was used for comparison of survival between early and advanced stage.

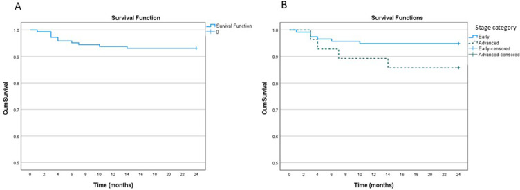
Results: A total of 271 patients were recruited as participants, and the majority (80.5%) had NHL, with diffuse large B-cell lymphoma (DLBCL) being the most common histopathological type (50.5%). Early disease was observed in two-thirds of patients, and low-risk International Prognostic Index (IPI) score was the most common prognostic score found (95%). SII was slightly higher in early compared to advanced stages. Treatment response was evaluated from 101 patients, and complete response was observed in 44.5%. Two-year overall survival (OS) was 93.1%, with median survival 22.7 (95% CI 21.9-23.5) months. In early stage, the median survival was slightly longer than in advanced stage [23.0 (95% CI 22.2-23.8) vs 21.6 (95% CI 19.3-23.8) months, P=0.09].

Conclusion: Hodgkin lymphoma and DLBCL had similar clinical and biomarker characteristics. There were slight differences between the three biomarkers SII, ALI, and PNI based on the disease stage. Almost all patients still survived at 2-year follow-up.

Abstract Image

哈桑-萨迪金淋巴瘤登记处淋巴瘤患者的临床和生物标记特征
背景:虽然非霍奇金淋巴瘤(NHL)被认为是第七大最常见癌症,而霍奇金淋巴瘤(HL)则是第二十八大最常见癌症,但关于淋巴瘤患者特征的具体数据尚未得到系统收集。炎症在淋巴瘤的发病和发展过程中起着重要作用。营养不良是淋巴瘤的不良预后因素。全身炎症指数(SII)、预后营养指数(PNI)和晚期肺癌炎症指数(ALI)是描述炎症和营养状况的生物标志物。本研究旨在描述 HL 和 NHL 患者的临床和生物标志物特征:这项描述性研究采用横断面设计,数据来自哈桑-萨迪金医院(Hasan Sadikin Hospital)2020 年 1 月至 2023 年 11 月的淋巴瘤登记处。提取了人口统计学、分期和组织病理学数据。评估了三种生物标记物。采用 Kaplan-Meier 曲线分析法绘制生存曲线,并用对数秩检验法比较早期和晚期患者的生存率:共招募了271名患者,其中大多数(80.5%)患有NHL,弥漫大B细胞淋巴瘤(DLBCL)是最常见的组织病理学类型(50.5%)。三分之二的患者为早期疾病,低风险国际预后指数(IPI)评分是最常见的预后评分(95%)。与晚期相比,早期患者的 SII 略高。对101名患者的治疗反应进行了评估,发现44.5%的患者有完全反应。两年总生存率(OS)为 93.1%,中位生存期为 22.7 个月(95% CI 21.9-23.5)。早期患者的中位生存期略长于晚期患者[23.0(95% CI 22.2-23.8)个月 vs 21.6(95% CI 19.3-23.8)个月,P=0.09]:霍奇金淋巴瘤和DLBCL具有相似的临床和生物标志物特征。根据疾病分期,SII、ALI和PNI这三种生物标志物之间略有不同。几乎所有患者在随访两年后仍然存活。
本文章由计算机程序翻译,如有差异,请以英文原文为准。
求助全文
约1分钟内获得全文 求助全文
来源期刊
CiteScore
3.50
自引率
0.00%
发文量
94
审稿时长
16 weeks
期刊介绍: The Journal of Blood Medicine is an international, peer-reviewed, open access, online journal publishing laboratory, experimental and clinical aspects of all topics pertaining to blood based medicine including but not limited to: Transfusion Medicine (blood components, stem cell transplantation, apheresis, gene based therapeutics), Blood collection, Donor issues, Transmittable diseases, and Blood banking logistics, Immunohematology, Artificial and alternative blood based therapeutics, Hematology including disorders/pathology related to leukocytes/immunology, red cells, platelets and hemostasis, Biotechnology/nanotechnology of blood related medicine, Legal aspects of blood medicine, Historical perspectives. Original research, short reports, reviews, case reports and commentaries are invited.
×
引用
GB/T 7714-2015
复制
MLA
复制
APA
复制
导出至
BibTeX EndNote RefMan NoteFirst NoteExpress
×
提示
您的信息不完整,为了账户安全,请先补充。
现在去补充
×
提示
您因"违规操作"
具体请查看互助需知
我知道了
×
提示
确定
请完成安全验证×
copy
已复制链接
快去分享给好友吧!
我知道了
右上角分享
点击右上角分享
0
联系我们:info@booksci.cn Book学术提供免费学术资源搜索服务,方便国内外学者检索中英文文献。致力于提供最便捷和优质的服务体验。 Copyright © 2023 布克学术 All rights reserved.
京ICP备2023020795号-1
ghs 京公网安备 11010802042870号
Book学术文献互助
Book学术文献互助群
群 号:604180095
Book学术官方微信