Worry Postponement From the Metacognitive Perspective: A Randomized Waitlist-Controlled Trial.

IF 2.4 Q2 Psychology
Clinical Psychology in Europe Pub Date : 2024-06-28 eCollection Date: 2024-06-01 DOI:10.32872/cpe.12741
Clara Krzikalla, Ulrike Buhlmann, Janina Schug, Ina Kopei, Alexander L Gerlach, Philipp Doebler, Nexhmedin Morina, Tanja Andor
{"title":"Worry Postponement From the Metacognitive Perspective: A Randomized Waitlist-Controlled Trial.","authors":"Clara Krzikalla, Ulrike Buhlmann, Janina Schug, Ina Kopei, Alexander L Gerlach, Philipp Doebler, Nexhmedin Morina, Tanja Andor","doi":"10.32872/cpe.12741","DOIUrl":null,"url":null,"abstract":"<p><strong>Background: </strong>Pathological worry is associated with appraisals of worrying as uncontrollable. Worry postponement (WP) with a stimulus control rationale appears to be effective in non-clinical samples. However, preliminary research in participants with generalized anxiety disorder (GAD) does not support its efficacy in reducing negative metacognitions or worry. The aim of this study was to investigate the efficacy of WP with a metacognitive rationale.</p><p><strong>Method: </strong>Participants with GAD (n = 47) or hypochondriasis (HYP; n = 35) were randomly assigned to either an intervention group (IG) or waitlist (WL). The IG received a two-session long WP intervention aiming at mainly reducing negative metacognitions concerning uncontrollability of worrying. Participants were instructed to postpone their worry process to a predetermined later time during the six days between the two sessions. Participants completed questionnaires of negative metacognitions and worry at pre-assessment, post-assessment, and follow-up.</p><p><strong>Results: </strong>We observed a significant Time*Group interaction for negative metacognitions and worry. Post-hoc analyses on the total sample and separately for GAD and HYP revealed significantly lower worry scores in the treated GAD sample compared to the WL, representing the only significant effect. In the GAD group, pre-post-effect sizes were small for negative metacognitions and large for worry. Effects persisted to a four-week follow-up.</p><p><strong>Conclusion: </strong>WP with a metacognitive rationale seems to be effective in reducing worry in participants with GAD. The effectiveness for HYP seems limited, possibly due to the small sample size.</p>","PeriodicalId":34029,"journal":{"name":"Clinical Psychology in Europe","volume":"6 2","pages":"e12741"},"PeriodicalIF":2.4000,"publicationDate":"2024-06-28","publicationTypes":"Journal Article","fieldsOfStudy":null,"isOpenAccess":false,"openAccessPdf":"https://www.ncbi.nlm.nih.gov/pmc/articles/PMC11303915/pdf/","citationCount":"0","resultStr":null,"platform":"Semanticscholar","paperid":null,"PeriodicalName":"Clinical Psychology in Europe","FirstCategoryId":"1085","ListUrlMain":"https://doi.org/10.32872/cpe.12741","RegionNum":0,"RegionCategory":null,"ArticlePicture":[],"TitleCN":null,"AbstractTextCN":null,"PMCID":null,"EPubDate":"2024/6/1 0:00:00","PubModel":"eCollection","JCR":"Q2","JCRName":"Psychology","Score":null,"Total":0}
引用次数: 0

Abstract

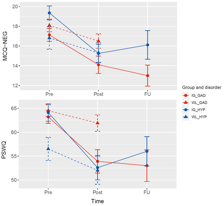
Background: Pathological worry is associated with appraisals of worrying as uncontrollable. Worry postponement (WP) with a stimulus control rationale appears to be effective in non-clinical samples. However, preliminary research in participants with generalized anxiety disorder (GAD) does not support its efficacy in reducing negative metacognitions or worry. The aim of this study was to investigate the efficacy of WP with a metacognitive rationale.

Method: Participants with GAD (n = 47) or hypochondriasis (HYP; n = 35) were randomly assigned to either an intervention group (IG) or waitlist (WL). The IG received a two-session long WP intervention aiming at mainly reducing negative metacognitions concerning uncontrollability of worrying. Participants were instructed to postpone their worry process to a predetermined later time during the six days between the two sessions. Participants completed questionnaires of negative metacognitions and worry at pre-assessment, post-assessment, and follow-up.

Results: We observed a significant Time*Group interaction for negative metacognitions and worry. Post-hoc analyses on the total sample and separately for GAD and HYP revealed significantly lower worry scores in the treated GAD sample compared to the WL, representing the only significant effect. In the GAD group, pre-post-effect sizes were small for negative metacognitions and large for worry. Effects persisted to a four-week follow-up.

Conclusion: WP with a metacognitive rationale seems to be effective in reducing worry in participants with GAD. The effectiveness for HYP seems limited, possibly due to the small sample size.

Abstract Image

Abstract Image

从元认知角度看忧虑延迟:随机等待对照试验》。
背景:病态担忧与对担忧无法控制的评价有关。在非临床样本中,具有刺激控制原理的担忧延迟(WP)似乎是有效的。然而,对患有广泛性焦虑症(GAD)的参与者进行的初步研究并不支持其在减少消极元认知或担忧方面的有效性。本研究旨在调查具有元认知原理的可持续发展项目的有效性:方法:患有 GAD(n = 47)或疑病症(HYP;n = 35)的参与者被随机分配到干预组(IG)或候补组(WL)。IG 组接受为期两节的 WP 干预,主要目的是减少与无法控制的担忧有关的消极元认知。参与者被要求在两节课之间的六天内,将其担忧过程推迟到预定的稍后时间。参与者在评估前、评估后和随访时填写了有关消极元认知和担忧的问卷:结果:我们观察到消极元认知和忧虑与时间*组之间存在明显的交互作用。对全部样本以及 GAD 和 HYP 分别进行的事后分析表明,与 WL 相比,接受治疗的 GAD 样本的担忧得分显著降低,这是唯一的显著效应。在 GAD 组中,消极元认知的前后效应大小较小,而担忧的前后效应大小较大。效果持续到四周的随访:结论:具有元认知原理的 WP 似乎能有效减少 GAD 参与者的担忧。可能由于样本量较小,HYP 的效果似乎有限。
本文章由计算机程序翻译,如有差异,请以英文原文为准。
求助全文
约1分钟内获得全文 求助全文
来源期刊
Clinical Psychology in Europe
Clinical Psychology in Europe Psychology-Clinical Psychology
CiteScore
3.00
自引率
0.00%
发文量
26
审稿时长
16 weeks
×
引用
GB/T 7714-2015
复制
MLA
复制
APA
复制
导出至
BibTeX EndNote RefMan NoteFirst NoteExpress
×
提示
您的信息不完整,为了账户安全,请先补充。
现在去补充
×
提示
您因"违规操作"
具体请查看互助需知
我知道了
×
提示
确定
请完成安全验证×
copy
已复制链接
快去分享给好友吧!
我知道了
右上角分享
点击右上角分享
0
联系我们:info@booksci.cn Book学术提供免费学术资源搜索服务,方便国内外学者检索中英文文献。致力于提供最便捷和优质的服务体验。 Copyright © 2023 布克学术 All rights reserved.
京ICP备2023020795号-1
ghs 京公网安备 11010802042870号
Book学术文献互助
Book学术文献互助群
群 号:604180095
Book学术官方微信