The Trump Effect? Right-Wing Populism and Distrust in Voting by Mail in Canada.

IF 2.7 1区 社会学 Q1 COMMUNICATION
Public Opinion Quarterly Pub Date : 2024-07-16 eCollection Date: 2024-01-01 DOI:10.1093/poq/nfae020
Cary Wu, Andrew Dawson
{"title":"The Trump Effect? Right-Wing Populism and Distrust in Voting by Mail in Canada.","authors":"Cary Wu, Andrew Dawson","doi":"10.1093/poq/nfae020","DOIUrl":null,"url":null,"abstract":"<p><p>Do Donald Trump's attacks on voting by mail influence how some Canadians view mail-in ballots? The Trump effect on views and behaviors surrounding voting by mail has been well documented in the United States. North of the border, more Canadians than ever voted by mail in the last general election. In this study, we consider how right-wing populism is associated with trust in voting by mail among Canadians. Specifically, we seek to test two main hypotheses. First, we consider whether Canadians holding populist views-and, in particular, those holding right-wing populist views (would-be Trump supporters)-are less trusting of voting by mail. Second, we consider whether political media exposure amplifies this association. We analyze data from both the 2021 Canadian Election Study and Democracy Checkup Survey. We find that those who hold populist views clearly have less trust in voting by mail. This is especially true among right-leaning individuals. Furthermore, as in the United States, this effect is moderated by one's level of political media exposure, with higher levels of political media exposure amplifying the effect of populist views on trust in voting by mail. Our findings, therefore, suggest that the politicization of mail-in voting by President Trump has important implications for the legitimacy of the electoral system not only in the United States, but also in Canada and potentially in other parts of the world.</p>","PeriodicalId":51359,"journal":{"name":"Public Opinion Quarterly","volume":"88 SI","pages":"781-813"},"PeriodicalIF":2.7000,"publicationDate":"2024-07-16","publicationTypes":"Journal Article","fieldsOfStudy":null,"isOpenAccess":false,"openAccessPdf":"https://www.ncbi.nlm.nih.gov/pmc/articles/PMC11300042/pdf/","citationCount":"0","resultStr":null,"platform":"Semanticscholar","paperid":null,"PeriodicalName":"Public Opinion Quarterly","FirstCategoryId":"90","ListUrlMain":"https://doi.org/10.1093/poq/nfae020","RegionNum":1,"RegionCategory":"社会学","ArticlePicture":[],"TitleCN":null,"AbstractTextCN":null,"PMCID":null,"EPubDate":"2024/1/1 0:00:00","PubModel":"eCollection","JCR":"Q1","JCRName":"COMMUNICATION","Score":null,"Total":0}
引用次数: 0

Abstract

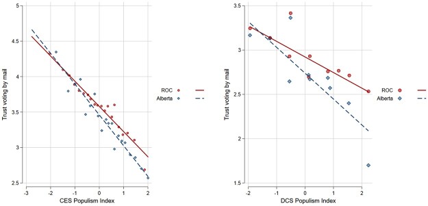
Do Donald Trump's attacks on voting by mail influence how some Canadians view mail-in ballots? The Trump effect on views and behaviors surrounding voting by mail has been well documented in the United States. North of the border, more Canadians than ever voted by mail in the last general election. In this study, we consider how right-wing populism is associated with trust in voting by mail among Canadians. Specifically, we seek to test two main hypotheses. First, we consider whether Canadians holding populist views-and, in particular, those holding right-wing populist views (would-be Trump supporters)-are less trusting of voting by mail. Second, we consider whether political media exposure amplifies this association. We analyze data from both the 2021 Canadian Election Study and Democracy Checkup Survey. We find that those who hold populist views clearly have less trust in voting by mail. This is especially true among right-leaning individuals. Furthermore, as in the United States, this effect is moderated by one's level of political media exposure, with higher levels of political media exposure amplifying the effect of populist views on trust in voting by mail. Our findings, therefore, suggest that the politicization of mail-in voting by President Trump has important implications for the legitimacy of the electoral system not only in the United States, but also in Canada and potentially in other parts of the world.

Abstract Image

Abstract Image

Abstract Image

特朗普效应?加拿大右翼民粹主义和对邮寄投票的不信任。
唐纳德-特朗普对邮寄投票的攻击是否影响了一些加拿大人对邮寄选票的看法?在美国,特朗普对邮寄投票的观点和行为所产生的影响已经有据可查。在加拿大边境以北,在上次大选中通过邮寄方式投票的加拿大人比以往任何时候都多。在本研究中,我们将探讨右翼民粹主义与加拿大人对邮寄投票的信任之间的关系。具体来说,我们试图检验两个主要假设。首先,我们考虑持有民粹主义观点的加拿大人--尤其是持有右翼民粹主义观点的加拿大人(特朗普的潜在支持者)--是否对邮寄投票的信任度较低。其次,我们考虑政治媒体的曝光是否会放大这种关联。我们分析了 2021 年加拿大选举研究(Canadian Election Study)和民主检查调查(Democracy Checkup Survey)的数据。我们发现,持有民粹主义观点的人对邮寄投票的信任度明显较低。这在右倾人士中尤为明显。此外,与美国的情况一样,这种影响受个人政治媒体接触程度的调节,政治媒体接触程度越高,民粹主义观点对邮寄投票信任度的影响就越大。因此,我们的研究结果表明,特朗普总统将邮寄投票政治化不仅对美国选举制度的合法性有重要影响,而且对加拿大和世界其他地区的选举制度的合法性也有潜在影响。
本文章由计算机程序翻译,如有差异,请以英文原文为准。
求助全文
约1分钟内获得全文 求助全文
来源期刊
CiteScore
4.40
自引率
2.90%
发文量
51
期刊介绍: Published since 1937, Public Opinion Quarterly is among the most frequently cited journals of its kind. Such interdisciplinary leadership benefits academicians and all social science researchers by providing a trusted source for a wide range of high quality research. POQ selectively publishes important theoretical contributions to opinion and communication research, analyses of current public opinion, and investigations of methodological issues involved in survey validity—including questionnaire construction, interviewing and interviewers, sampling strategy, and mode of administration. The theoretical and methodological advances detailed in pages of POQ ensure its importance as a research resource.
×
引用
GB/T 7714-2015
复制
MLA
复制
APA
复制
导出至
BibTeX EndNote RefMan NoteFirst NoteExpress
×
提示
您的信息不完整,为了账户安全,请先补充。
现在去补充
×
提示
您因"违规操作"
具体请查看互助需知
我知道了
×
提示
确定
请完成安全验证×
copy
已复制链接
快去分享给好友吧!
我知道了
右上角分享
点击右上角分享
0
联系我们:info@booksci.cn Book学术提供免费学术资源搜索服务,方便国内外学者检索中英文文献。致力于提供最便捷和优质的服务体验。 Copyright © 2023 布克学术 All rights reserved.
京ICP备2023020795号-1
ghs 京公网安备 11010802042870号
Book学术文献互助
Book学术文献互助群
群 号:604180095
Book学术官方微信