Large-scale culturing of the subpolar foraminifera Globigerina bulloides reveals tolerance to a large range of environmental parameters associated to different life-strategies and an extended lifespan.

IF 2 3区 环境科学与生态学 Q2 MARINE & FRESHWATER BIOLOGY
Journal of Plankton Research Pub Date : 2024-06-07 eCollection Date: 2024-07-01 DOI:10.1093/plankt/fbae029
Freya E Sykes, Julie Meilland, Adele Westgård, Thomas B Chalk, Melissa Chierici, Gavin L Foster, Mohamed M Ezat
{"title":"Large-scale culturing of the subpolar foraminifera <i>Globigerina bulloides</i> reveals tolerance to a large range of environmental parameters associated to different life-strategies and an extended lifespan.","authors":"Freya E Sykes, Julie Meilland, Adele Westgård, Thomas B Chalk, Melissa Chierici, Gavin L Foster, Mohamed M Ezat","doi":"10.1093/plankt/fbae029","DOIUrl":null,"url":null,"abstract":"<p><p>The subtropical to subpolar planktic foraminifera <i>Globigerina bulloides</i> is a calcifying marine protist, and one of the dominant foraminiferal species of the Nordic Seas. Previously, the relative abundance and shell geochemistry of fossil <i>G. bulloides</i> have been studied for palaeoceanographic reconstructions. There is however a lack of biological observations on the species and a poor understanding of its ecological tolerances, especially for high latitude genotypes. Here, we present observations from the first extensive culturing of <i>G. bulloides</i> under subpolar conditions, including the first low temperature (6-13°C) and variable salinity (30-38) experiments. Carbonate chemistry (pH and [CO<sub>3</sub> <sup>2-</sup>]) was also manipulated. Experimental conditions were chosen to reflect a range of plausible past and future scenarios for the Nordic Seas. We found <i>G. bulloides</i> to be tolerant of environmental conditions well outside their optimal range (<10°C, salinity <33, pH <8). Observed life span was up to three months, which was attributed to a microalgal diet. Two alternative life strategies were employed, whereby individuals either experienced rapid growth and death, or a prolonged lifespan with minimal growth and death via slow decay. We posit this could help explain differences in geochemical signals recorded from different size fractions of fossil specimens used for palaeoceanographic reconstructions.</p>","PeriodicalId":16800,"journal":{"name":"Journal of Plankton Research","volume":"46 4","pages":"403-420"},"PeriodicalIF":2.0000,"publicationDate":"2024-06-07","publicationTypes":"Journal Article","fieldsOfStudy":null,"isOpenAccess":false,"openAccessPdf":"https://www.ncbi.nlm.nih.gov/pmc/articles/PMC11290258/pdf/","citationCount":"0","resultStr":null,"platform":"Semanticscholar","paperid":null,"PeriodicalName":"Journal of Plankton Research","FirstCategoryId":"93","ListUrlMain":"https://doi.org/10.1093/plankt/fbae029","RegionNum":3,"RegionCategory":"环境科学与生态学","ArticlePicture":[],"TitleCN":null,"AbstractTextCN":null,"PMCID":null,"EPubDate":"2024/7/1 0:00:00","PubModel":"eCollection","JCR":"Q2","JCRName":"MARINE & FRESHWATER BIOLOGY","Score":null,"Total":0}
引用次数: 0

Abstract

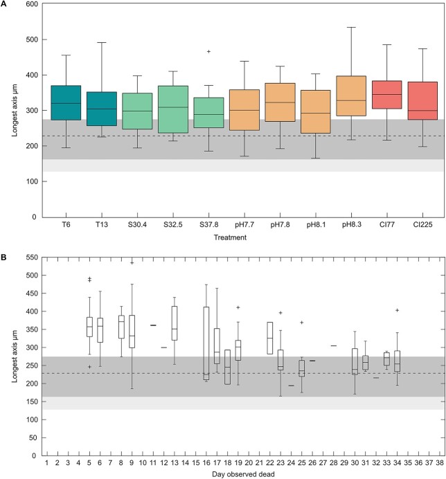
The subtropical to subpolar planktic foraminifera Globigerina bulloides is a calcifying marine protist, and one of the dominant foraminiferal species of the Nordic Seas. Previously, the relative abundance and shell geochemistry of fossil G. bulloides have been studied for palaeoceanographic reconstructions. There is however a lack of biological observations on the species and a poor understanding of its ecological tolerances, especially for high latitude genotypes. Here, we present observations from the first extensive culturing of G. bulloides under subpolar conditions, including the first low temperature (6-13°C) and variable salinity (30-38) experiments. Carbonate chemistry (pH and [CO3 2-]) was also manipulated. Experimental conditions were chosen to reflect a range of plausible past and future scenarios for the Nordic Seas. We found G. bulloides to be tolerant of environmental conditions well outside their optimal range (<10°C, salinity <33, pH <8). Observed life span was up to three months, which was attributed to a microalgal diet. Two alternative life strategies were employed, whereby individuals either experienced rapid growth and death, or a prolonged lifespan with minimal growth and death via slow decay. We posit this could help explain differences in geochemical signals recorded from different size fractions of fossil specimens used for palaeoceanographic reconstructions.

Abstract Image

Abstract Image

Abstract Image

对亚极地有孔虫 Globigerina bulloides 的大规模培养揭示了其对与不同生命策略和延长寿命相关的大量环境参数的耐受性。
亚热带至亚极地浮游有孔虫 Globigerina bulloides 是一种钙化海洋原生动物,也是北欧海洋的主要有孔虫物种之一。在此之前,人们曾对有孔虫化石的相对丰度和外壳地球化学进行过研究,以用于古海洋学重建。然而,我们缺乏对该物种的生物学观察,对其生态耐受性也缺乏了解,尤其是对高纬度基因型。在此,我们介绍了首次在亚极地条件下广泛培养 G. bulloides 的观察结果,包括首次低温(6-13°C)和可变盐度(30-38)实验。此外,还对碳酸盐化学(pH 值和 [CO3 2-])进行了操作。实验条件的选择反映了北欧海域过去和未来的各种可能情况。我们发现 G. bulloides 能够耐受其最适范围之外的环境条件 (
本文章由计算机程序翻译,如有差异,请以英文原文为准。
求助全文
约1分钟内获得全文 求助全文
来源期刊
Journal of Plankton Research
Journal of Plankton Research 生物-海洋学
CiteScore
3.50
自引率
9.50%
发文量
65
审稿时长
1 months
期刊介绍: Journal of Plankton Research publishes innovative papers that significantly advance the field of plankton research, and in particular, our understanding of plankton dynamics.
×
引用
GB/T 7714-2015
复制
MLA
复制
APA
复制
导出至
BibTeX EndNote RefMan NoteFirst NoteExpress
×
提示
您的信息不完整,为了账户安全,请先补充。
现在去补充
×
提示
您因"违规操作"
具体请查看互助需知
我知道了
×
提示
确定
请完成安全验证×
copy
已复制链接
快去分享给好友吧!
我知道了
右上角分享
点击右上角分享
0
联系我们:info@booksci.cn Book学术提供免费学术资源搜索服务,方便国内外学者检索中英文文献。致力于提供最便捷和优质的服务体验。 Copyright © 2023 布克学术 All rights reserved.
京ICP备2023020795号-1
ghs 京公网安备 11010802042870号
Book学术文献互助
Book学术文献互助群
群 号:604180095
Book学术官方微信