Left Ventricle Myocardial Work Correlated with Functional Capacity in Severe Rheumatic Mitral Stenosis with Preserved Left Ventricular Ejection Fraction.

IF 1 Q4 CARDIAC & CARDIOVASCULAR SYSTEMS
Journal of Cardiovascular Echography Pub Date : 2024-04-01 Epub Date: 2024-06-28 DOI:10.4103/jcecho.jcecho_14_24
Estu Rudiktyo, Maarten J Cramer, Emir Yonas, Arco J Teske, Bambang Budi Siswanto, Pieter A Doevendans, Amiliana M Soesanto
{"title":"Left Ventricle Myocardial Work Correlated with Functional Capacity in Severe Rheumatic Mitral Stenosis with Preserved Left Ventricular Ejection Fraction.","authors":"Estu Rudiktyo, Maarten J Cramer, Emir Yonas, Arco J Teske, Bambang Budi Siswanto, Pieter A Doevendans, Amiliana M Soesanto","doi":"10.4103/jcecho.jcecho_14_24","DOIUrl":null,"url":null,"abstract":"<p><strong>Background and aims: </strong>Functional capacity is reduced in mitral stenosis (MS) patients. Previous studies showed a correlation between left atrial strain and functional capacity in this population. However, currently, no left ventricle (LV) echocardiographic parameters were associated with functional capacity in patients with MS. Noninvasive LV pressure-strain loop analysis is a new echocardiographic method for evaluating LV function, integrating longitudinal strain from speckle-tracking analysis and noninvasively measured blood pressure to estimate myocardial work (MW) that overcomes the preload-dependent characteristics conventional parameters by integrating afterload. This study aimed to evaluate the association between MW and functional capacity measured using exercise tests in patients with severe MS and preserved LV ejection fraction (LVEF).</p><p><strong>Methods: </strong>Adult patients with symptomatic severe rheumatic MS (mitral valve area <1.5 cm<sup>2</sup>), and preserved LVEF (>50%) and sinus rhythm who underwent echocardiography and exercise stress test in our hospital from 2019 to 2021 were included. Exclusion criteria were suboptimal image quality for myocardial deformation analysis, significant mitral regurgitation or aortic valve lesions, coronary artery disease, intracardiac shunt, and atrial fibrillation. Standard echocardiographic parameters were measured, and all MW parameters were included. Exercise treadmill testing was performed using the modified Bruce protocol.</p><p><strong>Results: </strong>A total of 33 individuals with isolated severe rheumatic MS in sinus rhythm (age 39.8 ± 9.8 years) were included in the study. Patients with severe isolated MS showed significantly impaired LV-global longitudinal strain values compared to normal reference values. Furthermore, patients with severe MS showed significantly lower values of global work index, global constructive work, and efficiency compared to normal values and higher wasted work. Global work efficiency was significantly correlated to the duration of exercise (<i>P</i> = 0.025, Pearson's <i>r</i> = 0.389).</p><p><strong>Conclusions: </strong>In stable patients with isolated severe mitral stenosis, MW efficiency significantly correlated with functional capacity measured objectively through exercise testing.</p>","PeriodicalId":15191,"journal":{"name":"Journal of Cardiovascular Echography","volume":"34 2","pages":"57-62"},"PeriodicalIF":1.0000,"publicationDate":"2024-04-01","publicationTypes":"Journal Article","fieldsOfStudy":null,"isOpenAccess":false,"openAccessPdf":"https://www.ncbi.nlm.nih.gov/pmc/articles/PMC11288300/pdf/","citationCount":"0","resultStr":null,"platform":"Semanticscholar","paperid":null,"PeriodicalName":"Journal of Cardiovascular Echography","FirstCategoryId":"1085","ListUrlMain":"https://doi.org/10.4103/jcecho.jcecho_14_24","RegionNum":0,"RegionCategory":null,"ArticlePicture":[],"TitleCN":null,"AbstractTextCN":null,"PMCID":null,"EPubDate":"2024/6/28 0:00:00","PubModel":"Epub","JCR":"Q4","JCRName":"CARDIAC & CARDIOVASCULAR SYSTEMS","Score":null,"Total":0}
引用次数: 0

Abstract

Background and aims: Functional capacity is reduced in mitral stenosis (MS) patients. Previous studies showed a correlation between left atrial strain and functional capacity in this population. However, currently, no left ventricle (LV) echocardiographic parameters were associated with functional capacity in patients with MS. Noninvasive LV pressure-strain loop analysis is a new echocardiographic method for evaluating LV function, integrating longitudinal strain from speckle-tracking analysis and noninvasively measured blood pressure to estimate myocardial work (MW) that overcomes the preload-dependent characteristics conventional parameters by integrating afterload. This study aimed to evaluate the association between MW and functional capacity measured using exercise tests in patients with severe MS and preserved LV ejection fraction (LVEF).

Methods: Adult patients with symptomatic severe rheumatic MS (mitral valve area <1.5 cm2), and preserved LVEF (>50%) and sinus rhythm who underwent echocardiography and exercise stress test in our hospital from 2019 to 2021 were included. Exclusion criteria were suboptimal image quality for myocardial deformation analysis, significant mitral regurgitation or aortic valve lesions, coronary artery disease, intracardiac shunt, and atrial fibrillation. Standard echocardiographic parameters were measured, and all MW parameters were included. Exercise treadmill testing was performed using the modified Bruce protocol.

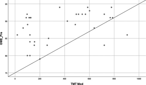
Results: A total of 33 individuals with isolated severe rheumatic MS in sinus rhythm (age 39.8 ± 9.8 years) were included in the study. Patients with severe isolated MS showed significantly impaired LV-global longitudinal strain values compared to normal reference values. Furthermore, patients with severe MS showed significantly lower values of global work index, global constructive work, and efficiency compared to normal values and higher wasted work. Global work efficiency was significantly correlated to the duration of exercise (P = 0.025, Pearson's r = 0.389).

Conclusions: In stable patients with isolated severe mitral stenosis, MW efficiency significantly correlated with functional capacity measured objectively through exercise testing.

Abstract Image

Abstract Image

Abstract Image

左心室心肌功与保留左心室射血分数的严重风湿性二尖瓣狭窄患者的功能能力相关。
背景和目的:二尖瓣狭窄(MS)患者的功能能力下降。先前的研究显示,该人群的左心房应变与功能能力之间存在相关性。然而,目前还没有任何左心室超声心动图参数与二尖瓣狭窄患者的功能能力相关。无创左心室压力-应变环路分析是一种评估左心室功能的新型超声心动图方法,它通过整合斑点追踪分析得出的纵向应变和无创测量的血压来估算心肌功(MW),通过整合后负荷克服了传统参数的前负荷依赖特性。本研究旨在评估严重多发性硬化且左心室射血分数(LVEF)保留的患者通过运动测试测量的心肌功与功能能力之间的关联:方法:纳入2019年至2021年在我院接受超声心动图检查和运动负荷试验的无症状重度风湿性MS(二尖瓣面积2)、LVEF保留(>50%)和窦性心律的成人患者。排除标准为心肌变形分析图像质量不达标、二尖瓣反流或主动脉瓣明显病变、冠状动脉疾病、心内分流和心房颤动。对标准超声心动图参数进行了测量,并纳入了所有 MW 参数。采用改良布鲁斯方案进行了运动跑步机测试:研究共纳入了 33 名窦性心律的孤立性重度风湿性多发性硬化患者(年龄为 39.8 ± 9.8 岁)。与正常参考值相比,重度孤立性 MS 患者的左心室整体纵向应变值明显受损。此外,与正常值相比,重度多发性硬化症患者的全局工作指数、全局建设性工作和效率值明显较低,浪费工作较多。总体工作效率与运动持续时间明显相关(P = 0.025,Pearson's r = 0.389):在病情稳定的孤立性重度二尖瓣狭窄患者中,MW效率与通过运动测试客观测量的功能能力显著相关。
本文章由计算机程序翻译,如有差异,请以英文原文为准。
求助全文
约1分钟内获得全文 求助全文
来源期刊
Journal of Cardiovascular Echography
Journal of Cardiovascular Echography CARDIAC & CARDIOVASCULAR SYSTEMS-
CiteScore
1.40
自引率
12.50%
发文量
27
×
引用
GB/T 7714-2015
复制
MLA
复制
APA
复制
导出至
BibTeX EndNote RefMan NoteFirst NoteExpress
×
提示
您的信息不完整,为了账户安全,请先补充。
现在去补充
×
提示
您因"违规操作"
具体请查看互助需知
我知道了
×
提示
确定
请完成安全验证×
copy
已复制链接
快去分享给好友吧!
我知道了
右上角分享
点击右上角分享
0
联系我们:info@booksci.cn Book学术提供免费学术资源搜索服务,方便国内外学者检索中英文文献。致力于提供最便捷和优质的服务体验。 Copyright © 2023 布克学术 All rights reserved.
京ICP备2023020795号-1
ghs 京公网安备 11010802042870号
Book学术文献互助
Book学术文献互助群
群 号:604180095
Book学术官方微信