Relationships Between Success Factors in Daily Disposable Multifocal Contact Lenses.

IF 1.8 Q3 OPHTHALMOLOGY
Clinical Optometry Pub Date : 2024-07-18 eCollection Date: 2024-01-01 DOI:10.2147/OPTO.S462723
Sarah E Guthrie, Doerte Luensmann, Jill Woods, Jose Vega, Gary Orsborn
{"title":"Relationships Between Success Factors in Daily Disposable Multifocal Contact Lenses.","authors":"Sarah E Guthrie, Doerte Luensmann, Jill Woods, Jose Vega, Gary Orsborn","doi":"10.2147/OPTO.S462723","DOIUrl":null,"url":null,"abstract":"<p><strong>Purpose: </strong>To explore links between subjective comfort and vision in habitual multifocal soft contact lens (MFCL) wearers when refit with daily disposable MFCLs, to determine which factors are relevant for success with MFCLs and evaluate consistency between MFCLs of different designs.</p><p><strong>Patients and methods: </strong>This work examined subjective measures in a randomised, participant masked, bilateral wear crossover study at five optometry practices. Fifty-eight habitual MFCL wearers wore stenfilcon A multifocal (stenA-MF; CooperVision Inc) and delefilcon A multifocal (delA-MF; Alcon) for two-weeks. Subjective ratings included satisfaction with comfort and vision and agreement questions.</p><p><strong>Results: </strong>Agreement with \"I would like to wear this MFCL in the future\" was taken to indicate success with each MFCL; agreement was significantly higher with stenA-MF. There was strong correlation between agreement responses for \"I would like to wear this MFCL in the future\" and \"MFCL met my needs for vision\" with both lenses (p<0.01). However, it was only with stenA-MF, which had higher agreement responses to both statements (p<0.05), that responses to these two statements correlated with satisfaction with end-of-day (EOD) comfort (p<0.01). These differences in correlations between the two lenses are seemingly driven by greater satisfaction with stenA-MF for near and intermediate vision (p<0.05).</p><p><strong>Conclusion: </strong>Subjective vision and comfort were only correlated when vision met the needs of most participants. Meeting participants' needs for vision correlated strongly with wanting to wear a MFCL. Results indicate that meeting vision needs is more important than meeting comfort needs when influencing whether presbyopic patients continue wearing MFCLs.</p>","PeriodicalId":43701,"journal":{"name":"Clinical Optometry","volume":"16 ","pages":"157-167"},"PeriodicalIF":1.8000,"publicationDate":"2024-07-18","publicationTypes":"Journal Article","fieldsOfStudy":null,"isOpenAccess":false,"openAccessPdf":"https://www.ncbi.nlm.nih.gov/pmc/articles/PMC11268754/pdf/","citationCount":"0","resultStr":null,"platform":"Semanticscholar","paperid":null,"PeriodicalName":"Clinical Optometry","FirstCategoryId":"1085","ListUrlMain":"https://doi.org/10.2147/OPTO.S462723","RegionNum":0,"RegionCategory":null,"ArticlePicture":[],"TitleCN":null,"AbstractTextCN":null,"PMCID":null,"EPubDate":"2024/1/1 0:00:00","PubModel":"eCollection","JCR":"Q3","JCRName":"OPHTHALMOLOGY","Score":null,"Total":0}
引用次数: 0

Abstract

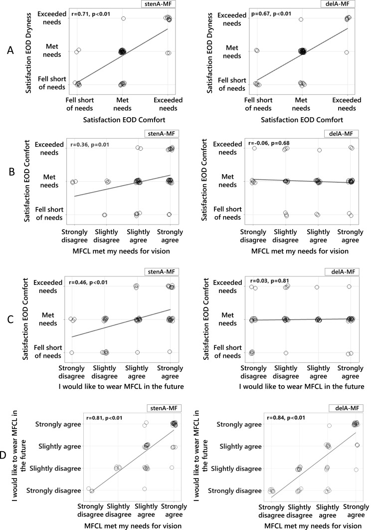
Purpose: To explore links between subjective comfort and vision in habitual multifocal soft contact lens (MFCL) wearers when refit with daily disposable MFCLs, to determine which factors are relevant for success with MFCLs and evaluate consistency between MFCLs of different designs.

Patients and methods: This work examined subjective measures in a randomised, participant masked, bilateral wear crossover study at five optometry practices. Fifty-eight habitual MFCL wearers wore stenfilcon A multifocal (stenA-MF; CooperVision Inc) and delefilcon A multifocal (delA-MF; Alcon) for two-weeks. Subjective ratings included satisfaction with comfort and vision and agreement questions.

Results: Agreement with "I would like to wear this MFCL in the future" was taken to indicate success with each MFCL; agreement was significantly higher with stenA-MF. There was strong correlation between agreement responses for "I would like to wear this MFCL in the future" and "MFCL met my needs for vision" with both lenses (p<0.01). However, it was only with stenA-MF, which had higher agreement responses to both statements (p<0.05), that responses to these two statements correlated with satisfaction with end-of-day (EOD) comfort (p<0.01). These differences in correlations between the two lenses are seemingly driven by greater satisfaction with stenA-MF for near and intermediate vision (p<0.05).

Conclusion: Subjective vision and comfort were only correlated when vision met the needs of most participants. Meeting participants' needs for vision correlated strongly with wanting to wear a MFCL. Results indicate that meeting vision needs is more important than meeting comfort needs when influencing whether presbyopic patients continue wearing MFCLs.

Abstract Image

Abstract Image

Abstract Image

日抛型多焦点隐形眼镜成功因素之间的关系。
目的:探讨习惯性多焦点软性隐形眼镜(MFCL)配戴者在重新配戴日抛型MFCL时的主观舒适度和视力之间的联系,确定哪些因素与成功配戴MFCL相关,并评估不同设计的MFCL之间的一致性:这项工作是在五家验光配镜诊所进行的一项随机、参与者蒙面、双侧佩戴交叉研究中对主观测量进行的检查。58 名习惯佩戴 MFCL 的患者分别佩戴了 stenfilcon A 多焦点(stenA-MF;CooperVision Inc)和 delefilcon A 多焦点(delA-MF;Alcon),为期两周。主观评分包括对舒适度和视力的满意度以及是否同意的问题:同意 "我将来愿意配戴这种多焦点眼镜 "表明配戴每种多焦点眼镜都很成功;stenA-MF的同意度明显更高。两种镜片在 "我将来愿意配戴这种 MFCL "和 "MFCL 满足了我对视力的需求 "这两个问题上的同意率之间有很强的相关性(p 结论:主观视力和舒适度只与两种镜片之间存在相关性:只有当视力满足大多数参与者的需求时,主观视力和舒适度才会相关。满足参与者对视力的需求与想要佩戴 MFCL 的愿望密切相关。结果表明,在影响老花眼患者是否继续配戴 MFCL 时,满足视力需求比满足舒适度需求更重要。
本文章由计算机程序翻译,如有差异,请以英文原文为准。
求助全文
约1分钟内获得全文 求助全文
来源期刊
Clinical Optometry
Clinical Optometry OPHTHALMOLOGY-
CiteScore
3.00
自引率
5.90%
发文量
29
审稿时长
16 weeks
期刊介绍: Clinical Optometry is an international, peer-reviewed, open access journal focusing on clinical optometry. All aspects of patient care are addressed within the journal as well as the practice of optometry including economic and business analyses. Basic and clinical research papers are published that cover all aspects of optics, refraction and its application to the theory and practice of optometry. Specific topics covered in the journal include: Theoretical and applied optics, Delivery of patient care in optometry practice, Refraction and correction of errors, Screening and preventative aspects of eye disease, Extended clinical roles for optometrists including shared care and provision of medications, Teaching and training optometrists, International aspects of optometry, Business practice, Patient adherence, quality of life, satisfaction, Health economic evaluations.
×
引用
GB/T 7714-2015
复制
MLA
复制
APA
复制
导出至
BibTeX EndNote RefMan NoteFirst NoteExpress
×
提示
您的信息不完整,为了账户安全,请先补充。
现在去补充
×
提示
您因"违规操作"
具体请查看互助需知
我知道了
×
提示
确定
请完成安全验证×
copy
已复制链接
快去分享给好友吧!
我知道了
右上角分享
点击右上角分享
0
联系我们:info@booksci.cn Book学术提供免费学术资源搜索服务,方便国内外学者检索中英文文献。致力于提供最便捷和优质的服务体验。 Copyright © 2023 布克学术 All rights reserved.
京ICP备2023020795号-1
ghs 京公网安备 11010802042870号
Book学术文献互助
Book学术文献互助群
群 号:604180095
Book学术官方微信