Advanced Multi-Layer Watertight Closure versus Conventional Closure in Total Hip and Knee Replacement Surgery.

IF 2.7 Q2 MEDICINE, GENERAL & INTERNAL
Pragmatic and Observational Research Pub Date : 2024-07-19 eCollection Date: 2024-01-01 DOI:10.2147/POR.S450183
Jana L Flener, Brian Po-Han Chen, Frank R Ernst, Aaron Libolt, Najmuddin J Gunja, William P Barrett
{"title":"Advanced Multi-Layer Watertight Closure versus Conventional Closure in Total Hip and Knee Replacement Surgery.","authors":"Jana L Flener, Brian Po-Han Chen, Frank R Ernst, Aaron Libolt, Najmuddin J Gunja, William P Barrett","doi":"10.2147/POR.S450183","DOIUrl":null,"url":null,"abstract":"<p><strong>Background: </strong>In total joint replacement procedures, surgeons have increasingly adopted advanced multi-layer, watertight closure. The objective of the study was to compare the clinical and economic outcomes for advanced multi-layer, watertight closure patients to those with conventional closure with sutures and skin staples.</p><p><strong>Methods: </strong>Patients aged ≥18 years were included in the study if they underwent total joint arthroplasty of the hip or knee as an elective, primary, inpatient procedure between January 2014 and March 2019. Cohorts having advanced multi-layer, watertight closure or conventional closure were compared using multivariable regression analysis of surgical site infections, length of stay, operating room time, procedure time, discharge status, readmissions, reoperations, and hospital emergency department visits.</p><p><strong>Results: </strong>A total of 1828 patients received at least one total hip or knee replacement, of which 434 (23.7%) had advanced multi-layer, watertight closure and 1394 (76.3%) had conventional closure. Unadjusted time to readmission, when occurring, was considerably longer following advanced multi-layer, watertight closure (89.9 vs 51.1 days, <i>p</i> < 0.0001), and a lower proportion of the advanced multi-layer, watertight closure cohort required reoperation within 90 days (0.0% vs 2.6%, <i>p</i> < 0.0001). Adjusted mean hospital length of stay was approximately half of a day shorter for advanced multi-layer, watertight closure patients (1.10 vs 1.65 days; <i>p</i> < 0.001), and they were also more likely to be discharged to home (Odds Ratio: 4.61; <i>p</i> = 0.002).</p><p><strong>Conclusion: </strong>Among patients undergoing total hip and knee arthroplasty in a highly optimized real-world clinical practice, advanced multi-layer, watertight closure was associated with significantly shorter inpatient length of stay and increased likelihood of being discharged to home compared with conventional closure. These findings suggest that advanced multi-layer, watertight closure is a valuable component of an optimal workflow for total hip or knee replacement, and may be especially valuable for high-risk patients.</p>","PeriodicalId":20399,"journal":{"name":"Pragmatic and Observational Research","volume":"15 ","pages":"93-102"},"PeriodicalIF":2.7000,"publicationDate":"2024-07-19","publicationTypes":"Journal Article","fieldsOfStudy":null,"isOpenAccess":false,"openAccessPdf":"https://www.ncbi.nlm.nih.gov/pmc/articles/PMC11268763/pdf/","citationCount":"0","resultStr":null,"platform":"Semanticscholar","paperid":null,"PeriodicalName":"Pragmatic and Observational Research","FirstCategoryId":"1085","ListUrlMain":"https://doi.org/10.2147/POR.S450183","RegionNum":0,"RegionCategory":null,"ArticlePicture":[],"TitleCN":null,"AbstractTextCN":null,"PMCID":null,"EPubDate":"2024/1/1 0:00:00","PubModel":"eCollection","JCR":"Q2","JCRName":"MEDICINE, GENERAL & INTERNAL","Score":null,"Total":0}
引用次数: 0

Abstract

Background: In total joint replacement procedures, surgeons have increasingly adopted advanced multi-layer, watertight closure. The objective of the study was to compare the clinical and economic outcomes for advanced multi-layer, watertight closure patients to those with conventional closure with sutures and skin staples.

Methods: Patients aged ≥18 years were included in the study if they underwent total joint arthroplasty of the hip or knee as an elective, primary, inpatient procedure between January 2014 and March 2019. Cohorts having advanced multi-layer, watertight closure or conventional closure were compared using multivariable regression analysis of surgical site infections, length of stay, operating room time, procedure time, discharge status, readmissions, reoperations, and hospital emergency department visits.

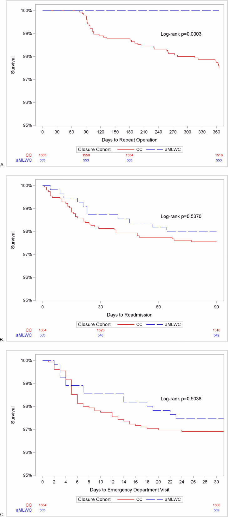
Results: A total of 1828 patients received at least one total hip or knee replacement, of which 434 (23.7%) had advanced multi-layer, watertight closure and 1394 (76.3%) had conventional closure. Unadjusted time to readmission, when occurring, was considerably longer following advanced multi-layer, watertight closure (89.9 vs 51.1 days, p < 0.0001), and a lower proportion of the advanced multi-layer, watertight closure cohort required reoperation within 90 days (0.0% vs 2.6%, p < 0.0001). Adjusted mean hospital length of stay was approximately half of a day shorter for advanced multi-layer, watertight closure patients (1.10 vs 1.65 days; p < 0.001), and they were also more likely to be discharged to home (Odds Ratio: 4.61; p = 0.002).

Conclusion: Among patients undergoing total hip and knee arthroplasty in a highly optimized real-world clinical practice, advanced multi-layer, watertight closure was associated with significantly shorter inpatient length of stay and increased likelihood of being discharged to home compared with conventional closure. These findings suggest that advanced multi-layer, watertight closure is a valuable component of an optimal workflow for total hip or knee replacement, and may be especially valuable for high-risk patients.

Abstract Image

Abstract Image

Abstract Image

全髋关节和膝关节置换手术中先进的多层防水闭合器与传统闭合器的对比。
背景:在全关节置换手术中,外科医生越来越多地采用先进的多层防水闭合术。本研究的目的是比较先进的多层防水闭合患者与传统的缝合和皮肤钉闭合患者的临床和经济效果:2014年1月至2019年3月期间,年龄≥18岁的髋关节或膝关节全关节置换术择期、主要、住院患者均纳入研究。通过对手术部位感染、住院时间、手术室时间、手术时间、出院情况、再入院率、再手术率和医院急诊就诊率进行多变量回归分析,对采用先进的多层防水闭合或传统闭合的组群进行比较:共有1828名患者接受了至少一次全髋关节或膝关节置换术,其中434人(23.7%)采用了先进的多层防水闭合技术,1394人(76.3%)采用了传统闭合技术。先进的多层水密闭合术后未经调整的再入院时间(89.9 天 vs 51.1 天,P < 0.0001)要长得多,而先进的多层水密闭合术后 90 天内需要再次手术的比例要低(0.0% vs 2.6%,P < 0.0001)。高级多层水密闭合患者的调整后平均住院时间缩短了约半天(1.10天 vs 1.65天;p < 0.001),而且他们更有可能出院回家(Odds Ratio:4.61;p = 0.002):结论:在高度优化的真实世界临床实践中,接受全髋关节和膝关节置换术的患者中,先进的多层防水闭合与传统闭合相比,住院时间显著缩短,出院回家的可能性增加。这些研究结果表明,先进的多层防水闭合是全髋关节或膝关节置换术最佳工作流程的重要组成部分,对高风险患者尤为重要。
本文章由计算机程序翻译,如有差异,请以英文原文为准。
求助全文
约1分钟内获得全文 求助全文
来源期刊
Pragmatic and Observational Research
Pragmatic and Observational Research MEDICINE, GENERAL & INTERNAL-
自引率
0.00%
发文量
11
期刊介绍: Pragmatic and Observational Research is an international, peer-reviewed, open-access journal that publishes data from studies designed to closely reflect medical interventions in real-world clinical practice, providing insights beyond classical randomized controlled trials (RCTs). While RCTs maximize internal validity for cause-and-effect relationships, they often represent only specific patient groups. This journal aims to complement such studies by providing data that better mirrors real-world patients and the usage of medicines, thus informing guidelines and enhancing the applicability of research findings across diverse patient populations encountered in everyday clinical practice.
×
引用
GB/T 7714-2015
复制
MLA
复制
APA
复制
导出至
BibTeX EndNote RefMan NoteFirst NoteExpress
×
提示
您的信息不完整,为了账户安全,请先补充。
现在去补充
×
提示
您因"违规操作"
具体请查看互助需知
我知道了
×
提示
确定
请完成安全验证×
copy
已复制链接
快去分享给好友吧!
我知道了
右上角分享
点击右上角分享
0
联系我们:info@booksci.cn Book学术提供免费学术资源搜索服务,方便国内外学者检索中英文文献。致力于提供最便捷和优质的服务体验。 Copyright © 2023 布克学术 All rights reserved.
京ICP备2023020795号-1
ghs 京公网安备 11010802042870号
Book学术文献互助
Book学术文献互助群
群 号:604180095
Book学术官方微信