Long-term efficacy and safety of tofacitinib in patients with ulcerative colitis: 3-year results from a real-world study.

IF 3.9 Q2 GASTROENTEROLOGY & HEPATOLOGY
Intestinal Research Pub Date : 2024-07-01 Epub Date: 2024-07-16 DOI:10.5217/ir.2023.00194
Hiromichi Shimizu, Yuko Aonuma, Shuji Hibiya, Ami Kawamoto, Kento Takenaka, Toshimitsu Fujii, Eiko Saito, Masakazu Nagahori, Kazuo Ohtsuka, Ryuichi Okamoto
{"title":"Long-term efficacy and safety of tofacitinib in patients with ulcerative colitis: 3-year results from a real-world study.","authors":"Hiromichi Shimizu, Yuko Aonuma, Shuji Hibiya, Ami Kawamoto, Kento Takenaka, Toshimitsu Fujii, Eiko Saito, Masakazu Nagahori, Kazuo Ohtsuka, Ryuichi Okamoto","doi":"10.5217/ir.2023.00194","DOIUrl":null,"url":null,"abstract":"<p><strong>Background/aims: </strong>The efficacy and safety of tofacitinib for the treatment of refractory ulcerative colitis (UC) has been demonstrated in clinical trials. Although, a series of reports with real-world evidence of its short-term efficacy and safety profiles have already been published, reports of long-term real-world data have been limited. We aimed to show our 3-year evidence on the clinical use of tofacitinib for the treatment of UC, focusing on its efficacy and safety profiles.</p><p><strong>Methods: </strong>A retrospective observational study was conducted on patients who started tofacitinib for active refractory UC at our hospital. The primary outcome was the retention rate until 156 weeks after initiating tofacitinib. The secondary outcomes were short-term efficacy at 4, 8, and 12 weeks; long-term efficacy at 52, 104, and 156 weeks; prognostic factors related to the cumulative retention rate; loss of response; and safety profile, including adverse events.</p><p><strong>Results: </strong>Forty-six patients who were able to be monitored for up to 156 weeks after tofacitinib initiation, were enrolled in this study. Continuation of tofacitinib was possible until 156 weeks in 54.3%, with > 50% response rates and > 40% remission rates. Among patients in whom response or remission was achieved and tofacitinib was deescalated after 8 weeks of induction treatment, 54.3% experienced relapse but were successfully rescued by and retained on reinduction treatment, except for 1 patient. No serious AEs were observed in the study.</p><p><strong>Conclusions: </strong>Tofacitinib is effective and safe as long-term treatment in a refractory cohort of UC patients in real-world clinical practice.</p>","PeriodicalId":14481,"journal":{"name":"Intestinal Research","volume":" ","pages":"369-377"},"PeriodicalIF":3.9000,"publicationDate":"2024-07-01","publicationTypes":"Journal Article","fieldsOfStudy":null,"isOpenAccess":false,"openAccessPdf":"https://www.ncbi.nlm.nih.gov/pmc/articles/PMC11309816/pdf/","citationCount":"0","resultStr":null,"platform":"Semanticscholar","paperid":null,"PeriodicalName":"Intestinal Research","FirstCategoryId":"1085","ListUrlMain":"https://doi.org/10.5217/ir.2023.00194","RegionNum":0,"RegionCategory":null,"ArticlePicture":[],"TitleCN":null,"AbstractTextCN":null,"PMCID":null,"EPubDate":"2024/7/16 0:00:00","PubModel":"Epub","JCR":"Q2","JCRName":"GASTROENTEROLOGY & HEPATOLOGY","Score":null,"Total":0}
引用次数: 0

Abstract

Background/aims: The efficacy and safety of tofacitinib for the treatment of refractory ulcerative colitis (UC) has been demonstrated in clinical trials. Although, a series of reports with real-world evidence of its short-term efficacy and safety profiles have already been published, reports of long-term real-world data have been limited. We aimed to show our 3-year evidence on the clinical use of tofacitinib for the treatment of UC, focusing on its efficacy and safety profiles.

Methods: A retrospective observational study was conducted on patients who started tofacitinib for active refractory UC at our hospital. The primary outcome was the retention rate until 156 weeks after initiating tofacitinib. The secondary outcomes were short-term efficacy at 4, 8, and 12 weeks; long-term efficacy at 52, 104, and 156 weeks; prognostic factors related to the cumulative retention rate; loss of response; and safety profile, including adverse events.

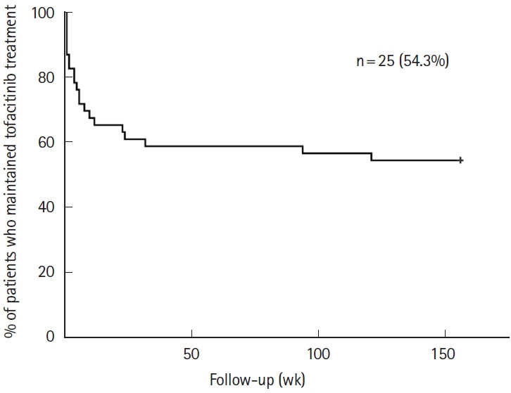
Results: Forty-six patients who were able to be monitored for up to 156 weeks after tofacitinib initiation, were enrolled in this study. Continuation of tofacitinib was possible until 156 weeks in 54.3%, with > 50% response rates and > 40% remission rates. Among patients in whom response or remission was achieved and tofacitinib was deescalated after 8 weeks of induction treatment, 54.3% experienced relapse but were successfully rescued by and retained on reinduction treatment, except for 1 patient. No serious AEs were observed in the study.

Conclusions: Tofacitinib is effective and safe as long-term treatment in a refractory cohort of UC patients in real-world clinical practice.

Abstract Image

Abstract Image

Abstract Image

托法替尼对溃疡性结肠炎患者的长期疗效和安全性:一项真实世界研究的三年结果。
背景/目的:托法替尼治疗难治性溃疡性结肠炎(UC)的有效性和安全性已在临床试验中得到证实。尽管已经发表了一系列有关其短期疗效和安全性的真实世界证据报告,但有关长期真实世界数据的报告却很有限。我们旨在展示临床使用托法替尼治疗 UC 的 3 年证据,重点关注其疗效和安全性:我们对本院开始使用托法替尼治疗活动性难治性 UC 的患者进行了一项回顾性观察研究。主要结果是患者在开始服用托法替尼 156 周后的保留率。次要结果为4周、8周和12周的短期疗效;52周、104周和156周的长期疗效;与累计保留率相关的预后因素;应答丧失;以及包括不良事件在内的安全性概况:46名患者在开始服用托法替尼后接受了长达156周的监测。54.3%的患者可继续服用托法替尼至156周,其中应答率>50%,缓解率>40%。在诱导治疗8周后获得应答或缓解并停用托法替尼的患者中,有54.3%的患者复发,但除1名患者外,其余患者均被成功挽救并继续接受诱导治疗。研究中未观察到严重的不良反应:在实际临床实践中,托法替尼对难治性UC患者群的长期治疗有效且安全。
本文章由计算机程序翻译,如有差异,请以英文原文为准。
求助全文
约1分钟内获得全文 求助全文
来源期刊
Intestinal Research
Intestinal Research GASTROENTEROLOGY & HEPATOLOGY-
CiteScore
7.40
自引率
10.20%
发文量
69
审稿时长
38 weeks
期刊介绍: Intestinal Research (Intest Res) is the joint official publication of the Asian Organization for Crohn''s and Colitis (AOCC), Chinese Society of IBD (CSIBD), Japanese Society for IBD (JSIBD), Korean Association for the Study of Intestinal Diseases (KASID), Taiwan Society of IBD (TSIBD) and Colitis Crohn''s Foundation (India) (CCF, india). The aim of the Journal is to provide broad and in-depth analysis of intestinal diseases, especially inflammatory bowel disease, which shows increasing tendency and significance. As a Journal specialized in clinical and translational research in gastroenterology, it encompasses multiple aspects of diseases originated from the small and large intestines. The Journal also seeks to propagate and exchange useful innovations, both in ideas and in practice, within the research community. As a mode of scholarly communication, it encourages scientific investigation through the rigorous peer-review system and constitutes a qualified and continual platform for sharing studies of researchers and practitioners. Specifically, the Journal presents up-to-date coverage of medical researches on the physiology, epidemiology, pathophysiology, clinical presentations, and therapeutic interventions of the intestinal diseases. General topics of interest include inflammatory bowel disease, colon and small intestine cancer or polyp, endoscopy, irritable bowel syndrome and other motility disorders, infectious enterocolitis, intestinal tuberculosis, and so forth. The Journal publishes diverse types of academic materials such as editorials, clinical and basic reviews, original articles, case reports, letters to the editor, brief communications, perspective, statement or commentary, and images that are useful to clinicians and researchers.
×
引用
GB/T 7714-2015
复制
MLA
复制
APA
复制
导出至
BibTeX EndNote RefMan NoteFirst NoteExpress
×
提示
您的信息不完整,为了账户安全,请先补充。
现在去补充
×
提示
您因"违规操作"
具体请查看互助需知
我知道了
×
提示
确定
请完成安全验证×
copy
已复制链接
快去分享给好友吧!
我知道了
右上角分享
点击右上角分享
0
联系我们:info@booksci.cn Book学术提供免费学术资源搜索服务,方便国内外学者检索中英文文献。致力于提供最便捷和优质的服务体验。 Copyright © 2023 布克学术 All rights reserved.
京ICP备2023020795号-1
ghs 京公网安备 11010802042870号
Book学术文献互助
Book学术文献互助群
群 号:604180095
Book学术官方微信