The effect of the intercellular adhesion molecule-1 and glycated haemoglobin on the management of diabetic neovascular glaucoma.

Olga Volodymyrivna Guzun, Oleg Serhiyovіch Zadorozhnyy, Liudmyla Mykolayivna Velychko, Oleksandra Viktorivna Bogdanova, Lilia Gheorghe Dumbrăveanu, Vitalie Valeriu Cuşnir, Andrii Rostyslavovich Korol
{"title":"The effect of the intercellular adhesion molecule-1 and glycated haemoglobin on the management of diabetic neovascular glaucoma.","authors":"Olga Volodymyrivna Guzun, Oleg Serhiyovіch Zadorozhnyy, Liudmyla Mykolayivna Velychko, Oleksandra Viktorivna Bogdanova, Lilia Gheorghe Dumbrăveanu, Vitalie Valeriu Cuşnir, Andrii Rostyslavovich Korol","doi":"10.22336/rjo.2024.25","DOIUrl":null,"url":null,"abstract":"<p><p><b>Introduction:</b> The study hypothesizes that some patients with diabetic neovascular glaucoma (NVG) do not fully respond to transscleral (TSC) cyclophotocoagulation (CPC) due to significant inflammation and insufficient glucose control. <b>Objective:</b> The study aimed to determine the effect of baseline blood levels of intercellular adhesion molecule-1 (ICAM-1) and glycated haemoglobin (HbA1c) on the management of patients with diabetic NVG by TSC CPC. <b>Methods:</b> This open prospective study included 70 diabetic patients (75 eyes; aged Ме 63.0 years) with painful NVG and 20 healthy individuals (aged Ме 61.5 years) as an immunological control. All patients underwent TSC СPC with a diode laser. Baseline HbA1c levels and ICAM-1 expression in blood samples were determined. Follow-up was 12 months. <b>Results:</b> One month after TSC CPC, IOP decreased by 28% compared to baseline. The effectiveness of laser treatment after 12 months of follow-up was 63% with IOP decrease by 46%. In patients with NVG, the initial level of ICAM-1 was 2.5 times higher than in the control group. Patients who did not fully respond to the first TSC CPC (30 eyes) and required additional laser procedure, had high initial HbA1c (9.5%) and high expression values of the ICAM-1 (609.0 cells/μL). <b>Conclusions:</b> Repeated procedures of TSC CPC at high IOP in diabetic patients with NVG are associated with high initial values of expression of ICAM-1 in peripheral blood and high HbA1c. The strategy of management of patients with diabetic NVG should be aimed at intensive glucose control and local anti-inflammatory treatment. <b>Abbreviations:</b> PDR = proliferative diabetic retinopathy, DR = diabetic retinopathy, NVG = neovascular glaucoma, TSC CPC = transscleral cyclophotocoagulation, ICAM-1 = intercellular adhesion molecule-1, HbA1c = glycated haemoglobin, IOP = intraocular pressure.</p>","PeriodicalId":94355,"journal":{"name":"Romanian journal of ophthalmology","volume":"68 2","pages":"135-142"},"PeriodicalIF":0.0000,"publicationDate":"2024-04-01","publicationTypes":"Journal Article","fieldsOfStudy":null,"isOpenAccess":false,"openAccessPdf":"https://www.ncbi.nlm.nih.gov/pmc/articles/PMC11238871/pdf/","citationCount":"0","resultStr":null,"platform":"Semanticscholar","paperid":null,"PeriodicalName":"Romanian journal of ophthalmology","FirstCategoryId":"1085","ListUrlMain":"https://doi.org/10.22336/rjo.2024.25","RegionNum":0,"RegionCategory":null,"ArticlePicture":[],"TitleCN":null,"AbstractTextCN":null,"PMCID":null,"EPubDate":"","PubModel":"","JCR":"","JCRName":"","Score":null,"Total":0}
引用次数: 0

Abstract

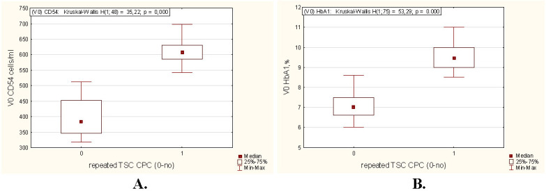
Introduction: The study hypothesizes that some patients with diabetic neovascular glaucoma (NVG) do not fully respond to transscleral (TSC) cyclophotocoagulation (CPC) due to significant inflammation and insufficient glucose control. Objective: The study aimed to determine the effect of baseline blood levels of intercellular adhesion molecule-1 (ICAM-1) and glycated haemoglobin (HbA1c) on the management of patients with diabetic NVG by TSC CPC. Methods: This open prospective study included 70 diabetic patients (75 eyes; aged Ме 63.0 years) with painful NVG and 20 healthy individuals (aged Ме 61.5 years) as an immunological control. All patients underwent TSC СPC with a diode laser. Baseline HbA1c levels and ICAM-1 expression in blood samples were determined. Follow-up was 12 months. Results: One month after TSC CPC, IOP decreased by 28% compared to baseline. The effectiveness of laser treatment after 12 months of follow-up was 63% with IOP decrease by 46%. In patients with NVG, the initial level of ICAM-1 was 2.5 times higher than in the control group. Patients who did not fully respond to the first TSC CPC (30 eyes) and required additional laser procedure, had high initial HbA1c (9.5%) and high expression values of the ICAM-1 (609.0 cells/μL). Conclusions: Repeated procedures of TSC CPC at high IOP in diabetic patients with NVG are associated with high initial values of expression of ICAM-1 in peripheral blood and high HbA1c. The strategy of management of patients with diabetic NVG should be aimed at intensive glucose control and local anti-inflammatory treatment. Abbreviations: PDR = proliferative diabetic retinopathy, DR = diabetic retinopathy, NVG = neovascular glaucoma, TSC CPC = transscleral cyclophotocoagulation, ICAM-1 = intercellular adhesion molecule-1, HbA1c = glycated haemoglobin, IOP = intraocular pressure.

Abstract Image

Abstract Image

Abstract Image

细胞间粘附分子-1 和糖化血红蛋白对糖尿病新生血管性青光眼治疗的影响。
导言:该研究假设,一些糖尿病新生血管性青光眼(NVG)患者由于炎症明显和血糖控制不足,对经巩膜(TSC)环光凝固(CPC)治疗没有完全反应。研究目的该研究旨在确定细胞间粘附分子-1 (ICAM-1) 和糖化血红蛋白 (HbA1c) 的基线血液水平对糖尿病 NVG 患者接受 TSC CPC 治疗的影响。方法:这项开放性前瞻性研究纳入了 70 名患有疼痛性 NVG 的糖尿病患者(75 只眼睛;年龄 Ме 63.0 岁)和 20 名作为免疫学对照的健康人(年龄 Ме 61.5 岁)。所有患者都接受了二极管激光 TSC СPC。测定了基线 HbA1c 水平和血液样本中 ICAM-1 的表达。随访 12 个月。结果:TSC CPC 治疗一个月后,眼压比基线降低了 28%。随访 12 个月后,激光治疗的有效率为 63%,眼压降低了 46%。在 NVG 患者中,ICAM-1 的初始水平是对照组的 2.5 倍。对首次 TSC CPC 治疗没有完全反应的患者(30 眼)需要进行额外的激光治疗,他们的初始 HbA1c 值较高(9.5%),ICAM-1 的表达值也较高(609.0 个细胞/μL)。结论患有 NVG 的糖尿病患者在高眼压下重复进行 TSC CPC 手术与外周血中 ICAM-1 的高初始表达值和高 HbA1c 有关。糖尿病 NVG 患者的治疗策略应以强化血糖控制和局部抗炎治疗为目标。缩写:PDR=增殖性糖尿病视网膜病变,DR=糖尿病视网膜病变,NVG=新生血管性青光眼,TSC CPC=经巩膜环形光凝术,ICAM-1=细胞间粘附分子-1,HbA1c=糖化血红蛋白,IOP=眼压。
本文章由计算机程序翻译,如有差异,请以英文原文为准。
求助全文
约1分钟内获得全文 求助全文
来源期刊
自引率
0.00%
发文量
0
×
引用
GB/T 7714-2015
复制
MLA
复制
APA
复制
导出至
BibTeX EndNote RefMan NoteFirst NoteExpress
×
提示
您的信息不完整,为了账户安全,请先补充。
现在去补充
×
提示
您因"违规操作"
具体请查看互助需知
我知道了
×
提示
确定
请完成安全验证×
copy
已复制链接
快去分享给好友吧!
我知道了
右上角分享
点击右上角分享
0
联系我们:info@booksci.cn Book学术提供免费学术资源搜索服务,方便国内外学者检索中英文文献。致力于提供最便捷和优质的服务体验。 Copyright © 2023 布克学术 All rights reserved.
京ICP备2023020795号-1
ghs 京公网安备 11010802042870号
Book学术文献互助
Book学术文献互助群
群 号:604180095
Book学术官方微信