Did aetiology matter in illness duration and complications in patients presenting in primary care with acute respiratory tract infections early in the COVID-19 pandemic: An observational study in nine countries.

IF 2.5 4区 医学 Q2 MEDICINE, GENERAL & INTERNAL
European Journal of General Practice Pub Date : 2024-12-01 Epub Date: 2024-07-12 DOI:10.1080/13814788.2024.2376084
Roderick P Venekamp, Marinus J C Eijkemans, Nicolaas P A Zuithoff, Femke Böhmer, Slawomir Chlabicz, Annelies Colliers, Ana García-Sangenís, Lile Malania, Jozsef Pauer, Angela Tomacinschii, Theo J Verheij, Herman Goossens, Akke Vellinga, Christopher C Butler, Alike W van der Velden
{"title":"Did aetiology matter in illness duration and complications in patients presenting in primary care with acute respiratory tract infections early in the COVID-19 pandemic: An observational study in nine countries.","authors":"Roderick P Venekamp, Marinus J C Eijkemans, Nicolaas P A Zuithoff, Femke Böhmer, Slawomir Chlabicz, Annelies Colliers, Ana García-Sangenís, Lile Malania, Jozsef Pauer, Angela Tomacinschii, Theo J Verheij, Herman Goossens, Akke Vellinga, Christopher C Butler, Alike W van der Velden","doi":"10.1080/13814788.2024.2376084","DOIUrl":null,"url":null,"abstract":"<p><strong>Background: </strong>Despite considerable research into COVID-19 sequelae, little is known about differences in illness duration and complications in patients presenting in primary care with symptoms of acute respiratory tract infections (RTI) that are and are not attributed to SARS-CoV-2 infection.</p><p><strong>Objective: </strong>To explore whether aetiology impacted course of illness and prediction of complications in patients presenting in primary care with symptoms of RTI early in the COVID-19 pandemic.</p><p><strong>Methods: </strong>Between April 2020-March 2021 general practitioners from nine European countries recruited consecutively contacting patients with RTI symptoms. At baseline, an oropharyngeal-nasal swab was obtained for aetiology determination using PCR after follow-up of 28 days. Time to self-reported recovery was analysed with Kaplan-Meier curves. Predictors (baseline variables of demographics, patient and disease characteristics) of a complicated course (composite of hospital admission and persisting signs/symptoms at 28 days follow-up) were explored with logistic regression modelling.</p><p><strong>Results: </strong>Of 855 patients with RTI symptoms, 237 (27.7%) tested SARS-CoV-2 positive. The proportion not feeling fully recovered (15.6% vs 18.1%, <i>p</i> = 0.39), reporting being extremely tired (9.7% vs 12.8%, <i>p</i> = 0.21), and not having returned to usual daily activities (18.1% vs 14.4%, <i>p</i> = 0.18) at day 28 were comparable between SARS-CoV-2 positive (<i>n</i> = 237) and negative (<i>n</i> = 618) groups. However, among those feeling fully recovered (SARS-CoV-2 positive: 200 patients, SARS-CoV-2 negative: 506 patients), time to full recovery was significantly longer in SARS-CoV-2 patients (10.6 vs 7.7 days, <i>p</i> < 0.001). We found no evidence that predictors of a complicated course differed between groups (<i>p</i> = 0.07).</p><p><strong>Conclusion: </strong>Early in the pandemic, the proportion of patients not feeling fully recovered by 28 days was similar between SARS-CoV-2 positive and negative patients presenting in primary care with RTI symptoms, but it took somewhat longer for SARS-CoV-2 patients to feel fully recovered. More research is needed on predictors of a complicated course in RTI.</p>","PeriodicalId":54380,"journal":{"name":"European Journal of General Practice","volume":"30 1","pages":"2376084"},"PeriodicalIF":2.5000,"publicationDate":"2024-12-01","publicationTypes":"Journal Article","fieldsOfStudy":null,"isOpenAccess":false,"openAccessPdf":"https://www.ncbi.nlm.nih.gov/pmc/articles/PMC11249142/pdf/","citationCount":"0","resultStr":null,"platform":"Semanticscholar","paperid":null,"PeriodicalName":"European Journal of General Practice","FirstCategoryId":"3","ListUrlMain":"https://doi.org/10.1080/13814788.2024.2376084","RegionNum":4,"RegionCategory":"医学","ArticlePicture":[],"TitleCN":null,"AbstractTextCN":null,"PMCID":null,"EPubDate":"2024/7/12 0:00:00","PubModel":"Epub","JCR":"Q2","JCRName":"MEDICINE, GENERAL & INTERNAL","Score":null,"Total":0}
引用次数: 0

Abstract

Background: Despite considerable research into COVID-19 sequelae, little is known about differences in illness duration and complications in patients presenting in primary care with symptoms of acute respiratory tract infections (RTI) that are and are not attributed to SARS-CoV-2 infection.

Objective: To explore whether aetiology impacted course of illness and prediction of complications in patients presenting in primary care with symptoms of RTI early in the COVID-19 pandemic.

Methods: Between April 2020-March 2021 general practitioners from nine European countries recruited consecutively contacting patients with RTI symptoms. At baseline, an oropharyngeal-nasal swab was obtained for aetiology determination using PCR after follow-up of 28 days. Time to self-reported recovery was analysed with Kaplan-Meier curves. Predictors (baseline variables of demographics, patient and disease characteristics) of a complicated course (composite of hospital admission and persisting signs/symptoms at 28 days follow-up) were explored with logistic regression modelling.

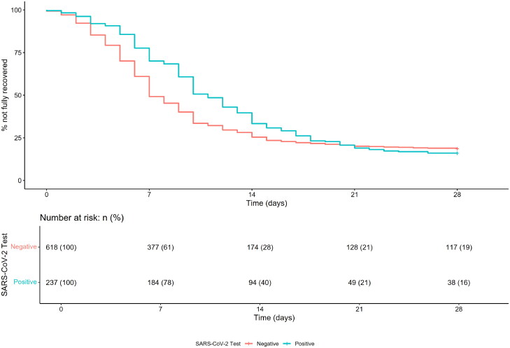
Results: Of 855 patients with RTI symptoms, 237 (27.7%) tested SARS-CoV-2 positive. The proportion not feeling fully recovered (15.6% vs 18.1%, p = 0.39), reporting being extremely tired (9.7% vs 12.8%, p = 0.21), and not having returned to usual daily activities (18.1% vs 14.4%, p = 0.18) at day 28 were comparable between SARS-CoV-2 positive (n = 237) and negative (n = 618) groups. However, among those feeling fully recovered (SARS-CoV-2 positive: 200 patients, SARS-CoV-2 negative: 506 patients), time to full recovery was significantly longer in SARS-CoV-2 patients (10.6 vs 7.7 days, p < 0.001). We found no evidence that predictors of a complicated course differed between groups (p = 0.07).

Conclusion: Early in the pandemic, the proportion of patients not feeling fully recovered by 28 days was similar between SARS-CoV-2 positive and negative patients presenting in primary care with RTI symptoms, but it took somewhat longer for SARS-CoV-2 patients to feel fully recovered. More research is needed on predictors of a complicated course in RTI.

Abstract Image

Abstract Image

在 COVID-19 大流行早期,在初级医疗机构就诊的急性呼吸道感染患者的病程和并发症是否与病因有关:九个国家的观察研究。
背景:尽管对COVID-19后遗症进行了大量研究,但人们对初级医疗机构中出现急性呼吸道感染(RTI)症状的患者与非SARS-CoV-2感染引起的患者在病程和并发症方面的差异知之甚少:目的:探讨在 COVID-19 大流行早期,病原学是否会影响初级医疗机构中出现 RTI 症状的患者的病程和并发症预测:2020年4月至2021年3月期间,来自9个欧洲国家的全科医生连续招募有RTI症状的患者。在基线时,采集口咽-鼻拭子,在随访 28 天后使用 PCR 进行病原学鉴定。用 Kaplan-Meier 曲线分析了自述康复的时间。利用逻辑回归模型探讨了复杂病程(入院和随访 28 天时症状持续存在的综合结果)的预测因素(人口统计学、患者和疾病特征的基线变量):在 855 名出现 RTI 症状的患者中,有 237 人(27.7%)的 SARS-CoV-2 检测结果呈阳性。SARS-CoV-2 阳性组(n = 237)和阴性组(n = 618)在第 28 天时感觉未完全康复(15.6% vs 18.1%,p = 0.39)、极度疲倦(9.7% vs 12.8%,p = 0.21)和未恢复日常活动(18.1% vs 14.4%,p = 0.18)的比例相当。然而,在感觉完全康复的患者中(SARS-CoV-2 阳性:200 名患者,SARS-CoV-2 阴性:506 名患者),SARS-CoV-2 患者完全康复的时间明显更长(10.6 天 vs 7.7 天,P = 0.07):结论:在疫情早期,SARS-CoV-2 阳性和阴性患者在 28 天内未完全康复的比例相似,但 SARS-CoV-2 患者完全康复的时间稍长。需要对 RTI 病程复杂的预测因素进行更多的研究。
本文章由计算机程序翻译,如有差异,请以英文原文为准。
求助全文
约1分钟内获得全文 求助全文
来源期刊
European Journal of General Practice
European Journal of General Practice PRIMARY HEALTH CARE-MEDICINE, GENERAL & INTERNAL
CiteScore
5.10
自引率
5.90%
发文量
31
审稿时长
>12 weeks
期刊介绍: The EJGP aims to: foster scientific research in primary care medicine (family medicine, general practice) in Europe stimulate education and debate, relevant for the development of primary care medicine in Europe. Scope The EJGP publishes original research papers, review articles and clinical case reports on all aspects of primary care medicine (family medicine, general practice), providing new knowledge on medical decision-making, healthcare delivery, medical education, and research methodology. Areas covered include primary care epidemiology, prevention, diagnosis, pharmacotherapy, non-drug interventions, multi- and comorbidity, palliative care, shared decision making, inter-professional collaboration, quality and safety, training and teaching, and quantitative and qualitative research methods.
×
引用
GB/T 7714-2015
复制
MLA
复制
APA
复制
导出至
BibTeX EndNote RefMan NoteFirst NoteExpress
×
提示
您的信息不完整,为了账户安全,请先补充。
现在去补充
×
提示
您因"违规操作"
具体请查看互助需知
我知道了
×
提示
确定
请完成安全验证×
copy
已复制链接
快去分享给好友吧!
我知道了
右上角分享
点击右上角分享
0
联系我们:info@booksci.cn Book学术提供免费学术资源搜索服务,方便国内外学者检索中英文文献。致力于提供最便捷和优质的服务体验。 Copyright © 2023 布克学术 All rights reserved.
京ICP备2023020795号-1
ghs 京公网安备 11010802042870号
Book学术文献互助
Book学术文献互助群
群 号:604180095
Book学术官方微信