Identification and selection of reference genes for analysis of gene expression by quantitative real-time PCR in the euhalophyte Suaeda altissima (L.) Pall.

Q2 Agricultural and Biological Sciences
Communicative and Integrative Biology Pub Date : 2024-07-08 eCollection Date: 2024-01-01 DOI:10.1080/19420889.2024.2372313
Dmitrii E Khramov, Olga I Nedelyaeva, Alena O Konoshenkova, Vadim S Volkov, Yurii V Balnokin
{"title":"Identification and selection of reference genes for analysis of gene expression by quantitative real-time PCR in the euhalophyte <i>Suaeda altissima</i> (L.) Pall.","authors":"Dmitrii E Khramov, Olga I Nedelyaeva, Alena O Konoshenkova, Vadim S Volkov, Yurii V Balnokin","doi":"10.1080/19420889.2024.2372313","DOIUrl":null,"url":null,"abstract":"<p><p>Сoding sequences of seven housekeeping genes: actin <i>SaACT7</i>, ubiquitin-conjugating protein <i>SaUBC10</i>, glyceraldehyde-3-phosphate dehydrogenase <i>SaGAPDH</i>, protein of the large subunit of ribosomes <i>SaL2</i>, α-tubulin <i>SaTUA</i>, translation elongation factor <i>SaeEF1α</i>, and protein phosphatase <i>SaPP2A</i> were identified as candidate reference genes for expression analysis of target genes in the extremely salt tolerant plant <i>Suaeda altissima</i> (L.) Pall. The expression profiles of the genes differed. <i>SaACT7</i> and <i>SaeEF1α</i> demonstrated the highest expression levels, while the lowest expression levels were found for <i>SaPP2A</i> and <i>SaTUA</i>. <i>SaPP2A</i> and <i>SaeEF1α</i> genes were the most stably expressed at different steady-state salinity levels and different nitrate concentrations in nutrient solutions (NSs). <i>SaL2</i>, <i>SaPP2A</i>, and <i>SaeEF1α</i> genes showed the greatest stability of expression when nitrate was added to nutrient solution of plants grown under conditions of nitrate deficiency. Less constant expression was demonstrated in this experiment by <i>SaACT7</i> and <i>SaTUA</i>. <i>SaL2, SaACT7, SaeEF1α</i>, and <i>SaUBC10</i> genes showed the smallest expression changes under salt shock. To validate the use of the most stably expressed genes for normalization of gene expression, we checked them as reference genes to study the expression of the nitrate transporter gene <i>SaNPF6.3</i> in <i>S. altissima</i> roots under conditions of different salinity and different nitrate supply.</p>","PeriodicalId":39647,"journal":{"name":"Communicative and Integrative Biology","volume":"17 1","pages":"2372313"},"PeriodicalIF":0.0000,"publicationDate":"2024-07-08","publicationTypes":"Journal Article","fieldsOfStudy":null,"isOpenAccess":false,"openAccessPdf":"https://www.ncbi.nlm.nih.gov/pmc/articles/PMC11236294/pdf/","citationCount":"0","resultStr":null,"platform":"Semanticscholar","paperid":null,"PeriodicalName":"Communicative and Integrative Biology","FirstCategoryId":"1085","ListUrlMain":"https://doi.org/10.1080/19420889.2024.2372313","RegionNum":0,"RegionCategory":null,"ArticlePicture":[],"TitleCN":null,"AbstractTextCN":null,"PMCID":null,"EPubDate":"2024/1/1 0:00:00","PubModel":"eCollection","JCR":"Q2","JCRName":"Agricultural and Biological Sciences","Score":null,"Total":0}
引用次数: 0

Abstract

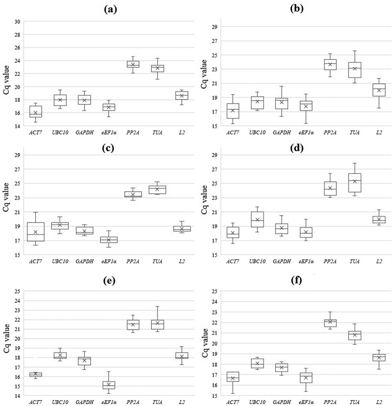
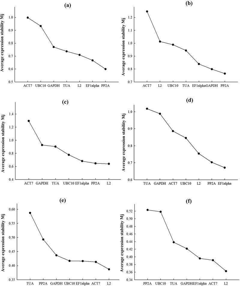
Сoding sequences of seven housekeeping genes: actin SaACT7, ubiquitin-conjugating protein SaUBC10, glyceraldehyde-3-phosphate dehydrogenase SaGAPDH, protein of the large subunit of ribosomes SaL2, α-tubulin SaTUA, translation elongation factor SaeEF1α, and protein phosphatase SaPP2A were identified as candidate reference genes for expression analysis of target genes in the extremely salt tolerant plant Suaeda altissima (L.) Pall. The expression profiles of the genes differed. SaACT7 and SaeEF1α demonstrated the highest expression levels, while the lowest expression levels were found for SaPP2A and SaTUA. SaPP2A and SaeEF1α genes were the most stably expressed at different steady-state salinity levels and different nitrate concentrations in nutrient solutions (NSs). SaL2, SaPP2A, and SaeEF1α genes showed the greatest stability of expression when nitrate was added to nutrient solution of plants grown under conditions of nitrate deficiency. Less constant expression was demonstrated in this experiment by SaACT7 and SaTUA. SaL2, SaACT7, SaeEF1α, and SaUBC10 genes showed the smallest expression changes under salt shock. To validate the use of the most stably expressed genes for normalization of gene expression, we checked them as reference genes to study the expression of the nitrate transporter gene SaNPF6.3 in S. altissima roots under conditions of different salinity and different nitrate supply.

Abstract Image

Abstract Image

Abstract Image

鉴定和选择参考基因,用于通过实时定量 PCR 分析海藻 Suaeda altissima (L.) Pall.
确定了七个看家基因的编码序列:肌动蛋白 SaACT7、泛素结合蛋白 SaUBC10、甘油醛-3-磷酸脱氢酶 SaGAPDH、核糖体大亚基蛋白 SaL2、α-微管蛋白 SaTUA、翻译延伸因子 SaeEF1α 和蛋白磷酸酶 SaPP2A,作为候选参考基因,用于分析极耐盐植物 Suaeda altissima (L.) Pall.中靶基因的表达。) Pall.这些基因的表达谱各不相同。SaACT7 和 SaeEF1α 的表达水平最高,而 SaPP2A 和 SaTUA 的表达水平最低。SaPP2A和SaeEF1α基因在不同稳态盐度水平和营养液(NSs)中不同硝酸盐浓度下的表达最为稳定。在硝酸盐缺乏条件下生长的植物的营养液中加入硝酸盐时,SaL2、SaPP2A 和 SaeEF1α 基因的表达最为稳定。在本实验中,SaACT7 和 SaTUA 的表达不太稳定。在盐休克条件下,SaL2、SaACT7、SaeEF1α 和 SaUBC10 基因的表达变化最小。为了验证使用表达最稳定的基因对基因表达进行归一化,我们将它们作为参考基因,研究了不同盐度和不同硝酸盐供应条件下 S. altissima 根中硝酸盐转运体基因 SaNPF6.3 的表达情况。
本文章由计算机程序翻译,如有差异,请以英文原文为准。
求助全文
约1分钟内获得全文 求助全文
来源期刊
Communicative and Integrative Biology
Communicative and Integrative Biology Agricultural and Biological Sciences-Agricultural and Biological Sciences (all)
CiteScore
3.50
自引率
0.00%
发文量
22
审稿时长
6 weeks
×
引用
GB/T 7714-2015
复制
MLA
复制
APA
复制
导出至
BibTeX EndNote RefMan NoteFirst NoteExpress
×
提示
您的信息不完整,为了账户安全,请先补充。
现在去补充
×
提示
您因"违规操作"
具体请查看互助需知
我知道了
×
提示
确定
请完成安全验证×
copy
已复制链接
快去分享给好友吧!
我知道了
右上角分享
点击右上角分享
0
联系我们:info@booksci.cn Book学术提供免费学术资源搜索服务,方便国内外学者检索中英文文献。致力于提供最便捷和优质的服务体验。 Copyright © 2023 布克学术 All rights reserved.
京ICP备2023020795号-1
ghs 京公网安备 11010802042870号
Book学术文献互助
Book学术文献互助群
群 号:604180095
Book学术官方微信