Influence of Critical Shoulder Angle and Rotator Cuff Tear Type on Load-Induced Glenohumeral Biomechanics: A Sawbone Simulator Study.

IF 0.6 4区 计算机科学 Q3 ENGINEERING, BIOMEDICAL
Applied Bionics and Biomechanics Pub Date : 2024-07-02 eCollection Date: 2024-01-01 DOI:10.1155/2024/4624007
Jeremy Genter, Eleonora Croci, Andreas M Müller, Annegret Mündermann, Daniel Baumgartner
{"title":"Influence of Critical Shoulder Angle and Rotator Cuff Tear Type on Load-Induced Glenohumeral Biomechanics: A Sawbone Simulator Study.","authors":"Jeremy Genter, Eleonora Croci, Andreas M Müller, Annegret Mündermann, Daniel Baumgartner","doi":"10.1155/2024/4624007","DOIUrl":null,"url":null,"abstract":"<p><p>Glenohumeral (GH) biomechanics after rotator cuff (RC) tears are not fully understood. The purpose of our study was to determine if the critical shoulder angle (CSA), type of RC tears, and level of weight bearing increase GH translation, instability based on the instability ratio, muscle forces and joint reaction force (JRF), and shifts the center of force (CoF) superiorly. A GH simulator with muscle-mimicking cable systems was used to simulate 30° abduction in the scapular plane. A Sawbone humerus and five specimen-specific scapular anthropometries were used to test six types of RC tears, three weight-bearing loads, and the native and adjusted (to different CSAs) deltoid origin sites. Linear mixed effects models (CSA, RC tear type, and weight bearing) with random effects (specimen and sex) were used to assess differences in GH biomechanics. With increasing CSA, GH translation increased, JRF decreased, and the CoF position was more inferior. RC tears did not significantly alter GH translation but shifted the CoF position superiorly, close to where glenoid erosion occurs in patients with RC tears with secondary osteoarthritis. Weight bearing significantly increased GH translation and JRF. RC and deltoid muscle forces increased with the presence of RC tears and increased weight bearing. The remaining RC muscles of intact tendons compensated for the torn RC tendons but not for the altered CoF position. GH translation remained comparable to shoulders with intact RC. These findings highlight the importance of early detection, clinical management, and targeted rehabilitation strategies for patients with RC tears.</p>","PeriodicalId":8029,"journal":{"name":"Applied Bionics and Biomechanics","volume":"2024 ","pages":"4624007"},"PeriodicalIF":0.6000,"publicationDate":"2024-07-02","publicationTypes":"Journal Article","fieldsOfStudy":null,"isOpenAccess":false,"openAccessPdf":"https://www.ncbi.nlm.nih.gov/pmc/articles/PMC11233187/pdf/","citationCount":"0","resultStr":null,"platform":"Semanticscholar","paperid":null,"PeriodicalName":"Applied Bionics and Biomechanics","FirstCategoryId":"94","ListUrlMain":"https://doi.org/10.1155/2024/4624007","RegionNum":4,"RegionCategory":"计算机科学","ArticlePicture":[],"TitleCN":null,"AbstractTextCN":null,"PMCID":null,"EPubDate":"2024/1/1 0:00:00","PubModel":"eCollection","JCR":"Q3","JCRName":"ENGINEERING, BIOMEDICAL","Score":null,"Total":0}
引用次数: 0

Abstract

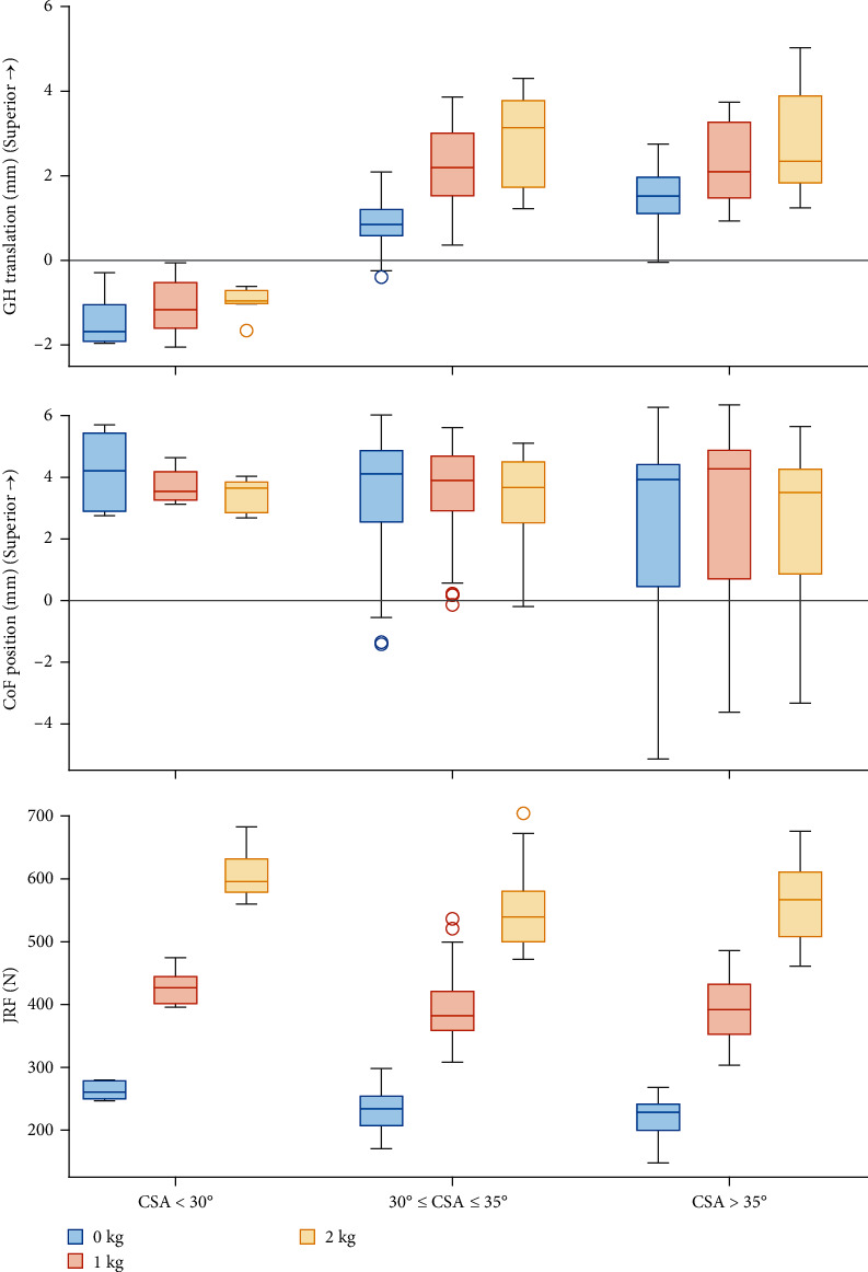
Glenohumeral (GH) biomechanics after rotator cuff (RC) tears are not fully understood. The purpose of our study was to determine if the critical shoulder angle (CSA), type of RC tears, and level of weight bearing increase GH translation, instability based on the instability ratio, muscle forces and joint reaction force (JRF), and shifts the center of force (CoF) superiorly. A GH simulator with muscle-mimicking cable systems was used to simulate 30° abduction in the scapular plane. A Sawbone humerus and five specimen-specific scapular anthropometries were used to test six types of RC tears, three weight-bearing loads, and the native and adjusted (to different CSAs) deltoid origin sites. Linear mixed effects models (CSA, RC tear type, and weight bearing) with random effects (specimen and sex) were used to assess differences in GH biomechanics. With increasing CSA, GH translation increased, JRF decreased, and the CoF position was more inferior. RC tears did not significantly alter GH translation but shifted the CoF position superiorly, close to where glenoid erosion occurs in patients with RC tears with secondary osteoarthritis. Weight bearing significantly increased GH translation and JRF. RC and deltoid muscle forces increased with the presence of RC tears and increased weight bearing. The remaining RC muscles of intact tendons compensated for the torn RC tendons but not for the altered CoF position. GH translation remained comparable to shoulders with intact RC. These findings highlight the importance of early detection, clinical management, and targeted rehabilitation strategies for patients with RC tears.

Abstract Image

Abstract Image

Abstract Image

临界肩角和肩袖撕裂类型对负荷诱导盂肱生物力学的影响:锯骨模拟器研究
肩袖(RC)撕裂后的盂肱关节(GH)生物力学尚不完全清楚。我们的研究旨在确定临界肩角 (CSA)、RC 撕裂的类型和负重水平是否会增加 GH 平移、基于不稳定比值的不稳定性、肌肉力和关节反作用力 (JRF),以及力中心 (CoF) 是否向上方移动。使用带有肌肉模拟索系统的 GH 模拟器模拟肩胛平面内收 30°。使用锯骨肱骨和五种特定的肩胛骨人体测量法来测试六种类型的RC撕裂、三种负重负荷以及原生和调整后(不同CSA)三角肌起源部位。线性混合效应模型(CSA、RC撕裂类型和负重)与随机效应(标本和性别)被用来评估GH生物力学的差异。随着CSA的增加,GH平移增加,JRF减少,CoF位置更低。RC撕裂没有明显改变GH平移,但使CoF位置上移,接近继发性骨关节炎的RC撕裂患者发生盂骨侵蚀的位置。负重明显增加了GH平移和JRF。RC和三角肌的力量随着RC撕裂的存在和负重的增加而增加。肌腱完好的其余 RC 肌肉可补偿撕裂的 RC 肌腱,但不能补偿改变的 CoF 位置。GH平移仍与RC完好的肩部相当。这些发现强调了早期检测、临床管理和有针对性的康复策略对 RC 撕裂患者的重要性。
本文章由计算机程序翻译,如有差异,请以英文原文为准。
求助全文
约1分钟内获得全文 求助全文
来源期刊
Applied Bionics and Biomechanics
Applied Bionics and Biomechanics ENGINEERING, BIOMEDICAL-ROBOTICS
自引率
4.50%
发文量
338
审稿时长
>12 weeks
期刊介绍: Applied Bionics and Biomechanics publishes papers that seek to understand the mechanics of biological systems, or that use the functions of living organisms as inspiration for the design new devices. Such systems may be used as artificial replacements, or aids, for their original biological purpose, or be used in a different setting altogether.
×
引用
GB/T 7714-2015
复制
MLA
复制
APA
复制
导出至
BibTeX EndNote RefMan NoteFirst NoteExpress
×
提示
您的信息不完整,为了账户安全,请先补充。
现在去补充
×
提示
您因"违规操作"
具体请查看互助需知
我知道了
×
提示
确定
请完成安全验证×
copy
已复制链接
快去分享给好友吧!
我知道了
右上角分享
点击右上角分享
0
联系我们:info@booksci.cn Book学术提供免费学术资源搜索服务,方便国内外学者检索中英文文献。致力于提供最便捷和优质的服务体验。 Copyright © 2023 布克学术 All rights reserved.
京ICP备2023020795号-1
ghs 京公网安备 11010802042870号
Book学术文献互助
Book学术文献互助群
群 号:604180095
Book学术官方微信