Effects of Nitrate and Nitrite on Plaque pH Decrease and Nitrite-Producing and -Degrading Activities of Plaque in vitro.

IF 2.6 2区 医学 Q1 DENTISTRY, ORAL SURGERY & MEDICINE
Caries Research Pub Date : 2024-01-01 Epub Date: 2024-07-17 DOI:10.1159/000540017
Yuji Yamamoto, Jumpei Washio, Koichi Shimizu, Nobuhiro Takahashi
{"title":"Effects of Nitrate and Nitrite on Plaque pH Decrease and Nitrite-Producing and -Degrading Activities of Plaque in vitro.","authors":"Yuji Yamamoto, Jumpei Washio, Koichi Shimizu, Nobuhiro Takahashi","doi":"10.1159/000540017","DOIUrl":null,"url":null,"abstract":"<p><strong>Introduction: </strong>The purpose of this study was to investigate the effects of nitrate and nitrite on the pH-lowering activity of human plaque, the nitrite-producing and -degrading activities of human plaque, and their correlation.</p><p><strong>Methods: </strong>Nitrate and nitrite were added to human plaque suspensions collected from the buccal aspect of maxillary molars of patients visiting a general dental clinic, and changes in pH were measured with and without glucose addition. Nitrite-producing and -degrading activities were evaluated by adding nitrate and nitrite to the plaque suspension and measuring the increase and decrease in nitrite with Griess reagent, respectively.</p><p><strong>Results: </strong>The addition of nitrate inhibited both endogenous and glucose-induced plaque pH-lowering. The addition of glucose enhanced the production of nitrite from nitrate by about 3.3-fold. The addition of nitrite also inhibited endogenous plaque pH-lowering, but the addition of glucose promoted nitrite degradation by only about 1.1-fold. Nitrite-producing activity was positively correlated with age, but not with nitrite-degrading activity.</p><p><strong>Conclusion: </strong>This study revealed that nitrite was produced from nitrate and inhibited the pH-lowering activity of human plaque, which may contribute to caries control. Both nitrite-producing and -degrading activities occurred in human plaque, but no correlation was found between them. Furthermore, nitrite production was enhanced by glucose metabolism, which may function as a self-regulatory mechanism (resilience) to prevent excessive acidification by glucose metabolism.</p>","PeriodicalId":9620,"journal":{"name":"Caries Research","volume":" ","pages":"552-561"},"PeriodicalIF":2.6000,"publicationDate":"2024-01-01","publicationTypes":"Journal Article","fieldsOfStudy":null,"isOpenAccess":false,"openAccessPdf":"https://www.ncbi.nlm.nih.gov/pmc/articles/PMC11651232/pdf/","citationCount":"0","resultStr":null,"platform":"Semanticscholar","paperid":null,"PeriodicalName":"Caries Research","FirstCategoryId":"3","ListUrlMain":"https://doi.org/10.1159/000540017","RegionNum":2,"RegionCategory":"医学","ArticlePicture":[],"TitleCN":null,"AbstractTextCN":null,"PMCID":null,"EPubDate":"2024/7/17 0:00:00","PubModel":"Epub","JCR":"Q1","JCRName":"DENTISTRY, ORAL SURGERY & MEDICINE","Score":null,"Total":0}
引用次数: 0

Abstract

Introduction: The purpose of this study was to investigate the effects of nitrate and nitrite on the pH-lowering activity of human plaque, the nitrite-producing and -degrading activities of human plaque, and their correlation.

Methods: Nitrate and nitrite were added to human plaque suspensions collected from the buccal aspect of maxillary molars of patients visiting a general dental clinic, and changes in pH were measured with and without glucose addition. Nitrite-producing and -degrading activities were evaluated by adding nitrate and nitrite to the plaque suspension and measuring the increase and decrease in nitrite with Griess reagent, respectively.

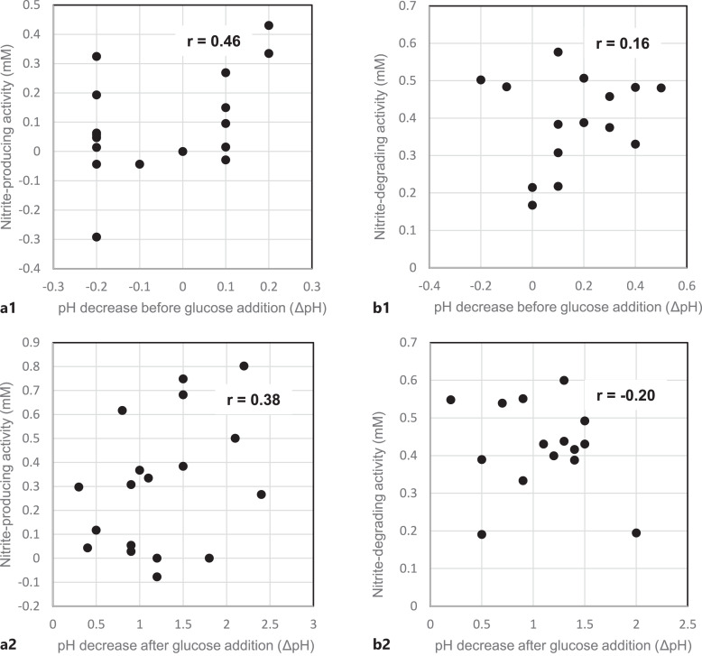
Results: The addition of nitrate inhibited both endogenous and glucose-induced plaque pH-lowering. The addition of glucose enhanced the production of nitrite from nitrate by about 3.3-fold. The addition of nitrite also inhibited endogenous plaque pH-lowering, but the addition of glucose promoted nitrite degradation by only about 1.1-fold. Nitrite-producing activity was positively correlated with age, but not with nitrite-degrading activity.

Conclusion: This study revealed that nitrite was produced from nitrate and inhibited the pH-lowering activity of human plaque, which may contribute to caries control. Both nitrite-producing and -degrading activities occurred in human plaque, but no correlation was found between them. Furthermore, nitrite production was enhanced by glucose metabolism, which may function as a self-regulatory mechanism (resilience) to prevent excessive acidification by glucose metabolism.

Abstract Image

Abstract Image

Abstract Image

硝酸盐和亚硝酸盐对牙菌斑 pH 值下降以及牙菌斑体外亚硝酸盐生成和降解活性的影响。
导言:本研究旨在探讨硝酸盐和亚硝酸盐对人体牙菌斑pH值降低活性、人体牙菌斑亚硝酸盐产生和降解活性的影响及其相关性:方法:将硝酸盐和亚硝酸盐添加到从普通牙科诊所就诊的上颌臼齿颊面采集的人体牙菌斑悬浮液中,并测量添加和不添加葡萄糖时的 pH 值变化。通过向牙菌斑悬浮液中添加硝酸盐和亚硝酸盐,并用格里斯试剂分别测量亚硝酸盐的增加量和减少量,来评估亚硝酸盐的产生和降解活性:结果:添加硝酸盐可抑制内源性和葡萄糖诱导的斑块 pH 值降低。加入葡萄糖可使硝酸盐产生的亚硝酸盐增加约 3.3 倍。添加亚硝酸盐也能抑制内源性斑块pH值降低,但添加葡萄糖仅能促进亚硝酸盐降解约1.1倍。亚硝酸盐产生活性与年龄呈正相关,但与亚硝酸盐降解活性无关:这项研究表明,亚硝酸盐由硝酸盐产生,并抑制人体牙菌斑的pH值降低活性,这可能有助于控制龋齿。人体牙菌斑中既存在亚硝酸盐生成活性,也存在亚硝酸盐降解活性,但两者之间并不相关。此外,葡萄糖代谢会促进亚硝酸盐的产生,这可能是一种自我调节机制(恢复力),以防止葡萄糖代谢过度酸化。
本文章由计算机程序翻译,如有差异,请以英文原文为准。
求助全文
约1分钟内获得全文 求助全文
来源期刊
Caries Research
Caries Research 医学-牙科与口腔外科
CiteScore
6.30
自引率
7.10%
发文量
34
审稿时长
6-12 weeks
期刊介绍: ''Caries Research'' publishes epidemiological, clinical and laboratory studies in dental caries, erosion and related dental diseases. Some studies build on the considerable advances already made in caries prevention, e.g. through fluoride application. Some aim to improve understanding of the increasingly important problem of dental erosion and the associated tooth wear process. Others monitor the changing pattern of caries in different populations, explore improved methods of diagnosis or evaluate methods of prevention or treatment. The broad coverage of current research has given the journal an international reputation as an indispensable source for both basic scientists and clinicians engaged in understanding, investigating and preventing dental disease.
×
引用
GB/T 7714-2015
复制
MLA
复制
APA
复制
导出至
BibTeX EndNote RefMan NoteFirst NoteExpress
×
提示
您的信息不完整,为了账户安全,请先补充。
现在去补充
×
提示
您因"违规操作"
具体请查看互助需知
我知道了
×
提示
确定
请完成安全验证×
copy
已复制链接
快去分享给好友吧!
我知道了
右上角分享
点击右上角分享
0
联系我们:info@booksci.cn Book学术提供免费学术资源搜索服务,方便国内外学者检索中英文文献。致力于提供最便捷和优质的服务体验。 Copyright © 2023 布克学术 All rights reserved.
京ICP备2023020795号-1
ghs 京公网安备 11010802042870号
Book学术文献互助
Book学术文献互助群
群 号:604180095
Book学术官方微信