Functional Dependency as a Marker for Positive SARC-F Screen among Older Persons at the Emergency Department.

IF 3.2 Q3 GERIATRICS & GERONTOLOGY
Annals of Geriatric Medicine and Research Pub Date : 2024-12-01 Epub Date: 2024-07-02 DOI:10.4235/agmr.24.0091
Edward Chong, Eileen Fabia Goh, Wee Shiong Lim
{"title":"Functional Dependency as a Marker for Positive SARC-F Screen among Older Persons at the Emergency Department.","authors":"Edward Chong, Eileen Fabia Goh, Wee Shiong Lim","doi":"10.4235/agmr.24.0091","DOIUrl":null,"url":null,"abstract":"<p><strong>Background: </strong>Functional dependency may serve as a marker for positive SARC-F screen (Strength, Assistance with walking, Rise from a chair, Climb stairs and Falls) among older adults at the Emergency Department (ED). We compared functional dependency between SARC-F- (&lt;4) and SARC-F+ (≥4) groups at the ED.</p><p><strong>Methods: </strong>A secondary analysis of cohorts from two quasi-experimental studies among patients aged ≥65 years old presenting to the ED of a 1,700-bed tertiary hospital. We compared both groups for baseline characteristics using univariate analyses, and performed multiple linear regression to examine the association between Modified Barthel Index (MBI) and Lawton's instrumental activities of daily living (IADL) against SARC-F, and binary logistic regression to examine the associations between individual ADL domains and SARC-F+. We compared the area under receiver operating characteristic curves (AUC) to detect SARC-F+ for MBI, IADL, frailty, age, cognition and comorbidity.</p><p><strong>Results: </strong>SARC-F+ patients were older (86.4±7.6 years), predominantly female (71.5%) and frail (73.9%), more dependent on walking aids (77.2%), and had lower premorbid MBI (median 90.0 [interquartile range 71.0-98.0]) and IADL (4.0 [2.0-5.0]) (both p&lt;0.001). MBI (β=-0.07, 95% confidence interval [CI] -0.086 to -0.055) and IADL (β=-0.533, 95% CI -0.684 to -0.381) were significantly associated with SARC-F. Dependency in finances (odds ratio [OR]=14.7, 95% CI 3.57-60.2, p&lt;0.001), feeding (OR=12.4, 95% CI 1.45-106, p=0.022), and stair-climbing (OR=10.49, 95% CI 4.96-22.2, p&lt;0.001) were the top three functional items associated with SARC-F. MBI (AUC=0.82, 95% CI 0.77-0.84) and IADL (AUC=0.78, 95% CI 0.72-0.84) showed superior discrimination for SARC-F+ compared to other measures (AUC=0.58-0.70).</p><p><strong>Conclusion: </strong>Functional dependency is strongly associated with positive SARC-F screen among older adults at the ED. This highlights the need for increased vigilance, especially in the presence of dependency in relevant domains such as managing finances, feeding, and stair-climbing.</p>","PeriodicalId":44729,"journal":{"name":"Annals of Geriatric Medicine and Research","volume":" ","pages":"401-409"},"PeriodicalIF":3.2000,"publicationDate":"2024-12-01","publicationTypes":"Journal Article","fieldsOfStudy":null,"isOpenAccess":false,"openAccessPdf":"https://www.ncbi.nlm.nih.gov/pmc/articles/PMC11695766/pdf/","citationCount":"0","resultStr":null,"platform":"Semanticscholar","paperid":null,"PeriodicalName":"Annals of Geriatric Medicine and Research","FirstCategoryId":"1085","ListUrlMain":"https://doi.org/10.4235/agmr.24.0091","RegionNum":0,"RegionCategory":null,"ArticlePicture":[],"TitleCN":null,"AbstractTextCN":null,"PMCID":null,"EPubDate":"2024/7/2 0:00:00","PubModel":"Epub","JCR":"Q3","JCRName":"GERIATRICS & GERONTOLOGY","Score":null,"Total":0}
引用次数: 0

Abstract

Background: Functional dependency may serve as a marker for positive SARC-F screen (Strength, Assistance with walking, Rise from a chair, Climb stairs and Falls) among older adults at the Emergency Department (ED). We compared functional dependency between SARC-F- (<4) and SARC-F+ (≥4) groups at the ED.

Methods: A secondary analysis of cohorts from two quasi-experimental studies among patients aged ≥65 years old presenting to the ED of a 1,700-bed tertiary hospital. We compared both groups for baseline characteristics using univariate analyses, and performed multiple linear regression to examine the association between Modified Barthel Index (MBI) and Lawton's instrumental activities of daily living (IADL) against SARC-F, and binary logistic regression to examine the associations between individual ADL domains and SARC-F+. We compared the area under receiver operating characteristic curves (AUC) to detect SARC-F+ for MBI, IADL, frailty, age, cognition and comorbidity.

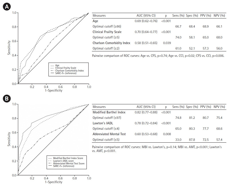
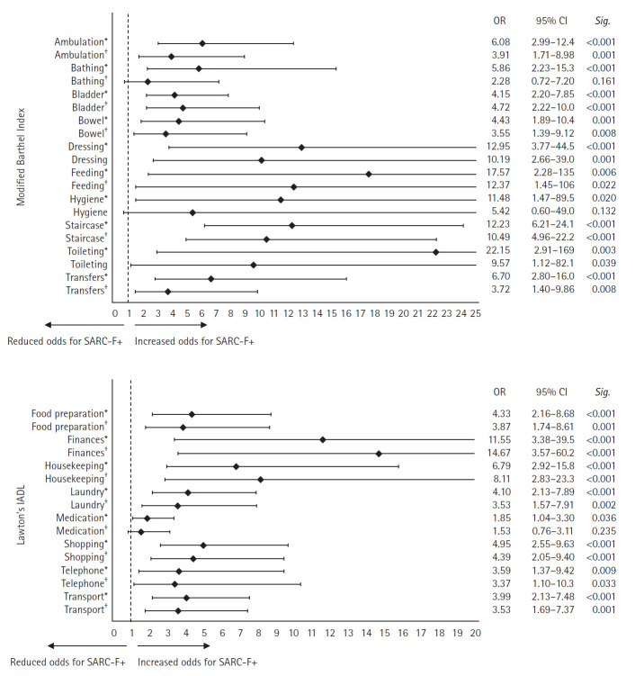
Results: SARC-F+ patients were older (86.4±7.6 years), predominantly female (71.5%) and frail (73.9%), more dependent on walking aids (77.2%), and had lower premorbid MBI (median 90.0 [interquartile range 71.0-98.0]) and IADL (4.0 [2.0-5.0]) (both p<0.001). MBI (β=-0.07, 95% confidence interval [CI] -0.086 to -0.055) and IADL (β=-0.533, 95% CI -0.684 to -0.381) were significantly associated with SARC-F. Dependency in finances (odds ratio [OR]=14.7, 95% CI 3.57-60.2, p<0.001), feeding (OR=12.4, 95% CI 1.45-106, p=0.022), and stair-climbing (OR=10.49, 95% CI 4.96-22.2, p<0.001) were the top three functional items associated with SARC-F. MBI (AUC=0.82, 95% CI 0.77-0.84) and IADL (AUC=0.78, 95% CI 0.72-0.84) showed superior discrimination for SARC-F+ compared to other measures (AUC=0.58-0.70).

Conclusion: Functional dependency is strongly associated with positive SARC-F screen among older adults at the ED. This highlights the need for increased vigilance, especially in the presence of dependency in relevant domains such as managing finances, feeding, and stair-climbing.

Abstract Image

Abstract Image

功能依赖性是老年人在急诊科接受 SARC-F 筛查呈阳性的标志。
背景:功能依赖可作为急诊科(ED)老年人 SARC-F 筛选阳性的标志。我们比较了 SARC-F- 和 SARC-F- 之间的功能依赖性:对一家拥有 1700 张病床的三级医院急诊科就诊的年龄≥65 岁患者进行的两项准实验研究的队列进行二次分析。我们使用单变量分析比较了两组患者的基线特征,并进行了多元线性回归以检验改良巴特尔指数(MBI)和劳顿日常生活工具活动(IADL)与 SARC-F 之间的关联,以及二元逻辑回归以检验单个 ADL 领域与 SARC-F+ 之间的关联。我们比较了MBI、IADL、虚弱程度、年龄、认知能力和合并症检测SARC-F+的接收器操作特征曲线下面积(AUC):结果:SARC-F+ 患者年龄较大(86.4±7.6 岁),以女性(71.5%)和体弱者(73.9%)为主,更依赖于助行器(77.2%),病前 MBI[90.0(71.0-98.0)] 和 IADL[4.0(2.0-5.0)] 较低(均为 p):在急诊室,功能依赖与老年人的 SARC-F 筛查呈阳性密切相关。这强调了提高警惕的必要性,尤其是在财务管理、进食和爬楼梯等相关领域存在依赖性时。
本文章由计算机程序翻译,如有差异,请以英文原文为准。
求助全文
约1分钟内获得全文 求助全文
来源期刊
Annals of Geriatric Medicine and Research
Annals of Geriatric Medicine and Research GERIATRICS & GERONTOLOGY-
CiteScore
4.90
自引率
11.10%
发文量
35
审稿时长
4 weeks
×
引用
GB/T 7714-2015
复制
MLA
复制
APA
复制
导出至
BibTeX EndNote RefMan NoteFirst NoteExpress
×
提示
您的信息不完整,为了账户安全,请先补充。
现在去补充
×
提示
您因"违规操作"
具体请查看互助需知
我知道了
×
提示
确定
请完成安全验证×
copy
已复制链接
快去分享给好友吧!
我知道了
右上角分享
点击右上角分享
0
联系我们:info@booksci.cn Book学术提供免费学术资源搜索服务,方便国内外学者检索中英文文献。致力于提供最便捷和优质的服务体验。 Copyright © 2023 布克学术 All rights reserved.
京ICP备2023020795号-1
ghs 京公网安备 11010802042870号
Book学术文献互助
Book学术文献互助群
群 号:604180095
Book学术官方微信