Exposure-Response Relationship between VWF/FVIII Activity and Spontaneous Bleeding Events Following Recombinant VWF Prophylaxis in Severe VWD.

IF 1.8
Frank W G Leebeek, Giancarlo Castaman, Jean François Marier, Gülden Özen, Indranil Bhattacharya, Jingmei Zhang, Scarlett Wang, Yi Wang
{"title":"Exposure-Response Relationship between VWF/FVIII Activity and Spontaneous Bleeding Events Following Recombinant VWF Prophylaxis in Severe VWD.","authors":"Frank W G Leebeek, Giancarlo Castaman, Jean François Marier, Gülden Özen, Indranil Bhattacharya, Jingmei Zhang, Scarlett Wang, Yi Wang","doi":"10.1055/s-0044-1787815","DOIUrl":null,"url":null,"abstract":"<p><p><b>Background</b>  Recombinant von Willebrand factor (rVWF, vonicog alfa, Takeda Pharmaceuticals USA) is indicated in adults diagnosed with von Willebrand disease (VWD). In this study, the exposure-response (ER) relationship between VWF activity (VWF:RCo) or factor VIII activity (FVIII:C) and spontaneous bleeding events (BEs) was evaluated in adults with severe VWD receiving rVWF prophylaxis for up to 1 year. <b>Methods</b>  This secondary analysis included 23 patients receiving rVWF prophylaxis in the open-label, phase 3 prophylaxis trial (NCT02973087). Population pharmacokinetic (PK) and PK/pharmacodynamic (PD) models were used to characterize VWF activity and endogenous FVIII:C, and PK/PD simulations were linked to spontaneous BEs to develop an ER model. <b>Results</b>  None of the five patients with VWD types 1 or 2A/B experienced spontaneous BEs. Five of 18 patients with VWD type 3 experienced ≥1 spontaneous BEs. An ER relationship was observed whereby higher VWF:RCo levels were associated with a numerically lower spontaneous BE risk ( <i>p</i>  < 0.10). This relationship was independent of patients' pretrial VWF treatment. A statistically significant ER relationship was observed after accounting for relevant data (average ± standard error exposure estimate for VWF:RCo over 24 hours prior to the spontaneous BE: -0.043 ± 0.021, <i>p</i>  = 0.041). The model-generated hazard ratio for a 10 IU/dL increment in the average exposure of VWF:RCo 24 hours before a spontaneous BE was 0.651 (95% confidence interval: 0.431-0.982). <b>Conclusions</b>  This ER analysis suggests a causal association between VWF:RCo and spontaneous BEs, with an increase of VWF:RCo exposure leading to a decrease in spontaneous BE risk.</p>","PeriodicalId":94220,"journal":{"name":"TH open : companion journal to thrombosis and haemostasis","volume":"8 2","pages":"e243-e251"},"PeriodicalIF":1.8000,"publicationDate":"2024-06-27","publicationTypes":"Journal Article","fieldsOfStudy":null,"isOpenAccess":false,"openAccessPdf":"https://www.ncbi.nlm.nih.gov/pmc/articles/PMC11211018/pdf/","citationCount":"0","resultStr":null,"platform":"Semanticscholar","paperid":null,"PeriodicalName":"TH open : companion journal to thrombosis and haemostasis","FirstCategoryId":"1085","ListUrlMain":"https://doi.org/10.1055/s-0044-1787815","RegionNum":0,"RegionCategory":null,"ArticlePicture":[],"TitleCN":null,"AbstractTextCN":null,"PMCID":null,"EPubDate":"2024/4/1 0:00:00","PubModel":"eCollection","JCR":"","JCRName":"","Score":null,"Total":0}
引用次数: 0

Abstract

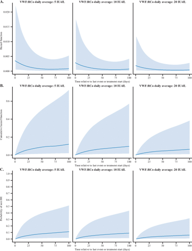
Background  Recombinant von Willebrand factor (rVWF, vonicog alfa, Takeda Pharmaceuticals USA) is indicated in adults diagnosed with von Willebrand disease (VWD). In this study, the exposure-response (ER) relationship between VWF activity (VWF:RCo) or factor VIII activity (FVIII:C) and spontaneous bleeding events (BEs) was evaluated in adults with severe VWD receiving rVWF prophylaxis for up to 1 year. Methods  This secondary analysis included 23 patients receiving rVWF prophylaxis in the open-label, phase 3 prophylaxis trial (NCT02973087). Population pharmacokinetic (PK) and PK/pharmacodynamic (PD) models were used to characterize VWF activity and endogenous FVIII:C, and PK/PD simulations were linked to spontaneous BEs to develop an ER model. Results  None of the five patients with VWD types 1 or 2A/B experienced spontaneous BEs. Five of 18 patients with VWD type 3 experienced ≥1 spontaneous BEs. An ER relationship was observed whereby higher VWF:RCo levels were associated with a numerically lower spontaneous BE risk ( p  < 0.10). This relationship was independent of patients' pretrial VWF treatment. A statistically significant ER relationship was observed after accounting for relevant data (average ± standard error exposure estimate for VWF:RCo over 24 hours prior to the spontaneous BE: -0.043 ± 0.021, p  = 0.041). The model-generated hazard ratio for a 10 IU/dL increment in the average exposure of VWF:RCo 24 hours before a spontaneous BE was 0.651 (95% confidence interval: 0.431-0.982). Conclusions  This ER analysis suggests a causal association between VWF:RCo and spontaneous BEs, with an increase of VWF:RCo exposure leading to a decrease in spontaneous BE risk.

Abstract Image

Abstract Image

Abstract Image

重组 VWF 预防重度 VWD 后 VWF/FVIII 活性与自发性出血事件之间的暴露-反应关系。
背景 重组冯-威廉因子(rVWF,vonicog alfa,美国武田制药公司)适用于诊断为冯-威廉氏病(VWD)的成人。本研究评估了接受 rVWF 长达 1 年预防治疗的严重 VWD 成人患者的 VWF 活性(VWF:RCo)或因子 VIII 活性(FVIII:C)与自发性出血事件(BEs)之间的暴露-反应(ER)关系。方法 这项二次分析包括在开放标签、3 期预防试验(NCT02973087)中接受 rVWF 预防治疗的 23 名患者。采用群体药代动力学(PK)和PK/药效学(PD)模型来描述VWF活性和内源性FVIII:C,并将PK/PD模拟与自发BE联系起来以建立ER模型。结果 5例1型或2A/B型VWD患者均未出现自发性BE。18名VWD 3型患者中有5名出现了≥1次自发性BE。观察到一种 ER 关系,即 VWF:RCo 水平越高,自发性 BE 风险越低 ( p p = 0.041)。模型生成的自发性 BE 前 24 小时 VWF:RCo 平均暴露量每增加 10 IU/dL 的危险比为 0.651(95% 置信区间:0.431-0.982)。结论 ER分析表明,VWF:RCo与自发性BE之间存在因果关系,VWF:RCo暴露量的增加会导致自发性BE风险的降低。
本文章由计算机程序翻译,如有差异,请以英文原文为准。
求助全文
约1分钟内获得全文 求助全文
来源期刊
自引率
0.00%
发文量
0
审稿时长
12 weeks
×
引用
GB/T 7714-2015
复制
MLA
复制
APA
复制
导出至
BibTeX EndNote RefMan NoteFirst NoteExpress
×
提示
您的信息不完整,为了账户安全,请先补充。
现在去补充
×
提示
您因"违规操作"
具体请查看互助需知
我知道了
×
提示
确定
请完成安全验证×
copy
已复制链接
快去分享给好友吧!
我知道了
右上角分享
点击右上角分享
0
联系我们:info@booksci.cn Book学术提供免费学术资源搜索服务,方便国内外学者检索中英文文献。致力于提供最便捷和优质的服务体验。 Copyright © 2023 布克学术 All rights reserved.
京ICP备2023020795号-1
ghs 京公网安备 11010802042870号
Book学术文献互助
Book学术文献互助群
群 号:604180095
Book学术官方微信