Interaction of Glycemic Control and Statin Use on Diabetes-Tuberculosis Treatment Outcome: A Nested Case-Control Study.

IF 2.6 4区 医学 Q3 INFECTIOUS DISEASES
Xiangrui Meng, Huiqiu Zheng, Jian Du, Xuemei Wang, Yanling Wang, Jing Hu, Jing Zhao, Qianqian Du, Yulong Gao
{"title":"Interaction of Glycemic Control and Statin Use on Diabetes-Tuberculosis Treatment Outcome: A Nested Case-Control Study.","authors":"Xiangrui Meng, Huiqiu Zheng, Jian Du, Xuemei Wang, Yanling Wang, Jing Hu, Jing Zhao, Qianqian Du, Yulong Gao","doi":"10.1155/2024/8675248","DOIUrl":null,"url":null,"abstract":"<p><p>This study aims to explore the interaction of glycemic control and statin use on the treatment outcomes of pulmonary tuberculosis-diabetes comorbidity (PTB-DM) patients. A nested case-control study was conducted in a tuberculosis patients' cohort. We defined cases as patients who experienced unfavorable outcomes. Glycemic control was estimated at the baseline. Statin use was obtained from medical records. The multivariate logistic regression models were developed, and the interaction table invented by Andersson was adopted to analyze the interaction of glycemic control and statin use on treatment outcomes. A total of 2,047 patients were included in this study. There was a significant interaction between glycemic control and statin use on the treatment outcomes. Patients with good glycemic control and no statin use (OR = 0.464, 95% CI: 0.360-0.623) had a lower risk of unfavorable outcomes than those with poor glycemic control and statin use (OR = 0.604, 95% CI: 0.401-0.734). Patients with good glycemic control and statin use had the lowest risk of unfavorable outcomes (OR = 0.394, 95% CI: 0.264-0.521). Glycemic control in diabetes-tuberculosis treatment should be paid considerable attention. Patients can benefit from statin use even if they have poor glycemic control. Patients with good glycemic control and statin use can have the best outcomes.</p>","PeriodicalId":50715,"journal":{"name":"Canadian Journal of Infectious Diseases & Medical Microbiology","volume":"2024 ","pages":"8675248"},"PeriodicalIF":2.6000,"publicationDate":"2024-06-20","publicationTypes":"Journal Article","fieldsOfStudy":null,"isOpenAccess":false,"openAccessPdf":"https://www.ncbi.nlm.nih.gov/pmc/articles/PMC11211008/pdf/","citationCount":"0","resultStr":null,"platform":"Semanticscholar","paperid":null,"PeriodicalName":"Canadian Journal of Infectious Diseases & Medical Microbiology","FirstCategoryId":"3","ListUrlMain":"https://doi.org/10.1155/2024/8675248","RegionNum":4,"RegionCategory":"医学","ArticlePicture":[],"TitleCN":null,"AbstractTextCN":null,"PMCID":null,"EPubDate":"2024/1/1 0:00:00","PubModel":"eCollection","JCR":"Q3","JCRName":"INFECTIOUS DISEASES","Score":null,"Total":0}
引用次数: 0

Abstract

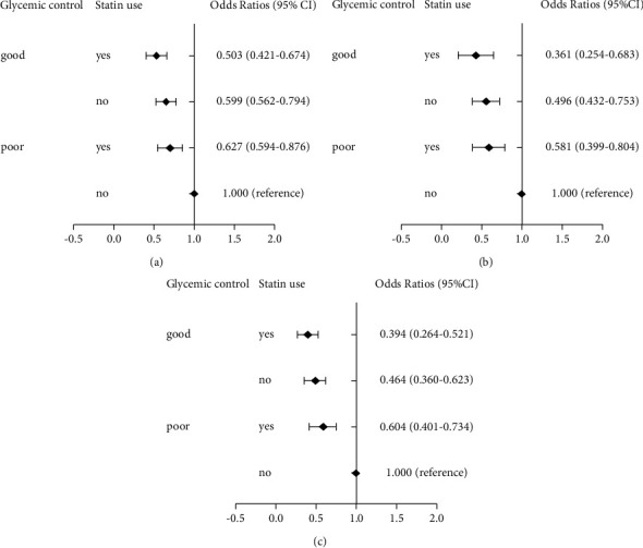
This study aims to explore the interaction of glycemic control and statin use on the treatment outcomes of pulmonary tuberculosis-diabetes comorbidity (PTB-DM) patients. A nested case-control study was conducted in a tuberculosis patients' cohort. We defined cases as patients who experienced unfavorable outcomes. Glycemic control was estimated at the baseline. Statin use was obtained from medical records. The multivariate logistic regression models were developed, and the interaction table invented by Andersson was adopted to analyze the interaction of glycemic control and statin use on treatment outcomes. A total of 2,047 patients were included in this study. There was a significant interaction between glycemic control and statin use on the treatment outcomes. Patients with good glycemic control and no statin use (OR = 0.464, 95% CI: 0.360-0.623) had a lower risk of unfavorable outcomes than those with poor glycemic control and statin use (OR = 0.604, 95% CI: 0.401-0.734). Patients with good glycemic control and statin use had the lowest risk of unfavorable outcomes (OR = 0.394, 95% CI: 0.264-0.521). Glycemic control in diabetes-tuberculosis treatment should be paid considerable attention. Patients can benefit from statin use even if they have poor glycemic control. Patients with good glycemic control and statin use can have the best outcomes.

Abstract Image

Abstract Image

血糖控制和他汀类药物的使用对糖尿病-结核病治疗结果的相互作用:一项嵌套病例对照研究。
本研究旨在探讨血糖控制和他汀类药物的使用对肺结核-糖尿病合并症(PTB-DM)患者治疗效果的影响。我们在肺结核患者队列中开展了一项巢式病例对照研究。我们将病例定义为出现不良预后的患者。血糖控制在基线时进行估算。他汀类药物的使用情况来自医疗记录。我们建立了多变量逻辑回归模型,并采用安德森发明的交互表来分析血糖控制和他汀类药物使用对治疗结果的交互作用。本研究共纳入了 2,047 名患者。血糖控制和他汀类药物的使用对治疗结果有明显的交互作用。血糖控制良好且未使用他汀类药物的患者(OR = 0.464,95% CI:0.360-0.623)比血糖控制不佳且使用他汀类药物的患者(OR = 0.604,95% CI:0.401-0.734)发生不利结果的风险更低。血糖控制良好且使用他汀类药物的患者出现不良后果的风险最低(OR = 0.394,95% CI:0.264-0.521)。糖尿病结核病治疗中的血糖控制应得到高度重视。即使血糖控制不佳,患者也能从他汀类药物的使用中获益。血糖控制良好并使用他汀类药物的患者可获得最佳疗效。
本文章由计算机程序翻译,如有差异,请以英文原文为准。
求助全文
约1分钟内获得全文 求助全文
来源期刊
CiteScore
4.30
自引率
0.00%
发文量
108
审稿时长
>12 weeks
期刊介绍: Canadian Journal of Infectious Diseases and Medical Microbiology is a peer-reviewed, Open Access journal that publishes original research articles, review articles, and clinical studies related to infectious diseases of bacterial, viral and parasitic origin. The journal welcomes articles describing research on pathogenesis, epidemiology of infection, diagnosis and treatment, antibiotics and resistance, and immunology.
×
引用
GB/T 7714-2015
复制
MLA
复制
APA
复制
导出至
BibTeX EndNote RefMan NoteFirst NoteExpress
×
提示
您的信息不完整,为了账户安全,请先补充。
现在去补充
×
提示
您因"违规操作"
具体请查看互助需知
我知道了
×
提示
确定
请完成安全验证×
copy
已复制链接
快去分享给好友吧!
我知道了
右上角分享
点击右上角分享
0
联系我们:info@booksci.cn Book学术提供免费学术资源搜索服务,方便国内外学者检索中英文文献。致力于提供最便捷和优质的服务体验。 Copyright © 2023 布克学术 All rights reserved.
京ICP备2023020795号-1
ghs 京公网安备 11010802042870号
Book学术文献互助
Book学术文献互助群
群 号:604180095
Book学术官方微信