[Characterization and risk prediction of cardiovascular surgeries with cardiopulmonary bypass: a cross-sectional study]

Q3 Medicine
Maria Teresa Politi, Sarah Di Benedetto, Raúl Ferreyra, Guillermo Bortman, Antonio Piazza, Claudia Capurro
{"title":"[Characterization and risk prediction of cardiovascular surgeries with cardiopulmonary bypass: a cross-sectional study]","authors":"Maria Teresa Politi, Sarah Di Benedetto, Raúl Ferreyra, Guillermo Bortman, Antonio Piazza, Claudia Capurro","doi":"10.31053/1853.0605.v81.n2.42432","DOIUrl":null,"url":null,"abstract":"<p><strong>Introduction: </strong>Cardiovascular surgery risk prediction models are widely applied in medical practice. However, they have been criticized for their low methodological quality and scarce external validation. An additional limitation added in Latin America is that most of these models have been developed in the United States or Europe, which present marked geographical differences. The objective of this study is to characterize the postoperative clinical events of cardiovascular surgeries with the use of cardiopulmonary bypass pump in a local setting and to evaluate the prediction of postoperative mortality using the EuroSCORE II predictive model.</p><p><strong>Methods: </strong>Cross-sectional study in an urban university hospital in Buenos Aires. Patients ≥21 years of age were included, with a clinical indication for on-pump cardiovascular surgery. Patients with incomplete clinical data regarding EuroSCORE II variables or in-hospital survival, ≥95 years of age, or undergoing heart transplantation were excluded.</p><p><strong>Results: </strong>195 patients were enrolled. Postoperative mortality estimated by EuroSCORE II presented a clear underestimation of risk (3.0% vs 7.7%). Discrimination (AUC = 0.82; 95% CI 0.74-0.92) and goodness of fit of the model were adequate (χ2 = 7.91; p = 0.4418). The most frequent postoperative complications were postoperative heart failure (35.9%), vasoplegic shock (13.3%), and cardiogenic shock (10.26%).</p><p><strong>Conclusion: </strong>The EuroSCORE II is an appropriate tool to discriminate between different risk categories in patients undergoing on-pump cardiovascular surgery, although it underestimates the risk.</p>","PeriodicalId":38814,"journal":{"name":"Revista de la Facultad de Ciencias Medicas de Cordoba","volume":"81 2","pages":"233-253"},"PeriodicalIF":0.0000,"publicationDate":"2024-06-28","publicationTypes":"Journal Article","fieldsOfStudy":null,"isOpenAccess":false,"openAccessPdf":"https://www.ncbi.nlm.nih.gov/pmc/articles/PMC11370882/pdf/","citationCount":"0","resultStr":null,"platform":"Semanticscholar","paperid":null,"PeriodicalName":"Revista de la Facultad de Ciencias Medicas de Cordoba","FirstCategoryId":"1085","ListUrlMain":"https://doi.org/10.31053/1853.0605.v81.n2.42432","RegionNum":0,"RegionCategory":null,"ArticlePicture":[],"TitleCN":null,"AbstractTextCN":null,"PMCID":null,"EPubDate":"","PubModel":"","JCR":"Q3","JCRName":"Medicine","Score":null,"Total":0}
引用次数: 0

Abstract

Introduction: Cardiovascular surgery risk prediction models are widely applied in medical practice. However, they have been criticized for their low methodological quality and scarce external validation. An additional limitation added in Latin America is that most of these models have been developed in the United States or Europe, which present marked geographical differences. The objective of this study is to characterize the postoperative clinical events of cardiovascular surgeries with the use of cardiopulmonary bypass pump in a local setting and to evaluate the prediction of postoperative mortality using the EuroSCORE II predictive model.

Methods: Cross-sectional study in an urban university hospital in Buenos Aires. Patients ≥21 years of age were included, with a clinical indication for on-pump cardiovascular surgery. Patients with incomplete clinical data regarding EuroSCORE II variables or in-hospital survival, ≥95 years of age, or undergoing heart transplantation were excluded.

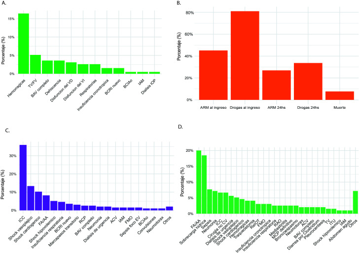
Results: 195 patients were enrolled. Postoperative mortality estimated by EuroSCORE II presented a clear underestimation of risk (3.0% vs 7.7%). Discrimination (AUC = 0.82; 95% CI 0.74-0.92) and goodness of fit of the model were adequate (χ2 = 7.91; p = 0.4418). The most frequent postoperative complications were postoperative heart failure (35.9%), vasoplegic shock (13.3%), and cardiogenic shock (10.26%).

Conclusion: The EuroSCORE II is an appropriate tool to discriminate between different risk categories in patients undergoing on-pump cardiovascular surgery, although it underestimates the risk.

Abstract Image

Abstract Image

Abstract Image

[心肺旁路心血管手术的特征和风险预测:一项横断面研究]
导言心血管手术风险预测模型被广泛应用于医疗实践中。然而,这些模型因其方法质量低和缺乏外部验证而饱受诟病。在拉丁美洲,这些模型还存在另一个局限性,即大多数模型都是在美国或欧洲开发的,而这两个地区存在明显的地域差异。本研究的目的是描述在当地环境下使用心肺旁路泵进行心血管手术的术后临床事件,并评估使用 EuroSCORE II 预测模型预测术后死亡率的情况:方法:在布宜诺斯艾利斯的一家城市大学医院进行横断面研究。研究对象包括年龄≥21 岁的患者,他们都有接受泵上心血管手术的临床指征。排除EuroSCORE II变量或院内存活率临床数据不完整、年龄≥95岁或正在接受心脏移植手术的患者:结果:195 名患者入选。根据 EuroSCORE II 估计的术后死亡率明显低估了风险(3.0% 对 7.7%)。该模型的区分度(AUC = 0.82;95% CI 0.74-0.92)和拟合度(χ2 = 7.91;P = 0.4418)均符合要求。最常见的术后并发症是术后心力衰竭(35.9%)、血管性休克(13.3%)和心源性休克(10.26%):结论:EuroSCORE II 是对接受泵上心血管手术的患者进行不同风险类别区分的合适工具,尽管它低估了风险。
本文章由计算机程序翻译,如有差异,请以英文原文为准。
求助全文
约1分钟内获得全文 求助全文
来源期刊
CiteScore
1.60
自引率
0.00%
发文量
60
审稿时长
20 weeks
期刊介绍: The Journal of the Faculty of Medical Sciences is a scientific publication of the Secretariat of Science and Technology of the Faculty of Medical Sciences of the National University of Cordoba. Its objective is to disseminate and promote research work related to Medical and Biological Sciences. It publishes scientific works of national and international professionals on different topics related to health sciences from the field of medicine, nursing, kinesiology, diagnostic imaging, phonoaudiology, nutrition, public health, chemical sciences, dentistry and related.
×
引用
GB/T 7714-2015
复制
MLA
复制
APA
复制
导出至
BibTeX EndNote RefMan NoteFirst NoteExpress
×
提示
您的信息不完整,为了账户安全,请先补充。
现在去补充
×
提示
您因"违规操作"
具体请查看互助需知
我知道了
×
提示
确定
请完成安全验证×
copy
已复制链接
快去分享给好友吧!
我知道了
右上角分享
点击右上角分享
0
联系我们:info@booksci.cn Book学术提供免费学术资源搜索服务,方便国内外学者检索中英文文献。致力于提供最便捷和优质的服务体验。 Copyright © 2023 布克学术 All rights reserved.
京ICP备2023020795号-1
ghs 京公网安备 11010802042870号
Book学术文献互助
Book学术文献互助群
群 号:604180095
Book学术官方微信