Effect of training on bone quality in rats with insulin resistance induce by fluoride consumption.

Q3 Medicine
Mercedes Lombarte, Brenda Lorena Fina, Victoria Inés García, Maela Lupo, Alfredo Rigalli
{"title":"Effect of training on bone quality in rats with insulin resistance induce by fluoride consumption.","authors":"Mercedes Lombarte, Brenda Lorena Fina, Victoria Inés García, Maela Lupo, Alfredo Rigalli","doi":"10.31053/1853.0605.v81.n2.42505","DOIUrl":null,"url":null,"abstract":"<p><p>When large amounts of Fluoride are consumed produces insulin resistance, but exercise can reverse insulin resistance in rats, because of a high fluoride uptake by bone tissue. However, bone quality has not been studied in those experiments. Therefore, the aim of this work was to evaluate bone quality in rats treated with fluoride when performing exercise. Sprague-Dawley rats were divided into 3 groups (n=6 per group): Control (drinking water without fluoride), Fluoride (drinking water with fluoride 15 mg/L for 30 days) and Exercise (daily running on a treadmill and drinking water with fluoride 15 mg/L for 30 days).  Then, bone mineral density, mechanical and histological properties and bone fluoride level were measured. No effect of treatment on any bone parameters were observed. These results indicate that exercise normalizes glucose metabolism in insulin-resistant rats by bone fluoride uptake; however, this increase in bone fluoride does not manifest in bone deterioration.</p>","PeriodicalId":38814,"journal":{"name":"Revista de la Facultad de Ciencias Medicas de Cordoba","volume":"81 2","pages":"270-284"},"PeriodicalIF":0.0000,"publicationDate":"2024-06-28","publicationTypes":"Journal Article","fieldsOfStudy":null,"isOpenAccess":false,"openAccessPdf":"https://www.ncbi.nlm.nih.gov/pmc/articles/PMC11370880/pdf/","citationCount":"0","resultStr":null,"platform":"Semanticscholar","paperid":null,"PeriodicalName":"Revista de la Facultad de Ciencias Medicas de Cordoba","FirstCategoryId":"1085","ListUrlMain":"https://doi.org/10.31053/1853.0605.v81.n2.42505","RegionNum":0,"RegionCategory":null,"ArticlePicture":[],"TitleCN":null,"AbstractTextCN":null,"PMCID":null,"EPubDate":"","PubModel":"","JCR":"Q3","JCRName":"Medicine","Score":null,"Total":0}
引用次数: 0

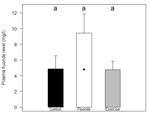
Abstract

When large amounts of Fluoride are consumed produces insulin resistance, but exercise can reverse insulin resistance in rats, because of a high fluoride uptake by bone tissue. However, bone quality has not been studied in those experiments. Therefore, the aim of this work was to evaluate bone quality in rats treated with fluoride when performing exercise. Sprague-Dawley rats were divided into 3 groups (n=6 per group): Control (drinking water without fluoride), Fluoride (drinking water with fluoride 15 mg/L for 30 days) and Exercise (daily running on a treadmill and drinking water with fluoride 15 mg/L for 30 days).  Then, bone mineral density, mechanical and histological properties and bone fluoride level were measured. No effect of treatment on any bone parameters were observed. These results indicate that exercise normalizes glucose metabolism in insulin-resistant rats by bone fluoride uptake; however, this increase in bone fluoride does not manifest in bone deterioration.

Abstract Image

Abstract Image

Abstract Image

训练对服用氟化物导致胰岛素抵抗的大鼠骨骼质量的影响
大量摄入氟会产生胰岛素抵抗,但运动可以逆转大鼠的胰岛素抵抗,因为骨组织对氟的吸收率很高。然而,这些实验并未对骨骼质量进行研究。因此,这项工作的目的是评估氟化大鼠在进行运动时的骨骼质量。Sprague-Dawley 大鼠分为 3 组(每组 6 只):对照组(饮用不含氟的水)、含氟组(饮用含氟 15 毫克/升的水,为期 30 天)和运动组(每天在跑步机上跑步,饮用含氟 15 毫克/升的水,为期 30 天)。 然后,对骨矿物质密度、机械和组织学特性以及骨氟含量进行测量。结果显示,治疗对任何骨骼参数都没有影响。这些结果表明,运动可通过骨氟吸收使胰岛素抵抗大鼠的葡萄糖代谢正常化;然而,骨氟的增加并不会导致骨骼退化。
本文章由计算机程序翻译,如有差异,请以英文原文为准。
求助全文
约1分钟内获得全文 求助全文
来源期刊
CiteScore
1.60
自引率
0.00%
发文量
60
审稿时长
20 weeks
期刊介绍: The Journal of the Faculty of Medical Sciences is a scientific publication of the Secretariat of Science and Technology of the Faculty of Medical Sciences of the National University of Cordoba. Its objective is to disseminate and promote research work related to Medical and Biological Sciences. It publishes scientific works of national and international professionals on different topics related to health sciences from the field of medicine, nursing, kinesiology, diagnostic imaging, phonoaudiology, nutrition, public health, chemical sciences, dentistry and related.
×
引用
GB/T 7714-2015
复制
MLA
复制
APA
复制
导出至
BibTeX EndNote RefMan NoteFirst NoteExpress
×
提示
您的信息不完整,为了账户安全,请先补充。
现在去补充
×
提示
您因"违规操作"
具体请查看互助需知
我知道了
×
提示
确定
请完成安全验证×
copy
已复制链接
快去分享给好友吧!
我知道了
右上角分享
点击右上角分享
0
联系我们:info@booksci.cn Book学术提供免费学术资源搜索服务,方便国内外学者检索中英文文献。致力于提供最便捷和优质的服务体验。 Copyright © 2023 布克学术 All rights reserved.
京ICP备2023020795号-1
ghs 京公网安备 11010802042870号
Book学术文献互助
Book学术文献互助群
群 号:604180095
Book学术官方微信