Inoculants of Arbuscular Mycorrhizal Fungi Influence Growth and Biomass of Terminalia arjuna under Amendment and Anamendment Entisol.

IF 2 4区 生物学 Q2 AGRONOMY
Mycobiology Pub Date : 2024-06-17 eCollection Date: 2024-01-01 DOI:10.1080/12298093.2024.2360750
Atul Kumar Bhardwaj, K K Chandra, Rajesh Kumar
{"title":"Inoculants of Arbuscular Mycorrhizal Fungi Influence Growth and Biomass of <i>Terminalia arjuna</i> under Amendment and Anamendment Entisol.","authors":"Atul Kumar Bhardwaj, K K Chandra, Rajesh Kumar","doi":"10.1080/12298093.2024.2360750","DOIUrl":null,"url":null,"abstract":"<p><p>Entisol soil is hard and compact in nature, rendering it high in bulk density, which influences root penetration adversely and thereby poor plant growth. In this experiment, used seven treatments in different combination in normal soil, were used as growth media for the <i>Terminalia arjuna</i> seedling. T3 (60% entisol) found the best as it gave the highest biomass in the species regardless of arbuscular mycorrhizal fungi (AMF) treatment. AMF treatment enhanced the growth and biomass of plants significantly in all the given treatments. AMF colonization observed a maximum in tertiary roots. T1 (100% entisol soil) exhibited the highest degree of AMF colonization in tertiary roots, resulting in the highest mycorrhiza dependency of plants for this soil. The addition of normal soil to entisol soil was found to decrease the bulk density, resulting in increased root diameter, and T3 plants exhibited the highest biomass and AMF compatibility for <i>T. arjuna</i> species. The <i>T. arjuna</i> plant's growth and biomass responded positively to AMF in all types of treatments. The plant's growth and biomass were highest in the T3 treatment, which had a bulk density of 1.50 g/cm<sup>3</sup>. In this study, we combined the entisol with mycorrhizal inoculation of the nursery growing medium to promote plant growth and biomass, improve the plant's ability to hold water and absorb nutrients, and lower the entisol's bulk density. The <i>T. arjuna</i> (Roxb) plant responds very favorably to mycorrhiza inoculation in nursery conditions with the entisol growth medium.</p>","PeriodicalId":18825,"journal":{"name":"Mycobiology","volume":"52 3","pages":"183-190"},"PeriodicalIF":2.0000,"publicationDate":"2024-06-17","publicationTypes":"Journal Article","fieldsOfStudy":null,"isOpenAccess":false,"openAccessPdf":"https://www.ncbi.nlm.nih.gov/pmc/articles/PMC11210415/pdf/","citationCount":"0","resultStr":null,"platform":"Semanticscholar","paperid":null,"PeriodicalName":"Mycobiology","FirstCategoryId":"99","ListUrlMain":"https://doi.org/10.1080/12298093.2024.2360750","RegionNum":4,"RegionCategory":"生物学","ArticlePicture":[],"TitleCN":null,"AbstractTextCN":null,"PMCID":null,"EPubDate":"2024/1/1 0:00:00","PubModel":"eCollection","JCR":"Q2","JCRName":"AGRONOMY","Score":null,"Total":0}
引用次数: 0

Abstract

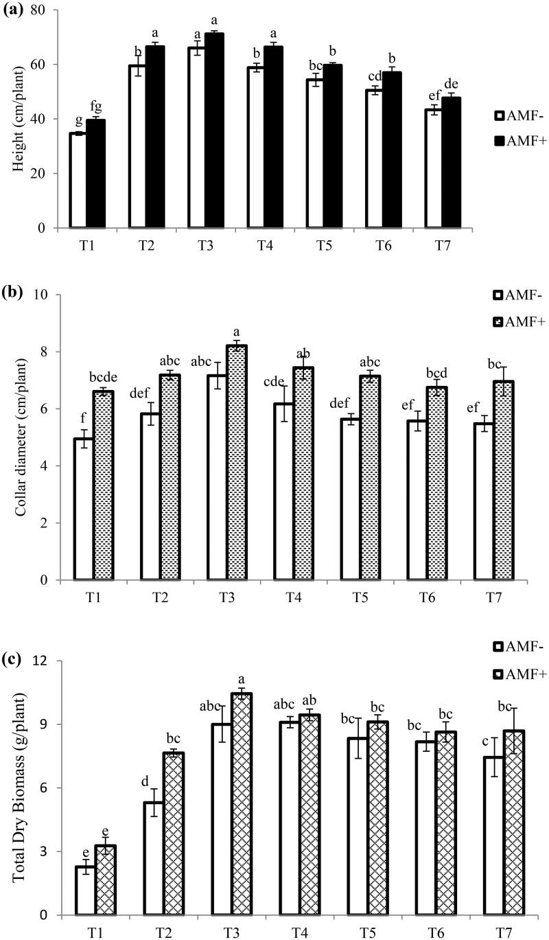
Entisol soil is hard and compact in nature, rendering it high in bulk density, which influences root penetration adversely and thereby poor plant growth. In this experiment, used seven treatments in different combination in normal soil, were used as growth media for the Terminalia arjuna seedling. T3 (60% entisol) found the best as it gave the highest biomass in the species regardless of arbuscular mycorrhizal fungi (AMF) treatment. AMF treatment enhanced the growth and biomass of plants significantly in all the given treatments. AMF colonization observed a maximum in tertiary roots. T1 (100% entisol soil) exhibited the highest degree of AMF colonization in tertiary roots, resulting in the highest mycorrhiza dependency of plants for this soil. The addition of normal soil to entisol soil was found to decrease the bulk density, resulting in increased root diameter, and T3 plants exhibited the highest biomass and AMF compatibility for T. arjuna species. The T. arjuna plant's growth and biomass responded positively to AMF in all types of treatments. The plant's growth and biomass were highest in the T3 treatment, which had a bulk density of 1.50 g/cm3. In this study, we combined the entisol with mycorrhizal inoculation of the nursery growing medium to promote plant growth and biomass, improve the plant's ability to hold water and absorb nutrients, and lower the entisol's bulk density. The T. arjuna (Roxb) plant responds very favorably to mycorrhiza inoculation in nursery conditions with the entisol growth medium.

Abstract Image

Abstract Image

Abstract Image

丛枝菌根真菌接种剂在改良和无改良 Entisol 条件下对旱金莲生长和生物量的影响
Entisol 土壤质地坚硬,结构紧凑,体积密度大,对根系的穿透力有不利影响,从而导致植物生长不良。本实验使用了普通土壤中不同组合的七种处理作为旱金莲幼苗的生长介质。T3(60% entisol)效果最好,因为无论采用何种丛枝菌根真菌(AMF)处理,它都能产生最高的生物量。在所有给定的处理中,AMF 处理都能显著提高植物的生长和生物量。在三级根中,AMF 的定殖量最大。T1(100% entisol 土壤)在三级根中的 AMF 定殖程度最高,因此植物对这种土壤的菌根依赖性最高。在 entisol 土壤中添加普通土壤会降低体积密度,从而增加根系直径,T3 植物的生物量和对旱金莲菌根的兼容性最高。在所有类型的处理中,T. arjuna 植物的生长和生物量都对 AMF 有积极反应。在容重为 1.50 g/cm3 的 T3 处理中,植物的生长和生物量最高。在本研究中,我们将 entisol 与苗圃生长介质的菌根接种相结合,以促进植物的生长和生物量,提高植物的持水能力和吸收养分的能力,并降低 entisol 的体积密度。T. arjuna(Roxb)植物在苗圃条件下接种菌根后,对 entisol 生长介质的反应非常好。
本文章由计算机程序翻译,如有差异,请以英文原文为准。
求助全文
约1分钟内获得全文 求助全文
来源期刊
Mycobiology
Mycobiology AGRONOMYMYCOLOGY-MYCOLOGY
CiteScore
3.90
自引率
5.30%
发文量
41
审稿时长
22 weeks
期刊介绍: Mycobiology is an international journal devoted to the publication of fundamental and applied investigations on all aspects of mycology and their traditional allies. It is published quarterly and is the official publication of the Korean Society of Mycology. Mycobiology publishes reports of basic research on fungi and fungus-like organisms, including yeasts, filamentous fungi, lichen fungi, oomycetes, moulds, and mushroom. Topics also include molecular and cellular biology, biochemistry, metabolism, developmental biology, environmental mycology, evolution, ecology, taxonomy and systematics, genetics/genomics, fungal pathogen and disease control, physiology, and industrial biotechnology using fungi.
×
引用
GB/T 7714-2015
复制
MLA
复制
APA
复制
导出至
BibTeX EndNote RefMan NoteFirst NoteExpress
×
提示
您的信息不完整,为了账户安全,请先补充。
现在去补充
×
提示
您因"违规操作"
具体请查看互助需知
我知道了
×
提示
确定
请完成安全验证×
copy
已复制链接
快去分享给好友吧!
我知道了
右上角分享
点击右上角分享
0
联系我们:info@booksci.cn Book学术提供免费学术资源搜索服务,方便国内外学者检索中英文文献。致力于提供最便捷和优质的服务体验。 Copyright © 2023 布克学术 All rights reserved.
京ICP备2023020795号-1
ghs 京公网安备 11010802042870号
Book学术文献互助
Book学术文献互助群
群 号:604180095
Book学术官方微信