Modern Contraception and Anaemia Among Reproductive-age Women in India: Results From a Household Survey.

IF 2.1 Q2 PUBLIC, ENVIRONMENTAL & OCCUPATIONAL HEALTH
Mihir Adhikary, Poulami Barman, Bharti Singh, Abhishek Anand
{"title":"Modern Contraception and Anaemia Among Reproductive-age Women in India: Results From a Household Survey.","authors":"Mihir Adhikary, Poulami Barman, Bharti Singh, Abhishek Anand","doi":"10.3961/jpmph.23.504","DOIUrl":null,"url":null,"abstract":"<p><strong>Objectives: </strong>Chronic anaemia is a significant health concern, particularly among women of childbearing age. Factors such as menstrual blood loss, childbirth, inadequate nutrition, closely spaced pregnancies, and recurrent gastrointestinal bleeding increase the risk of anaemia. This study investigated whether current contraceptive methods are associated with anaemia in Indian women of reproductive age.</p><p><strong>Methods: </strong>Cross-sectional data from the fifth round of the National Family Health Survey, conducted in 2019-2021, were used for this investigation. We included only non-pregnant and non-amenorrhoeic women in our analysis, resulting in a final analytical sample of 673 094 women aged 15-49. Bivariate cross-tabulations and multivariable logistic regression were employed to analyse the data.</p><p><strong>Results: </strong>The prevalence of anaemia was 57%, and the adjusted regression models found no significant association between the use of any contraceptive methods and women's haemoglobin status. Women using traditional contraceptive methods had 1.08 (95% confidence interval, 1.05 to 1.11) times higher odds of having anaemia. Among the modern methods, other than injectables, all other methods-such as an intrauterine device, barrier use, and sterilisation-were associated with higher odds of anaemia compared to women who used contraceptive pills.</p><p><strong>Conclusions: </strong>This study explored the relationship between modern contraceptives and haemoglobin levels in India, revealing that injectables were associated with a notable reduction in the odds of anaemia, whereas traditional contraceptives and other modern methods exhibited positive associations with anaemia. These findings prompt policymakers to focus on anaemia reduction and safe contraceptives. More research is needed to inform decisions, given the scant literature.</p>","PeriodicalId":16893,"journal":{"name":"Journal of Preventive Medicine and Public Health","volume":" ","pages":"339-346"},"PeriodicalIF":2.1000,"publicationDate":"2024-07-01","publicationTypes":"Journal Article","fieldsOfStudy":null,"isOpenAccess":false,"openAccessPdf":"https://www.ncbi.nlm.nih.gov/pmc/articles/PMC11309829/pdf/","citationCount":"0","resultStr":null,"platform":"Semanticscholar","paperid":null,"PeriodicalName":"Journal of Preventive Medicine and Public Health","FirstCategoryId":"1085","ListUrlMain":"https://doi.org/10.3961/jpmph.23.504","RegionNum":0,"RegionCategory":null,"ArticlePicture":[],"TitleCN":null,"AbstractTextCN":null,"PMCID":null,"EPubDate":"2024/6/19 0:00:00","PubModel":"Epub","JCR":"Q2","JCRName":"PUBLIC, ENVIRONMENTAL & OCCUPATIONAL HEALTH","Score":null,"Total":0}
引用次数: 0

Abstract

Objectives: Chronic anaemia is a significant health concern, particularly among women of childbearing age. Factors such as menstrual blood loss, childbirth, inadequate nutrition, closely spaced pregnancies, and recurrent gastrointestinal bleeding increase the risk of anaemia. This study investigated whether current contraceptive methods are associated with anaemia in Indian women of reproductive age.

Methods: Cross-sectional data from the fifth round of the National Family Health Survey, conducted in 2019-2021, were used for this investigation. We included only non-pregnant and non-amenorrhoeic women in our analysis, resulting in a final analytical sample of 673 094 women aged 15-49. Bivariate cross-tabulations and multivariable logistic regression were employed to analyse the data.

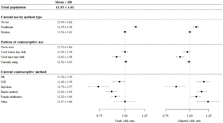
Results: The prevalence of anaemia was 57%, and the adjusted regression models found no significant association between the use of any contraceptive methods and women's haemoglobin status. Women using traditional contraceptive methods had 1.08 (95% confidence interval, 1.05 to 1.11) times higher odds of having anaemia. Among the modern methods, other than injectables, all other methods-such as an intrauterine device, barrier use, and sterilisation-were associated with higher odds of anaemia compared to women who used contraceptive pills.

Conclusions: This study explored the relationship between modern contraceptives and haemoglobin levels in India, revealing that injectables were associated with a notable reduction in the odds of anaemia, whereas traditional contraceptives and other modern methods exhibited positive associations with anaemia. These findings prompt policymakers to focus on anaemia reduction and safe contraceptives. More research is needed to inform decisions, given the scant literature.

Abstract Image

印度育龄妇女的现代避孕与贫血:家庭调查的结果。
目的:慢性贫血是一个重大的健康问题,尤其是在育龄妇女中。月经失血、分娩、营养不足、怀孕间隔过近以及反复胃肠道出血等因素都会增加贫血的风险。本研究调查了目前的避孕方法是否与印度育龄妇女贫血有关:本研究采用了 2019-21 年开展的第五轮全国家庭健康调查(NFHS-5)的横断面数据。我们仅将非怀孕和非闭经妇女纳入分析范围,最终分析样本为 673,094 名 15-49 岁妇女。我们采用了二元交叉分析和多变量逻辑回归来分析数据:贫血患病率为 57%,调整后的回归模型发现,使用任何避孕方法与妇女的血红蛋白状况之间都没有显著关联。使用传统避孕方法的妇女患贫血的几率要高出 1.08 倍(95% 置信区间,1.048-1.113)。在现代避孕方法中,除注射避孕药外,所有其他方法(如宫内节育器、屏障避孕法和绝育)与使用避孕药的妇女相比,患贫血的几率都更高:这项研究探讨了印度现代避孕药具和血红蛋白水平之间的关系,发现注射式避孕药具明显降低了贫血的几率,而传统避孕药具和其他现代避孕方法与贫血呈正相关。这些发现促使政策制定者关注减少贫血和安全避孕药具。鉴于文献资料稀少,需要进行更多的研究,以便为决策提供信息。
本文章由计算机程序翻译,如有差异,请以英文原文为准。
求助全文
约1分钟内获得全文 求助全文
来源期刊
Journal of Preventive Medicine and Public Health
Journal of Preventive Medicine and Public Health Medicine-Public Health, Environmental and Occupational Health
CiteScore
6.40
自引率
0.00%
发文量
60
审稿时长
8 weeks
×
引用
GB/T 7714-2015
复制
MLA
复制
APA
复制
导出至
BibTeX EndNote RefMan NoteFirst NoteExpress
×
提示
您的信息不完整,为了账户安全,请先补充。
现在去补充
×
提示
您因"违规操作"
具体请查看互助需知
我知道了
×
提示
确定
请完成安全验证×
copy
已复制链接
快去分享给好友吧!
我知道了
右上角分享
点击右上角分享
0
联系我们:info@booksci.cn Book学术提供免费学术资源搜索服务,方便国内外学者检索中英文文献。致力于提供最便捷和优质的服务体验。 Copyright © 2023 布克学术 All rights reserved.
京ICP备2023020795号-1
ghs 京公网安备 11010802042870号
Book学术文献互助
Book学术文献互助群
群 号:604180095
Book学术官方微信