Neuroanatomical correlates of musicianship in left-handers.

IF 3.3 2区 心理学 Q1 BEHAVIORAL SCIENCES
Esteban Villar-Rodríguez, Lidón Marin-Marin, César Avila, Maria Antònia Parcet
{"title":"Neuroanatomical correlates of musicianship in left-handers.","authors":"Esteban Villar-Rodríguez, Lidón Marin-Marin, César Avila, Maria Antònia Parcet","doi":"10.1186/s12993-024-00243-0","DOIUrl":null,"url":null,"abstract":"<p><strong>Background: </strong>Left-handedness is a condition that reverses the typical left cerebral dominance of motor control to an atypical right dominance. The impact of this distinct control - and its associated neuroanatomical peculiarities - on other cognitive functions such as music processing or playing a musical instrument remains unexplored. Previous studies in right-handed population have linked musicianship to a larger volume in the (right) auditory cortex and a larger volume in the (right) arcuate fasciculus.</p><p><strong>Results: </strong>In our study, we reveal that left-handed musicians (n = 55), in comparison to left-handed non-musicians (n = 75), exhibit a larger gray matter volume in both the left and right Heschl's gyrus, critical for auditory processing. They also present a higher number of streamlines across the anterior segment of the right arcuate fasciculus. Importantly, atypical hemispheric lateralization of speech (notably prevalent among left-handers) was associated to a rightward asymmetry of the AF, in contrast to the leftward asymmetry exhibited by the typically lateralized.</p><p><strong>Conclusions: </strong>These findings suggest that left-handed musicians share similar neuroanatomical characteristics with their right-handed counterparts. However, atypical lateralization of speech might potentiate the right audiomotor pathway, which has been associated with musicianship and better musical skills. This may help explain why musicians are more prevalent among left-handers and shed light on their cognitive advantages.</p>","PeriodicalId":8729,"journal":{"name":"Behavioral and Brain Functions","volume":"20 1","pages":"17"},"PeriodicalIF":3.3000,"publicationDate":"2024-06-28","publicationTypes":"Journal Article","fieldsOfStudy":null,"isOpenAccess":false,"openAccessPdf":"https://www.ncbi.nlm.nih.gov/pmc/articles/PMC11214256/pdf/","citationCount":"0","resultStr":null,"platform":"Semanticscholar","paperid":null,"PeriodicalName":"Behavioral and Brain Functions","FirstCategoryId":"102","ListUrlMain":"https://doi.org/10.1186/s12993-024-00243-0","RegionNum":2,"RegionCategory":"心理学","ArticlePicture":[],"TitleCN":null,"AbstractTextCN":null,"PMCID":null,"EPubDate":"","PubModel":"","JCR":"Q1","JCRName":"BEHAVIORAL SCIENCES","Score":null,"Total":0}
引用次数: 0

Abstract

Background: Left-handedness is a condition that reverses the typical left cerebral dominance of motor control to an atypical right dominance. The impact of this distinct control - and its associated neuroanatomical peculiarities - on other cognitive functions such as music processing or playing a musical instrument remains unexplored. Previous studies in right-handed population have linked musicianship to a larger volume in the (right) auditory cortex and a larger volume in the (right) arcuate fasciculus.

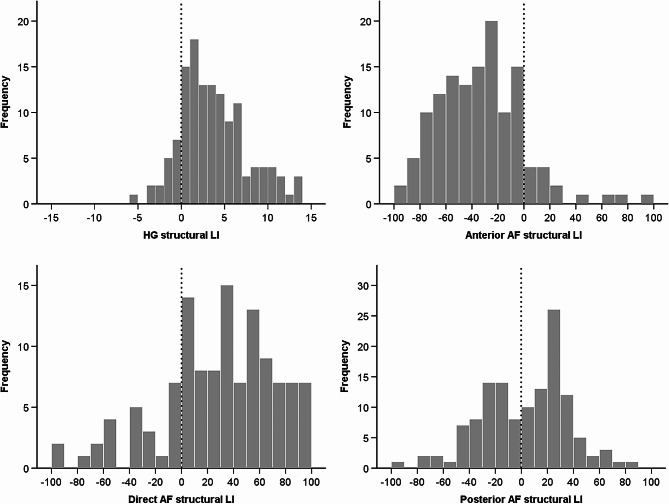
Results: In our study, we reveal that left-handed musicians (n = 55), in comparison to left-handed non-musicians (n = 75), exhibit a larger gray matter volume in both the left and right Heschl's gyrus, critical for auditory processing. They also present a higher number of streamlines across the anterior segment of the right arcuate fasciculus. Importantly, atypical hemispheric lateralization of speech (notably prevalent among left-handers) was associated to a rightward asymmetry of the AF, in contrast to the leftward asymmetry exhibited by the typically lateralized.

Conclusions: These findings suggest that left-handed musicians share similar neuroanatomical characteristics with their right-handed counterparts. However, atypical lateralization of speech might potentiate the right audiomotor pathway, which has been associated with musicianship and better musical skills. This may help explain why musicians are more prevalent among left-handers and shed light on their cognitive advantages.

Abstract Image

Abstract Image

Abstract Image

左撇子音乐能力的神经解剖相关性。
背景:左撇子是一种将运动控制的典型左脑优势逆转为非典型右脑优势的病症。这种不同的控制能力及其相关的神经解剖学特征对其他认知功能(如音乐处理或乐器演奏)的影响仍有待探索。以前对右撇子人群的研究表明,音乐能力与(右侧)听觉皮层的较大体积和(右侧)弓状筋膜的较大体积有关:在我们的研究中,我们发现左撇子音乐家(n = 55)与非左撇子音乐家(n = 75)相比,左手和右手赫氏回的灰质体积更大,这对听觉处理至关重要。他们在右侧弓状筋束前段的流线数量也更多。重要的是,言语的非典型半球侧向化(在左撇子中尤为普遍)与 AF 的右侧不对称有关,与典型侧向化的左侧不对称形成鲜明对比:这些研究结果表明,左撇子音乐家与右撇子音乐家具有相似的神经解剖学特征。然而,言语的非典型侧向化可能会增强右侧听觉运动通路的功能,而右侧听觉运动通路与音乐素质和更好的音乐技能有关。这可能有助于解释为什么音乐家在左撇子中更为普遍,并揭示他们的认知优势。
本文章由计算机程序翻译,如有差异,请以英文原文为准。
求助全文
约1分钟内获得全文 求助全文
来源期刊
Behavioral and Brain Functions
Behavioral and Brain Functions 医学-行为科学
CiteScore
5.90
自引率
0.00%
发文量
11
审稿时长
6-12 weeks
期刊介绍: A well-established journal in the field of behavioral and cognitive neuroscience, Behavioral and Brain Functions welcomes manuscripts which provide insight into the neurobiological mechanisms underlying behavior and brain function, or dysfunction. The journal gives priority to manuscripts that combine both neurobiology and behavior in a non-clinical manner.
×
引用
GB/T 7714-2015
复制
MLA
复制
APA
复制
导出至
BibTeX EndNote RefMan NoteFirst NoteExpress
×
提示
您的信息不完整,为了账户安全,请先补充。
现在去补充
×
提示
您因"违规操作"
具体请查看互助需知
我知道了
×
提示
确定
请完成安全验证×
copy
已复制链接
快去分享给好友吧!
我知道了
右上角分享
点击右上角分享
0
联系我们:info@booksci.cn Book学术提供免费学术资源搜索服务,方便国内外学者检索中英文文献。致力于提供最便捷和优质的服务体验。 Copyright © 2023 布克学术 All rights reserved.
京ICP备2023020795号-1
ghs 京公网安备 11010802042870号
Book学术文献互助
Book学术文献互助群
群 号:604180095
Book学术官方微信