Exploring fermentation with lactic acid bacteria as a pretreatment for enhancing antioxidant potential in broccoli stem powders.

IF 4.1 Q3 MICROBIOLOGY
AIMS Microbiology Pub Date : 2024-04-01 eCollection Date: 2024-01-01 DOI:10.3934/microbiol.2024013
M Alegría Serna-Barrera, Claudia Bas-Bellver, Lucía Seguí, Noelia Betoret, Cristina Barrera
{"title":"Exploring fermentation with lactic acid bacteria as a pretreatment for enhancing antioxidant potential in broccoli stem powders.","authors":"M Alegría Serna-Barrera, Claudia Bas-Bellver, Lucía Seguí, Noelia Betoret, Cristina Barrera","doi":"10.3934/microbiol.2024013","DOIUrl":null,"url":null,"abstract":"<p><p>Fruit and vegetable industries face a major environmental challenge with food loss and waste. Broccoli stems, comprising 38% of the plant's total weight, are usually discarded by the industry producing fourth-range and ready-to-use products, despite being rich in antioxidants, vitamins, fiber, carotenoids, phenolic compounds, and glucosinolates. Addressing the challenge of reducing waste in this sector includes the production of stable and nutrient-concentrated powders, which can be consumed directly or used as ingredients in functional food formulation. This study investigated fermentation with lactic acid bacteria (<i>Limosilactobacillus reuteri</i>, <i>Lactiplantibacillus plantarum</i>, and <i>Lactobacillus salivarius</i>) as a pretreatment for enhancing antioxidant and probiotic potential in broccoli stem powders. Results showed maximum counts 24 h after inoculation, and no effect of the previous disruption intensity on microbial growth was observed. Fermenting broccoli stems for 24 h with the three microbial strains led to a significant increase in total phenols and flavonoids but to a general reduction in the samples' capacity to scavenge DPPH and ABTS free radicals. Overall, ground broccoli stems exhibited the most favorable antioxidant properties following the 24 h fermentation step. The subsequent freeze-drying and final grinding had minimal impact on the microbial population but significantly enhanced the extractability of the antioxidant compounds. This study offers a valuable reference for researchers and stakeholders exploring the development of new products and innovations from vegetable waste.</p>","PeriodicalId":46108,"journal":{"name":"AIMS Microbiology","volume":"10 2","pages":"255-272"},"PeriodicalIF":4.1000,"publicationDate":"2024-04-01","publicationTypes":"Journal Article","fieldsOfStudy":null,"isOpenAccess":false,"openAccessPdf":"https://www.ncbi.nlm.nih.gov/pmc/articles/PMC11194623/pdf/","citationCount":"0","resultStr":null,"platform":"Semanticscholar","paperid":null,"PeriodicalName":"AIMS Microbiology","FirstCategoryId":"1085","ListUrlMain":"https://doi.org/10.3934/microbiol.2024013","RegionNum":0,"RegionCategory":null,"ArticlePicture":[],"TitleCN":null,"AbstractTextCN":null,"PMCID":null,"EPubDate":"2024/1/1 0:00:00","PubModel":"eCollection","JCR":"Q3","JCRName":"MICROBIOLOGY","Score":null,"Total":0}
引用次数: 0

Abstract

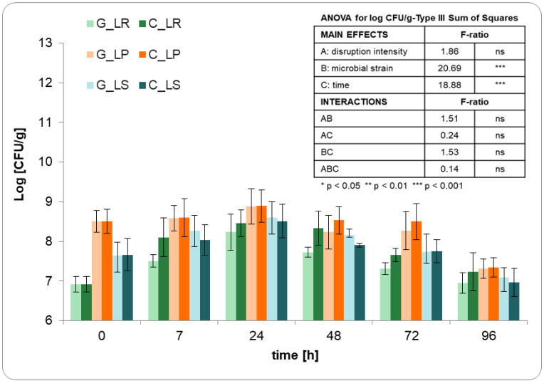
Fruit and vegetable industries face a major environmental challenge with food loss and waste. Broccoli stems, comprising 38% of the plant's total weight, are usually discarded by the industry producing fourth-range and ready-to-use products, despite being rich in antioxidants, vitamins, fiber, carotenoids, phenolic compounds, and glucosinolates. Addressing the challenge of reducing waste in this sector includes the production of stable and nutrient-concentrated powders, which can be consumed directly or used as ingredients in functional food formulation. This study investigated fermentation with lactic acid bacteria (Limosilactobacillus reuteri, Lactiplantibacillus plantarum, and Lactobacillus salivarius) as a pretreatment for enhancing antioxidant and probiotic potential in broccoli stem powders. Results showed maximum counts 24 h after inoculation, and no effect of the previous disruption intensity on microbial growth was observed. Fermenting broccoli stems for 24 h with the three microbial strains led to a significant increase in total phenols and flavonoids but to a general reduction in the samples' capacity to scavenge DPPH and ABTS free radicals. Overall, ground broccoli stems exhibited the most favorable antioxidant properties following the 24 h fermentation step. The subsequent freeze-drying and final grinding had minimal impact on the microbial population but significantly enhanced the extractability of the antioxidant compounds. This study offers a valuable reference for researchers and stakeholders exploring the development of new products and innovations from vegetable waste.

Abstract Image

Abstract Image

Abstract Image

探索用乳酸菌发酵作为提高西兰花茎粉抗氧化潜力的预处理方法。
水果和蔬菜产业面临着食物损失和浪费的重大环境挑战。尽管西兰花富含抗氧化剂、维生素、纤维、类胡萝卜素、酚类化合物和葡萄糖苷酸盐,但占植物总重量 38% 的西兰花茎通常会被生产四季豆和即食产品的行业丢弃。要应对减少该行业浪费的挑战,就必须生产稳定且营养丰富的粉末,这些粉末既可直接食用,也可用作功能性食品配方的配料。本研究调查了使用乳酸菌(Limosilactobacillus reuteri、Lactiplantibacillus plantarum 和 Lactobacillus salivarius)进行发酵,作为提高西兰花茎粉抗氧化剂和益生菌潜力的预处理方法。结果表明,接种 24 小时后,计数达到最大值,而之前的破坏强度对微生物生长没有影响。用三种微生物菌株发酵西兰花茎 24 小时后,总酚和类黄酮含量显著增加,但样品清除 DPPH 和 ABTS 自由基的能力普遍下降。总体而言,经过 24 小时发酵步骤后,磨碎的西兰花茎表现出最有利的抗氧化特性。随后的冷冻干燥和最终研磨对微生物数量的影响很小,但却大大提高了抗氧化化合物的提取率。这项研究为研究人员和利益相关者探索利用蔬菜废弃物开发新产品和进行创新提供了宝贵的参考。
本文章由计算机程序翻译,如有差异,请以英文原文为准。
求助全文
约1分钟内获得全文 求助全文
来源期刊
AIMS Microbiology
AIMS Microbiology MICROBIOLOGY-
CiteScore
7.00
自引率
2.10%
发文量
22
审稿时长
8 weeks
×
引用
GB/T 7714-2015
复制
MLA
复制
APA
复制
导出至
BibTeX EndNote RefMan NoteFirst NoteExpress
×
提示
您的信息不完整,为了账户安全,请先补充。
现在去补充
×
提示
您因"违规操作"
具体请查看互助需知
我知道了
×
提示
确定
请完成安全验证×
copy
已复制链接
快去分享给好友吧!
我知道了
右上角分享
点击右上角分享
0
联系我们:info@booksci.cn Book学术提供免费学术资源搜索服务,方便国内外学者检索中英文文献。致力于提供最便捷和优质的服务体验。 Copyright © 2023 布克学术 All rights reserved.
京ICP备2023020795号-1
ghs 京公网安备 11010802042870号
Book学术文献互助
Book学术文献互助群
群 号:604180095
Book学术官方微信