Precision Symptom Phenotyping Identifies Early Clinical and Proteomic Predictors of Distinct COVID-19 Sequelae.

IF 4.5 2区 医学 Q2 IMMUNOLOGY
Nusrat J Epsi, Josh G Chenoweth, Paul W Blair, David A Lindholm, Anuradha Ganesan, Tahaniyat Lalani, Alfred Smith, Rupal M Mody, Milissa U Jones, Rhonda E Colombo, Christopher J Colombo, Christina Schofield, Evan C Ewers, Derek T Larson, Catherine M Berjohn, Ryan C Maves, Anthony C Fries, David Chang, Andrew Wyatt, Ann I Scher, Celia Byrne, Jennifer Rusiecki, David L Saunders, Jeffrey Livezey, Allison Malloy, Samantha Bazan, Carlos Maldonado, Margaret Sanchez Edwards, Katrin Mende, Mark P Simons, Robert J O'Connell, David R Tribble, Brian K Agan, Timothy H Burgess, Simon D Pollett, Stephanie A Richard
{"title":"Precision Symptom Phenotyping Identifies Early Clinical and Proteomic Predictors of Distinct COVID-19 Sequelae.","authors":"Nusrat J Epsi, Josh G Chenoweth, Paul W Blair, David A Lindholm, Anuradha Ganesan, Tahaniyat Lalani, Alfred Smith, Rupal M Mody, Milissa U Jones, Rhonda E Colombo, Christopher J Colombo, Christina Schofield, Evan C Ewers, Derek T Larson, Catherine M Berjohn, Ryan C Maves, Anthony C Fries, David Chang, Andrew Wyatt, Ann I Scher, Celia Byrne, Jennifer Rusiecki, David L Saunders, Jeffrey Livezey, Allison Malloy, Samantha Bazan, Carlos Maldonado, Margaret Sanchez Edwards, Katrin Mende, Mark P Simons, Robert J O'Connell, David R Tribble, Brian K Agan, Timothy H Burgess, Simon D Pollett, Stephanie A Richard","doi":"10.1093/infdis/jiae318","DOIUrl":null,"url":null,"abstract":"<p><strong>Background: </strong>Post-COVID conditions (PCC) are difficult to characterize, diagnose, predict, and treat due to overlapping symptoms and poorly understood pathology. Identifying inflammatory profiles may improve clinical prognostication and trial endpoints.</p><p><strong>Methods: </strong>This analysis included 1988 SARS-CoV-2 positive U.S. Military Health System beneficiaries who had quantitative post-COVID symptom scores. Among participants who reported moderate-to-severe symptoms on surveys collected 6 months post-SARS-CoV-2 infection, principal component analysis followed by k-means clustering identified distinct clusters of symptoms.</p><p><strong>Results: </strong>Three symptom-based clusters were identified: a sensory cluster (loss of smell and/or taste), a fatigue/difficulty thinking cluster, and a difficulty breathing/exercise intolerance cluster. Individuals within the sensory cluster were all outpatients during their initial COVID-19 presentation. The difficulty breathing cluster had a higher likelihood of obesity and COVID-19 hospitalization than those with no/mild symptoms at 6 months post-infection. Multinomial regression linked early post-infection D-dimer and IL-1RA elevation to fatigue/difficulty thinking and elevated ICAM-1 concentrations to sensory symptoms.</p><p><strong>Conclusions: </strong>We identified three distinct symptom-based PCC phenotypes with specific clinical risk factors and early post-infection inflammatory predictors. With further validation and characterization, this framework may allow more precise classification of PCC cases and potentially improve the diagnosis, prognostication, and treatment of PCC.</p>","PeriodicalId":50179,"journal":{"name":"Journal of Infectious Diseases","volume":" ","pages":"39-49"},"PeriodicalIF":4.5000,"publicationDate":"2025-07-30","publicationTypes":"Journal Article","fieldsOfStudy":null,"isOpenAccess":false,"openAccessPdf":"https://www.ncbi.nlm.nih.gov/pmc/articles/PMC12308661/pdf/","citationCount":"0","resultStr":null,"platform":"Semanticscholar","paperid":null,"PeriodicalName":"Journal of Infectious Diseases","FirstCategoryId":"3","ListUrlMain":"https://doi.org/10.1093/infdis/jiae318","RegionNum":2,"RegionCategory":"医学","ArticlePicture":[],"TitleCN":null,"AbstractTextCN":null,"PMCID":null,"EPubDate":"","PubModel":"","JCR":"Q2","JCRName":"IMMUNOLOGY","Score":null,"Total":0}
引用次数: 0

Abstract

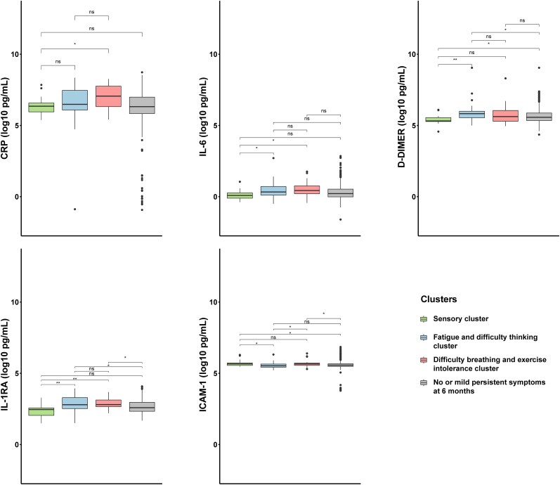
Background: Post-COVID conditions (PCC) are difficult to characterize, diagnose, predict, and treat due to overlapping symptoms and poorly understood pathology. Identifying inflammatory profiles may improve clinical prognostication and trial endpoints.

Methods: This analysis included 1988 SARS-CoV-2 positive U.S. Military Health System beneficiaries who had quantitative post-COVID symptom scores. Among participants who reported moderate-to-severe symptoms on surveys collected 6 months post-SARS-CoV-2 infection, principal component analysis followed by k-means clustering identified distinct clusters of symptoms.

Results: Three symptom-based clusters were identified: a sensory cluster (loss of smell and/or taste), a fatigue/difficulty thinking cluster, and a difficulty breathing/exercise intolerance cluster. Individuals within the sensory cluster were all outpatients during their initial COVID-19 presentation. The difficulty breathing cluster had a higher likelihood of obesity and COVID-19 hospitalization than those with no/mild symptoms at 6 months post-infection. Multinomial regression linked early post-infection D-dimer and IL-1RA elevation to fatigue/difficulty thinking and elevated ICAM-1 concentrations to sensory symptoms.

Conclusions: We identified three distinct symptom-based PCC phenotypes with specific clinical risk factors and early post-infection inflammatory predictors. With further validation and characterization, this framework may allow more precise classification of PCC cases and potentially improve the diagnosis, prognostication, and treatment of PCC.

Abstract Image

Abstract Image

Abstract Image

精准症状表型确定了不同 COVID-19 后遗症的早期临床和蛋白质组预测指标。
背景:由于症状重叠和病理不清,后 COVID 病症 (PCC) 难以定性、诊断、预测和治疗。方法:本次分析纳入了 1,988 名 SARS-CoV-2 阳性的美国军事卫生系统受益人,他们都有后 COVID 症状的量化评分。在SARS-CoV-2感染后6个月的调查中,报告有中度至重度症状的参与者中,通过主成分分析(PCA)和K均值聚类分析确定了不同的症状群:结果:确定了三个基于症状的聚类:感官聚类(嗅觉和/或味觉丧失)、疲劳/思维困难聚类和呼吸困难/运动不耐受聚类。感官群组中的患者在首次出现 COVID-19 时均为门诊患者。与感染后6个月无症状/症状轻微的患者相比,呼吸困难群组患者肥胖和COVID-19住院的可能性更高。多项式回归将感染后早期的D-二聚体和IL-1RA升高与疲劳/思维困难联系起来,ICAM-1浓度升高与感觉症状联系起来:我们发现了三种不同的基于症状的 PCC 表型,它们具有特定的临床风险因素和感染后早期炎症预测因子。随着进一步的验证和特征描述,这一框架可对 PCC 病例进行更精确的分类,并有可能改善 PCC 的诊断、预后和治疗。
本文章由计算机程序翻译,如有差异,请以英文原文为准。
求助全文
约1分钟内获得全文 求助全文
来源期刊
Journal of Infectious Diseases
Journal of Infectious Diseases 医学-传染病学
CiteScore
13.50
自引率
3.10%
发文量
449
审稿时长
2-4 weeks
期刊介绍: Published continuously since 1904, The Journal of Infectious Diseases (JID) is the premier global journal for original research on infectious diseases. The editors welcome Major Articles and Brief Reports describing research results on microbiology, immunology, epidemiology, and related disciplines, on the pathogenesis, diagnosis, and treatment of infectious diseases; on the microbes that cause them; and on disorders of host immune responses. JID is an official publication of the Infectious Diseases Society of America.
×
引用
GB/T 7714-2015
复制
MLA
复制
APA
复制
导出至
BibTeX EndNote RefMan NoteFirst NoteExpress
×
提示
您的信息不完整,为了账户安全,请先补充。
现在去补充
×
提示
您因"违规操作"
具体请查看互助需知
我知道了
×
提示
确定
请完成安全验证×
copy
已复制链接
快去分享给好友吧!
我知道了
右上角分享
点击右上角分享
0
联系我们:info@booksci.cn Book学术提供免费学术资源搜索服务,方便国内外学者检索中英文文献。致力于提供最便捷和优质的服务体验。 Copyright © 2023 布克学术 All rights reserved.
京ICP备2023020795号-1
ghs 京公网安备 11010802042870号
Book学术文献互助
Book学术文献互助群
群 号:604180095
Book学术官方微信