Identifying Factors Affecting the Survival of Patients with HIV-Associated B-Cell Lymphoma Using a Random Survival Forest Model.

IF 1.9 4区 医学 Q3 ONCOLOGY
Clinical Medicine Insights-Oncology Pub Date : 2024-06-22 eCollection Date: 2024-01-01 DOI:10.1177/11795549241260572
Huihui Zhao, Chuandong Zhu, Yun Lian, Yu Cheng, Fang Zhu, Jing Wang, Qin Zheng
{"title":"Identifying Factors Affecting the Survival of Patients with HIV-Associated B-Cell Lymphoma Using a Random Survival Forest Model.","authors":"Huihui Zhao, Chuandong Zhu, Yun Lian, Yu Cheng, Fang Zhu, Jing Wang, Qin Zheng","doi":"10.1177/11795549241260572","DOIUrl":null,"url":null,"abstract":"<p><strong>Background: </strong>There have been no reports about the application of random survival forest (RSF) model to predict disease progression of HIV-associated B-cell lymphoma.</p><p><strong>Methods: </strong>A total of 44 patients with HIV-associated B-cell lymphoma who were referred to Nanjing Second Hospital from 2012 to 2019 were included. The RSF model was used to find predictors of survival, and the results of the RSF model were compared with those of the Cox model. The data were analyzed using R software (version 4.1.1).</p><p><strong>Results: </strong>One-, 2-, and 3-year survival rates were 74.5%, 57.7%, and 48.6%, respectively, and the median survival was 59.0 months. The first 3 most important predictors of survival included lactate dehydrogenase (LDH), absolute monocyte count (AMC), and white blood cells (WBCs) count. The median survival of high-risk patients was only 4.0 months. Areas under the curve (AUCs) of the RSF model remained at more than 0.90 at 1, 2, and 3 years. The RSF model displayed a lower prediction error rate (21.9%) than the Cox model (25.4%).</p><p><strong>Conclusions: </strong>Lactate dehydrogenase, AMC, and WBCs count are the most important prognostic predictors for patients with HIV-associated B-cell lymphoma. Much larger prospective and/or multicentre studies are required to validtae this RSF model.</p>","PeriodicalId":48591,"journal":{"name":"Clinical Medicine Insights-Oncology","volume":"18 ","pages":"11795549241260572"},"PeriodicalIF":1.9000,"publicationDate":"2024-06-22","publicationTypes":"Journal Article","fieldsOfStudy":null,"isOpenAccess":false,"openAccessPdf":"https://www.ncbi.nlm.nih.gov/pmc/articles/PMC11193342/pdf/","citationCount":"0","resultStr":null,"platform":"Semanticscholar","paperid":null,"PeriodicalName":"Clinical Medicine Insights-Oncology","FirstCategoryId":"3","ListUrlMain":"https://doi.org/10.1177/11795549241260572","RegionNum":4,"RegionCategory":"医学","ArticlePicture":[],"TitleCN":null,"AbstractTextCN":null,"PMCID":null,"EPubDate":"2024/1/1 0:00:00","PubModel":"eCollection","JCR":"Q3","JCRName":"ONCOLOGY","Score":null,"Total":0}
引用次数: 0

Abstract

Background: There have been no reports about the application of random survival forest (RSF) model to predict disease progression of HIV-associated B-cell lymphoma.

Methods: A total of 44 patients with HIV-associated B-cell lymphoma who were referred to Nanjing Second Hospital from 2012 to 2019 were included. The RSF model was used to find predictors of survival, and the results of the RSF model were compared with those of the Cox model. The data were analyzed using R software (version 4.1.1).

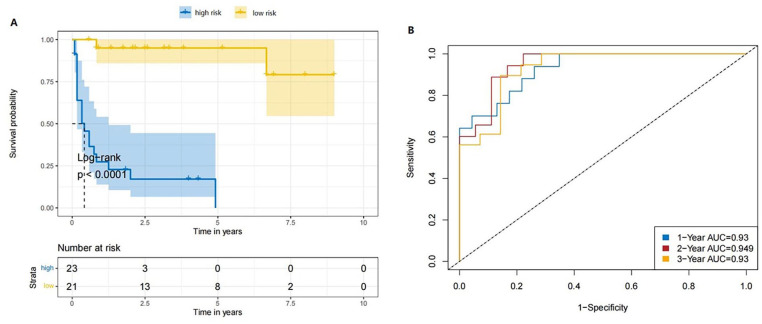
Results: One-, 2-, and 3-year survival rates were 74.5%, 57.7%, and 48.6%, respectively, and the median survival was 59.0 months. The first 3 most important predictors of survival included lactate dehydrogenase (LDH), absolute monocyte count (AMC), and white blood cells (WBCs) count. The median survival of high-risk patients was only 4.0 months. Areas under the curve (AUCs) of the RSF model remained at more than 0.90 at 1, 2, and 3 years. The RSF model displayed a lower prediction error rate (21.9%) than the Cox model (25.4%).

Conclusions: Lactate dehydrogenase, AMC, and WBCs count are the most important prognostic predictors for patients with HIV-associated B-cell lymphoma. Much larger prospective and/or multicentre studies are required to validtae this RSF model.

Abstract Image

Abstract Image

Abstract Image

利用随机生存森林模型识别影响 HIV 相关 B 细胞淋巴瘤患者生存的因素
背景目前还没有关于应用随机生存森林(RSF)模型预测HIV相关B细胞淋巴瘤疾病进展的报道:方法:纳入2012-2019年南京市第二医院转诊的44例HIV相关B细胞淋巴瘤患者。采用RSF模型寻找生存预测因子,并将RSF模型的结果与Cox模型的结果进行比较。数据使用R软件(4.1.1版)进行分析:1年、2年和3年生存率分别为74.5%、57.7%和48.6%,中位生存期为59.0个月。生存率的前三个最重要的预测指标包括乳酸脱氢酶(LDH)、单核细胞绝对计数(AMC)和白细胞计数。高危患者的中位生存期仅为 4.0 个月。RSF模型的曲线下面积(AUC)在1年、2年和3年时一直保持在0.90以上。RSF 模型的预测错误率(21.9%)低于 Cox 模型(25.4%):乳酸脱氢酶、AMC和白细胞计数是HIV相关B细胞淋巴瘤患者最重要的预后预测指标。需要更大规模的前瞻性和/或多中心研究来验证这一RSF模型。
本文章由计算机程序翻译,如有差异,请以英文原文为准。
求助全文
约1分钟内获得全文 求助全文
来源期刊
CiteScore
2.40
自引率
4.50%
发文量
57
审稿时长
8 weeks
期刊介绍: Clinical Medicine Insights: Oncology is an international, peer-reviewed, open access journal that focuses on all aspects of cancer research and treatment, in addition to related genetic, pathophysiological and epidemiological topics. Of particular but not exclusive importance are molecular biology, clinical interventions, controlled trials, therapeutics, pharmacology and drug delivery, and techniques of cancer surgery. The journal welcomes unsolicited article proposals.
×
引用
GB/T 7714-2015
复制
MLA
复制
APA
复制
导出至
BibTeX EndNote RefMan NoteFirst NoteExpress
×
提示
您的信息不完整,为了账户安全,请先补充。
现在去补充
×
提示
您因"违规操作"
具体请查看互助需知
我知道了
×
提示
确定
请完成安全验证×
copy
已复制链接
快去分享给好友吧!
我知道了
右上角分享
点击右上角分享
0
联系我们:info@booksci.cn Book学术提供免费学术资源搜索服务,方便国内外学者检索中英文文献。致力于提供最便捷和优质的服务体验。 Copyright © 2023 布克学术 All rights reserved.
京ICP备2023020795号-1
ghs 京公网安备 11010802042870号
Book学术文献互助
Book学术文献互助群
群 号:604180095
Book学术官方微信