Practical recommendations for addressing the psychological needs of unaccompanied asylum-seeking children in England: A literature and service review.

IF 2
Clinical child psychology and psychiatry Pub Date : 2025-04-01 Epub Date: 2024-06-13 DOI:10.1177/13591045241252858
See Heng Yim, Glorianne Said, Dorothy King
{"title":"Practical recommendations for addressing the psychological needs of unaccompanied asylum-seeking children in England: A literature and service review.","authors":"See Heng Yim, Glorianne Said, Dorothy King","doi":"10.1177/13591045241252858","DOIUrl":null,"url":null,"abstract":"<p><p>BackgroundGlobally, there is an increasing trend of forcibly displaced people, of which over 40% are children. Unaccompanied asylum-seeking children (UASC) are at risk of experiencing psychological distress and developing mental health difficulties. However, in the UK, the approach from statutory mental health services is inconsistent across different geographical areas.AimThis report outlines recommendations for statutory mental health services in the UK in relation to working with UASC.MethodA rapid evaluation method was adopted including interviewing fifteen key informants as well as reviewing existing clinical guidelines. Key informants included clinicians, service managers, social workers and commissioners from Local Authorities, National Health Services, and third sector partners. Recommendations were synthesised using narrative synthesis.Results and conclusionExisting service provision and barriers to the implementation of interventions were summarised and compared against existing guidelines. The report presents recommendations on assessments, screening tools, and psychological interventions for developing a pathway for UASC within statutory services.</p>","PeriodicalId":93938,"journal":{"name":"Clinical child psychology and psychiatry","volume":" ","pages":"245-263"},"PeriodicalIF":2.0000,"publicationDate":"2025-04-01","publicationTypes":"Journal Article","fieldsOfStudy":null,"isOpenAccess":false,"openAccessPdf":"https://www.ncbi.nlm.nih.gov/pmc/articles/PMC11951383/pdf/","citationCount":"0","resultStr":null,"platform":"Semanticscholar","paperid":null,"PeriodicalName":"Clinical child psychology and psychiatry","FirstCategoryId":"1085","ListUrlMain":"https://doi.org/10.1177/13591045241252858","RegionNum":0,"RegionCategory":null,"ArticlePicture":[],"TitleCN":null,"AbstractTextCN":null,"PMCID":null,"EPubDate":"2024/6/13 0:00:00","PubModel":"Epub","JCR":"","JCRName":"","Score":null,"Total":0}
引用次数: 0

Abstract

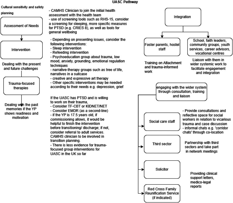
BackgroundGlobally, there is an increasing trend of forcibly displaced people, of which over 40% are children. Unaccompanied asylum-seeking children (UASC) are at risk of experiencing psychological distress and developing mental health difficulties. However, in the UK, the approach from statutory mental health services is inconsistent across different geographical areas.AimThis report outlines recommendations for statutory mental health services in the UK in relation to working with UASC.MethodA rapid evaluation method was adopted including interviewing fifteen key informants as well as reviewing existing clinical guidelines. Key informants included clinicians, service managers, social workers and commissioners from Local Authorities, National Health Services, and third sector partners. Recommendations were synthesised using narrative synthesis.Results and conclusionExisting service provision and barriers to the implementation of interventions were summarised and compared against existing guidelines. The report presents recommendations on assessments, screening tools, and psychological interventions for developing a pathway for UASC within statutory services.

Abstract Image

Abstract Image

Abstract Image

关于解决英格兰无人陪伴的寻求庇护儿童心理需求的实用建议:文献和服务回顾。
背景:在全球范围内,被迫流离失所者的人数呈上升趋势,其中 40% 以上是儿童。无人陪伴的寻求庇护儿童(UASC)有可能遭受心理困扰,出现心理健康问题。然而,在英国,不同地区的法定心理健康服务机构所采取的方法并不一致。目的:本报告概述了英国法定心理健康服务机构在与无人陪伴的寻求庇护儿童(UASC)合作方面的建议:方法:采用了快速评估法,包括采访 15 位关键信息提供者以及查阅现有的临床指南。主要信息提供者包括临床医生、服务经理、社会工作者以及来自地方政府、国家卫生服务机构和第三部门合作伙伴的专员。采用叙事综合法对建议进行了归纳:报告总结了现有服务的提供情况以及实施干预措施的障碍,并与现有指南进行了比较。本报告就评估、筛查工具和心理干预措施提出了建议,以便在法定服务范围内为孤残儿童制定一条出路。
本文章由计算机程序翻译,如有差异,请以英文原文为准。
求助全文
约1分钟内获得全文 求助全文
来源期刊
自引率
0.00%
发文量
0
×
引用
GB/T 7714-2015
复制
MLA
复制
APA
复制
导出至
BibTeX EndNote RefMan NoteFirst NoteExpress
×
提示
您的信息不完整,为了账户安全,请先补充。
现在去补充
×
提示
您因"违规操作"
具体请查看互助需知
我知道了
×
提示
确定
请完成安全验证×
copy
已复制链接
快去分享给好友吧!
我知道了
右上角分享
点击右上角分享
0
联系我们:info@booksci.cn Book学术提供免费学术资源搜索服务,方便国内外学者检索中英文文献。致力于提供最便捷和优质的服务体验。 Copyright © 2023 布克学术 All rights reserved.
京ICP备2023020795号-1
ghs 京公网安备 11010802042870号
Book学术文献互助
Book学术文献互助群
群 号:604180095
Book学术官方微信