Physical working conditions over time: a repeated cross-sectional study in German employees.

IF 2.7 4区 医学 Q2 PUBLIC, ENVIRONMENTAL & OCCUPATIONAL HEALTH
Johannes Beller, Julia Graßhoff, Batoul Safieddine
{"title":"Physical working conditions over time: a repeated cross-sectional study in German employees.","authors":"Johannes Beller, Julia Graßhoff, Batoul Safieddine","doi":"10.1186/s12995-024-00423-8","DOIUrl":null,"url":null,"abstract":"<p><strong>Background: </strong>This study aimed to examine time trends in physical working conditions across and within occupational groups in Germany between 2006 and 2018.</p><p><strong>Methods: </strong>Logistic regression analyses were conducted using data from the BIBB/BAuA Employment Surveys in 2006, 2012, and 2018, with a total sample size of 59,006 participants. The study investigated changes in various self-reported occupational exposure measures over time, along with demographic shifts in the workforce.</p><p><strong>Results: </strong>The results showed overall improvements in most occupational exposure measures during the study period, alongside an aging and upskilling workforce. However, exposure to awkward postures, microorganisms, and, to a lesser extent, noise increased. Substantial variation was observed between occupational groups, with more favourable trends among white-collar high-skilled and blue-collar low-skilled workers, and less favourable trends among white-collar low-skilled and blue-collar high-skilled workers.</p><p><strong>Conclusions: </strong>While trends in physical working conditions in Germany are partly promising, some exposures are worsening, and substantial inequalities between occupations persist. As occupational exposures remain common, there is still a need for targeted interventions to improve working conditions, particularly in higher-risk occupations.</p>","PeriodicalId":48903,"journal":{"name":"Journal of Occupational Medicine and Toxicology","volume":"19 1","pages":"24"},"PeriodicalIF":2.7000,"publicationDate":"2024-06-10","publicationTypes":"Journal Article","fieldsOfStudy":null,"isOpenAccess":false,"openAccessPdf":"https://www.ncbi.nlm.nih.gov/pmc/articles/PMC11165766/pdf/","citationCount":"0","resultStr":null,"platform":"Semanticscholar","paperid":null,"PeriodicalName":"Journal of Occupational Medicine and Toxicology","FirstCategoryId":"3","ListUrlMain":"https://doi.org/10.1186/s12995-024-00423-8","RegionNum":4,"RegionCategory":"医学","ArticlePicture":[],"TitleCN":null,"AbstractTextCN":null,"PMCID":null,"EPubDate":"","PubModel":"","JCR":"Q2","JCRName":"PUBLIC, ENVIRONMENTAL & OCCUPATIONAL HEALTH","Score":null,"Total":0}
引用次数: 0

Abstract

Background: This study aimed to examine time trends in physical working conditions across and within occupational groups in Germany between 2006 and 2018.

Methods: Logistic regression analyses were conducted using data from the BIBB/BAuA Employment Surveys in 2006, 2012, and 2018, with a total sample size of 59,006 participants. The study investigated changes in various self-reported occupational exposure measures over time, along with demographic shifts in the workforce.

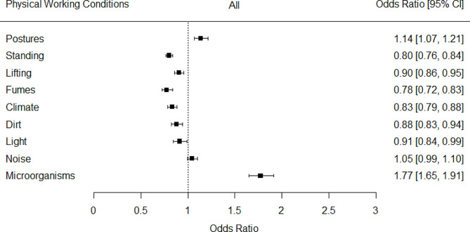
Results: The results showed overall improvements in most occupational exposure measures during the study period, alongside an aging and upskilling workforce. However, exposure to awkward postures, microorganisms, and, to a lesser extent, noise increased. Substantial variation was observed between occupational groups, with more favourable trends among white-collar high-skilled and blue-collar low-skilled workers, and less favourable trends among white-collar low-skilled and blue-collar high-skilled workers.

Conclusions: While trends in physical working conditions in Germany are partly promising, some exposures are worsening, and substantial inequalities between occupations persist. As occupational exposures remain common, there is still a need for targeted interventions to improve working conditions, particularly in higher-risk occupations.

Abstract Image

Abstract Image

随时间变化的体力工作条件:对德国雇员的重复横截面研究。
研究背景本研究旨在考察2006年至2018年期间德国各职业组之间和职业组内部身体工作条件的时间趋势:利用 2006 年、2012 年和 2018 年 BIBB/BAuA 就业调查的数据进行了逻辑回归分析,总样本量为 59006 名参与者。研究调查了各种自我报告的职业暴露量随时间推移而发生的变化,以及劳动力人口结构的变化:研究结果表明,在研究期间,随着劳动力老龄化和技能提升,大多数职业暴露测量指标总体上有所改善。然而,姿势不正确、微生物以及噪音(程度较轻)的暴露量有所增加。不同职业群体之间存在很大差异,高技能白领和低技能蓝领工人的趋势更为有利,而低技能白领和高技能蓝领工人的趋势则不太有利:结论:虽然德国的实际工作条件在一定程度上呈现出良好的发展趋势,但某些暴露情况正在恶化,不同职业之间仍然存在严重的不平等。由于职业暴露仍然普遍存在,因此仍有必要采取有针对性的干预措施来改善工作条件,尤其是高风险职业的工作条件。
本文章由计算机程序翻译,如有差异,请以英文原文为准。
求助全文
约1分钟内获得全文 求助全文
来源期刊
Journal of Occupational Medicine and Toxicology
Journal of Occupational Medicine and Toxicology PUBLIC, ENVIRONMENTAL & OCCUPATIONAL HEALTH-
CiteScore
6.00
自引率
0.00%
发文量
23
审稿时长
19 weeks
期刊介绍: Aimed at clinicians and researchers, the Journal of Occupational Medicine and Toxicology is a multi-disciplinary, open access journal which publishes original research on the clinical and scientific aspects of occupational and environmental health. With high-quality peer review and quick decision times, we welcome submissions on the diagnosis, prevention, management, and scientific analysis of occupational diseases, injuries, and disability. The journal also covers the promotion of health of workers, their families, and communities, and ranges from rehabilitation to tropical medicine and public health aspects.
×
引用
GB/T 7714-2015
复制
MLA
复制
APA
复制
导出至
BibTeX EndNote RefMan NoteFirst NoteExpress
×
提示
您的信息不完整,为了账户安全,请先补充。
现在去补充
×
提示
您因"违规操作"
具体请查看互助需知
我知道了
×
提示
确定
请完成安全验证×
copy
已复制链接
快去分享给好友吧!
我知道了
右上角分享
点击右上角分享
0
联系我们:info@booksci.cn Book学术提供免费学术资源搜索服务,方便国内外学者检索中英文文献。致力于提供最便捷和优质的服务体验。 Copyright © 2023 布克学术 All rights reserved.
京ICP备2023020795号-1
ghs 京公网安备 11010802042870号
Book学术文献互助
Book学术文献互助群
群 号:604180095
Book学术官方微信