Industrial workers and bullying: a systematic review and meta-analysis of workplace violence.

IF 1.6 4区 医学 Q3 ENVIRONMENTAL SCIENCES
Industrial Health Pub Date : 2025-01-24 Epub Date: 2024-06-06 DOI:10.2486/indhealth.2023-0114
Benito Zamorano-González, Fabiola Pena-Cardenas, Víctor Parra-Sierra, Gloria Imelda Hernandez-Rodriguez
{"title":"Industrial workers and bullying: a systematic review and meta-analysis of workplace violence.","authors":"Benito Zamorano-González, Fabiola Pena-Cardenas, Víctor Parra-Sierra, Gloria Imelda Hernandez-Rodriguez","doi":"10.2486/indhealth.2023-0114","DOIUrl":null,"url":null,"abstract":"<p><p>Workplace violence is a significant problem in industry, especially among rank-and-file workers, known as \"blue-collar workers\". This systematic review and meta-analysis aim to evaluate the suitability of the reduced Negative Acts Questionnaire (NAQ-R) as an instrument to measure workplace violence in this type of population and synthesize the results of studies that have used it in different industrial sectors. A systematic review was conducted in accordance with the PRISMA 2020 statement. Publications describing populations of industrial workers were identified and included in the meta-analysis. For meta-analysis, we extracted data that allowed us to estimate the effect size of the included studies. We used a random-effects model to estimate the overall effect size and assessed heterogeneity between studies using the I<sup>2</sup> statistic. The global effect size test showed that the overall effect size was significantly different from zero (3.00, t=22.28, p<0.001), indicating an overall effect in relation to workplace violence measured by the NAQ-R in industrial workers. Our results support the claim that the NAQ-R is an effective tool for assessing workplace violence among industrial workers. These findings have important implications for practitioners and researchers working in the field of industrial psychology and occupational health.</p>","PeriodicalId":13531,"journal":{"name":"Industrial Health","volume":" ","pages":"53-61"},"PeriodicalIF":1.6000,"publicationDate":"2025-01-24","publicationTypes":"Journal Article","fieldsOfStudy":null,"isOpenAccess":false,"openAccessPdf":"https://www.ncbi.nlm.nih.gov/pmc/articles/PMC11779514/pdf/","citationCount":"0","resultStr":null,"platform":"Semanticscholar","paperid":null,"PeriodicalName":"Industrial Health","FirstCategoryId":"3","ListUrlMain":"https://doi.org/10.2486/indhealth.2023-0114","RegionNum":4,"RegionCategory":"医学","ArticlePicture":[],"TitleCN":null,"AbstractTextCN":null,"PMCID":null,"EPubDate":"2024/6/6 0:00:00","PubModel":"Epub","JCR":"Q3","JCRName":"ENVIRONMENTAL SCIENCES","Score":null,"Total":0}
引用次数: 0

Abstract

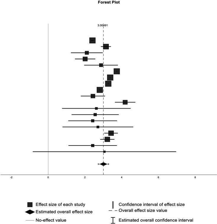
Workplace violence is a significant problem in industry, especially among rank-and-file workers, known as "blue-collar workers". This systematic review and meta-analysis aim to evaluate the suitability of the reduced Negative Acts Questionnaire (NAQ-R) as an instrument to measure workplace violence in this type of population and synthesize the results of studies that have used it in different industrial sectors. A systematic review was conducted in accordance with the PRISMA 2020 statement. Publications describing populations of industrial workers were identified and included in the meta-analysis. For meta-analysis, we extracted data that allowed us to estimate the effect size of the included studies. We used a random-effects model to estimate the overall effect size and assessed heterogeneity between studies using the I2 statistic. The global effect size test showed that the overall effect size was significantly different from zero (3.00, t=22.28, p<0.001), indicating an overall effect in relation to workplace violence measured by the NAQ-R in industrial workers. Our results support the claim that the NAQ-R is an effective tool for assessing workplace violence among industrial workers. These findings have important implications for practitioners and researchers working in the field of industrial psychology and occupational health.

Abstract Image

Abstract Image

产业工人与欺凌:关于工作场所暴力的系统回顾和荟萃分析。
工作场所暴力是工业领域的一个严重问题,尤其是在被称为 "蓝领工人 "的普通工人中。本系统综述和荟萃分析旨在评估减少负面行为问卷(NAQ-R)作为测量这类人群工作场所暴力的工具的适用性,并综合在不同工业部门使用该工具的研究结果。根据 PRISMA 2020 声明进行了系统性回顾。确定了描述产业工人群体的出版物,并将其纳入荟萃分析。在进行荟萃分析时,我们提取的数据可用于估算纳入研究的效应大小。我们使用随机效应模型估算总体效应大小,并使用 I² 统计量评估研究之间的异质性。总体效应大小检验显示,总体效应大小与零有显著差异(3.00,t=22.28,p
本文章由计算机程序翻译,如有差异,请以英文原文为准。
求助全文
约1分钟内获得全文 求助全文
来源期刊
Industrial Health
Industrial Health 医学-毒理学
CiteScore
3.40
自引率
5.00%
发文量
64
审稿时长
6-12 weeks
期刊介绍: INDUSTRIAL HEALTH covers all aspects of occupational medicine, ergonomics, industrial hygiene, engineering, safety and policy sciences. The journal helps promote solutions for the control and improvement of working conditions, and for the application of valuable research findings to the actual working environment.
×
引用
GB/T 7714-2015
复制
MLA
复制
APA
复制
导出至
BibTeX EndNote RefMan NoteFirst NoteExpress
×
提示
您的信息不完整,为了账户安全,请先补充。
现在去补充
×
提示
您因"违规操作"
具体请查看互助需知
我知道了
×
提示
确定
请完成安全验证×
copy
已复制链接
快去分享给好友吧!
我知道了
右上角分享
点击右上角分享
0
联系我们:info@booksci.cn Book学术提供免费学术资源搜索服务,方便国内外学者检索中英文文献。致力于提供最便捷和优质的服务体验。 Copyright © 2023 布克学术 All rights reserved.
京ICP备2023020795号-1
ghs 京公网安备 11010802042870号
Book学术文献互助
Book学术文献互助群
群 号:604180095
Book学术官方微信