Testing the Impact of Variations in Administration on the Kessler Psychological Distress Scale (K10).

IF 3.4 2区 心理学 Q1 PSYCHOLOGY, CLINICAL
Assessment Pub Date : 2025-06-01 Epub Date: 2024-06-05 DOI:10.1177/10731911241256430
Miranda R Chilver, Richard A Burns, Ferdi Botha, Peter Butterworth
{"title":"Testing the Impact of Variations in Administration on the Kessler Psychological Distress Scale (K10).","authors":"Miranda R Chilver, Richard A Burns, Ferdi Botha, Peter Butterworth","doi":"10.1177/10731911241256430","DOIUrl":null,"url":null,"abstract":"<p><p>Self-report measures are useful in psychological research and practice, but scores may be impacted by administration methods. This study investigated whether changing the recall period (from 30 to 7 days) and response option order (from ascending to descending) alters the score distribution of the Kessler Psychological Distress Scale (K10). Participants were presented with the K10 with either different recall periods or different response option orders. There was weak evidence of lower mean K10 scores when using a 7-day recall period than when using the 30-day recall period (B = 1.96, 95% CI [0.04-3.90]) but no evidence of a change in the estimated prevalence of very high psychological distress. Presenting the response options in ascending order did not affect mean scores, but there was weak evidence of reduced prevalence of very high distress relative to the descending order (incidence rate ratio [IRR] = 0.60, 95% CI [0.36-0.98]). These findings suggest that varying the administration method may result in minor differences in population estimates of very high psychological distress when using the K10.</p>","PeriodicalId":8577,"journal":{"name":"Assessment","volume":" ","pages":"622-630"},"PeriodicalIF":3.4000,"publicationDate":"2025-06-01","publicationTypes":"Journal Article","fieldsOfStudy":null,"isOpenAccess":false,"openAccessPdf":"https://www.ncbi.nlm.nih.gov/pmc/articles/PMC12009444/pdf/","citationCount":"0","resultStr":null,"platform":"Semanticscholar","paperid":null,"PeriodicalName":"Assessment","FirstCategoryId":"102","ListUrlMain":"https://doi.org/10.1177/10731911241256430","RegionNum":2,"RegionCategory":"心理学","ArticlePicture":[],"TitleCN":null,"AbstractTextCN":null,"PMCID":null,"EPubDate":"2024/6/5 0:00:00","PubModel":"Epub","JCR":"Q1","JCRName":"PSYCHOLOGY, CLINICAL","Score":null,"Total":0}
引用次数: 0

Abstract

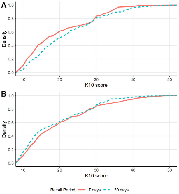
Self-report measures are useful in psychological research and practice, but scores may be impacted by administration methods. This study investigated whether changing the recall period (from 30 to 7 days) and response option order (from ascending to descending) alters the score distribution of the Kessler Psychological Distress Scale (K10). Participants were presented with the K10 with either different recall periods or different response option orders. There was weak evidence of lower mean K10 scores when using a 7-day recall period than when using the 30-day recall period (B = 1.96, 95% CI [0.04-3.90]) but no evidence of a change in the estimated prevalence of very high psychological distress. Presenting the response options in ascending order did not affect mean scores, but there was weak evidence of reduced prevalence of very high distress relative to the descending order (incidence rate ratio [IRR] = 0.60, 95% CI [0.36-0.98]). These findings suggest that varying the administration method may result in minor differences in population estimates of very high psychological distress when using the K10.

Abstract Image

Abstract Image

Abstract Image

测试凯斯勒心理压力量表 (K10) 施测方式变化的影响。
自我报告量表在心理学研究和实践中非常有用,但其得分可能会受到施测方法的影响。本研究调查了改变回忆期(从 30 天到 7 天)和回答选项顺序(从升序到降序)是否会改变凯斯勒心理压力量表(K10)的得分分布。我们向参与者展示了不同回忆期或不同回答选项顺序的 K10 量表。有微弱证据表明,使用 7 天回忆期的 K10 平均得分低于使用 30 天回忆期的 K10 平均得分(B = 1.96,95% CI [0.04-3.90]),但没有证据表明极度心理困扰的估计发生率发生了变化。按升序排列回答选项不会影响平均得分,但有微弱证据表明,相对于降序排列,极度心理困扰的发生率有所降低(发生率比 [IRR] = 0.60,95% CI [0.36-0.98])。这些研究结果表明,在使用 K10 时,不同的施测方法可能会导致极度心理困扰人群估计值的微小差异。
本文章由计算机程序翻译,如有差异,请以英文原文为准。
求助全文
约1分钟内获得全文 求助全文
来源期刊
Assessment
Assessment PSYCHOLOGY, CLINICAL-
CiteScore
8.90
自引率
2.60%
发文量
86
期刊介绍: Assessment publishes articles in the domain of applied clinical assessment. The emphasis of this journal is on publication of information of relevance to the use of assessment measures, including test development, validation, and interpretation practices. The scope of the journal includes research that can inform assessment practices in mental health, forensic, medical, and other applied settings. Papers that focus on the assessment of cognitive and neuropsychological functioning, personality, and psychopathology are invited. Most papers published in Assessment report the results of original empirical research, however integrative review articles and scholarly case studies will also be considered.
×
引用
GB/T 7714-2015
复制
MLA
复制
APA
复制
导出至
BibTeX EndNote RefMan NoteFirst NoteExpress
×
提示
您的信息不完整,为了账户安全,请先补充。
现在去补充
×
提示
您因"违规操作"
具体请查看互助需知
我知道了
×
提示
确定
请完成安全验证×
copy
已复制链接
快去分享给好友吧!
我知道了
右上角分享
点击右上角分享
0
联系我们:info@booksci.cn Book学术提供免费学术资源搜索服务,方便国内外学者检索中英文文献。致力于提供最便捷和优质的服务体验。 Copyright © 2023 布克学术 All rights reserved.
京ICP备2023020795号-1
ghs 京公网安备 11010802042870号
Book学术文献互助
Book学术文献互助群
群 号:604180095
Book学术官方微信