Force Production Measurements During a Supine Medicine Ball Throw: a Reliability and Correlation Study.

IF 1.6 4区 医学 Q4 NEUROSCIENCES
Evan B Johnson, Pratibha S Maurya, Kayla P Sisneros, Benton R Ford, Ty B Palmer
{"title":"Force Production Measurements During a Supine Medicine Ball Throw: a Reliability and Correlation Study.","authors":"Evan B Johnson, Pratibha S Maurya, Kayla P Sisneros, Benton R Ford, Ty B Palmer","doi":"","DOIUrl":null,"url":null,"abstract":"<p><strong>Objectives: </strong>This study aimed to examine the reliability of supine medicine ball throw peak force and rate of force development (RFD) measurements. A secondary aim was to investigate the correlations between these measurements and vertical jump height.</p><p><strong>Methods: </strong>Twenty young women (21±3 years) reported for experimental testing on two different occasions. Supine medicine ball throw assessments were performed during each testing session to assess peak force, RFDmax, and RFD at specific percentages of peak force (RFD30% and RFD40-80%). Vertical jumps were performed on a jump mat. The jump mat measured vertical jump height based on flight time.</p><p><strong>Results: </strong>Good intraclass correlation coefficients (≥0.82) and coefficients of variation (≤14.0%) were observed between sessions for peak force, RFDmax, and RFD40-80%, but not for RFD30% (0.55, 27.2%). There were significant correlations between jump height and peak force (r=0.483, P=0.031), RFDmax (r=0.484, P=0.031), and RFD40-80% (r=0.491, P=0.028). There was no significant correlation between jump height and RFD30% (r=0.359, P=0.120).</p><p><strong>Conclusions: </strong>Our results showed that supine medicine ball throw peak force, RFDmax, and RFD40-80% were reliable measures for assessing upper-body explosive strength in young adults. These measurements were significantly associated with vertical jump height and therefore, may be effective predictors of one's athletic ability.</p>","PeriodicalId":16430,"journal":{"name":"Journal of musculoskeletal & neuronal interactions","volume":"24 2","pages":"120-126"},"PeriodicalIF":1.6000,"publicationDate":"2024-06-01","publicationTypes":"Journal Article","fieldsOfStudy":null,"isOpenAccess":false,"openAccessPdf":"https://www.ncbi.nlm.nih.gov/pmc/articles/PMC11145318/pdf/","citationCount":"0","resultStr":null,"platform":"Semanticscholar","paperid":null,"PeriodicalName":"Journal of musculoskeletal & neuronal interactions","FirstCategoryId":"3","ListUrlMain":"","RegionNum":4,"RegionCategory":"医学","ArticlePicture":[],"TitleCN":null,"AbstractTextCN":null,"PMCID":null,"EPubDate":"","PubModel":"","JCR":"Q4","JCRName":"NEUROSCIENCES","Score":null,"Total":0}
引用次数: 0

Abstract

Objectives: This study aimed to examine the reliability of supine medicine ball throw peak force and rate of force development (RFD) measurements. A secondary aim was to investigate the correlations between these measurements and vertical jump height.

Methods: Twenty young women (21±3 years) reported for experimental testing on two different occasions. Supine medicine ball throw assessments were performed during each testing session to assess peak force, RFDmax, and RFD at specific percentages of peak force (RFD30% and RFD40-80%). Vertical jumps were performed on a jump mat. The jump mat measured vertical jump height based on flight time.

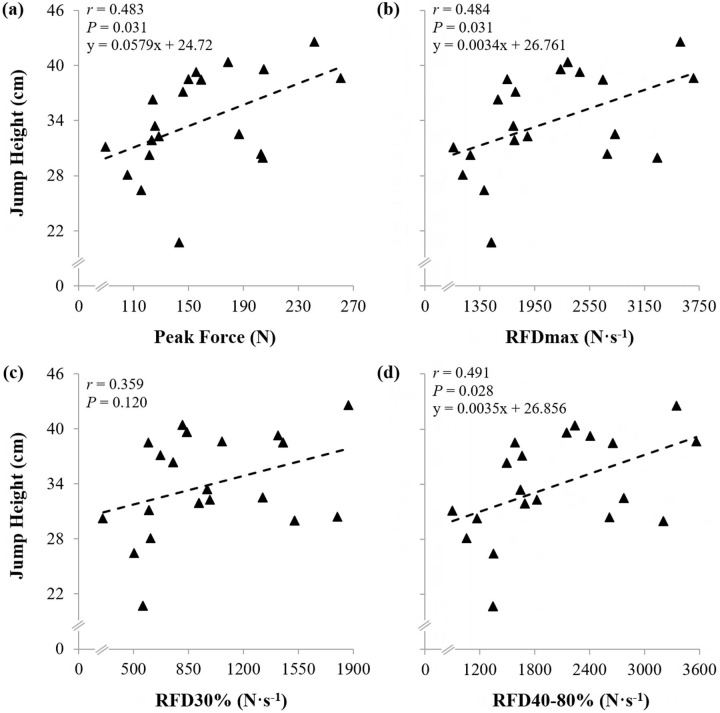
Results: Good intraclass correlation coefficients (≥0.82) and coefficients of variation (≤14.0%) were observed between sessions for peak force, RFDmax, and RFD40-80%, but not for RFD30% (0.55, 27.2%). There were significant correlations between jump height and peak force (r=0.483, P=0.031), RFDmax (r=0.484, P=0.031), and RFD40-80% (r=0.491, P=0.028). There was no significant correlation between jump height and RFD30% (r=0.359, P=0.120).

Conclusions: Our results showed that supine medicine ball throw peak force, RFDmax, and RFD40-80% were reliable measures for assessing upper-body explosive strength in young adults. These measurements were significantly associated with vertical jump height and therefore, may be effective predictors of one's athletic ability.

Abstract Image

Abstract Image

Abstract Image

仰卧投掷药球时的发力测量:可靠性和相关性研究。
研究目的本研究旨在检验仰卧药球投掷峰值力和力量发展速率(RFD)测量值的可靠性。次要目的是研究这些测量值与垂直跳跃高度之间的相关性:方法:20 名年轻女性(21±3 岁)在两个不同的场合接受了实验测试。在每次测试中都进行了仰卧药球投掷评估,以评估峰值力、RFDmax 和峰值力特定百分比的 RFD(RFD30% 和 RFD40-80%)。立定跳远在跳垫上进行。跳垫根据飞行时间测量纵跳高度:在各次训练之间,峰值力、RFDmax 和 RFD40-80% 的类内相关系数(≥0.82)和变异系数(≤14.0%)良好,但 RFD30% 的类内相关系数(0.55,27.2%)不佳。跳高与峰值力(r=0.483,P=0.031)、RFDmax(r=0.484,P=0.031)和 RFD40-80% (r=0.491,P=0.028)之间存在明显的相关性。跳跃高度与 RFD30% 之间无明显相关性(r=0.359,P=0.120):我们的研究结果表明,仰卧药球投掷峰值力、RFDmax 和 RFD40-80% 是评估青壮年上肢爆发力的可靠指标。这些测量值与垂直跳跃高度明显相关,因此可以有效预测一个人的运动能力。
本文章由计算机程序翻译,如有差异,请以英文原文为准。
求助全文
约1分钟内获得全文 求助全文
来源期刊
CiteScore
3.40
自引率
0.00%
发文量
67
审稿时长
>12 weeks
期刊介绍: The Journal of Musculoskeletal and Neuronal Interactions (JMNI) is an academic journal dealing with the pathophysiology and treatment of musculoskeletal disorders. It is published quarterly (months of issue March, June, September, December). Its purpose is to publish original, peer-reviewed papers of research and clinical experience in all areas of the musculoskeletal system and its interactions with the nervous system, especially metabolic bone diseases, with particular emphasis on osteoporosis. Additionally, JMNI publishes the Abstracts from the biannual meetings of the International Society of Musculoskeletal and Neuronal Interactions, and hosts Abstracts of other meetings on topics related to the aims and scope of JMNI.
×
引用
GB/T 7714-2015
复制
MLA
复制
APA
复制
导出至
BibTeX EndNote RefMan NoteFirst NoteExpress
×
提示
您的信息不完整,为了账户安全,请先补充。
现在去补充
×
提示
您因"违规操作"
具体请查看互助需知
我知道了
×
提示
确定
请完成安全验证×
copy
已复制链接
快去分享给好友吧!
我知道了
右上角分享
点击右上角分享
0
联系我们:info@booksci.cn Book学术提供免费学术资源搜索服务,方便国内外学者检索中英文文献。致力于提供最便捷和优质的服务体验。 Copyright © 2023 布克学术 All rights reserved.
京ICP备2023020795号-1
ghs 京公网安备 11010802042870号
Book学术文献互助
Book学术文献互助群
群 号:604180095
Book学术官方微信