Investigation of Herb-Drug Interactions between Xylopia aethiopica, Its Principal Constituent Xylopic Acid, and Antidepressants.

IF 3 Q3 PHARMACOLOGY & PHARMACY
Advances in Pharmacological and Pharmaceutical Sciences Pub Date : 2024-05-25 eCollection Date: 2024-01-01 DOI:10.1155/2024/9923801
Christian C Ndu, Wonder K M Abotsi, Priscilla K Mante
{"title":"Investigation of Herb-Drug Interactions between <i>Xylopia aethiopica</i>, Its Principal Constituent Xylopic Acid, and Antidepressants.","authors":"Christian C Ndu, Wonder K M Abotsi, Priscilla K Mante","doi":"10.1155/2024/9923801","DOIUrl":null,"url":null,"abstract":"<p><strong>Introduction: </strong>Depression affects an estimated 350 million people worldwide and is implicated in up to 60% of suicides. Only about 60-70% of patients respond to antidepressant therapy. One of the factors causing patients to not attain therapeutic goals is herb-drug interactions.</p><p><strong>Objective: </strong>To investigate any potential herb-drug interaction that might exist between <i>Xylopia aethiopica</i> extract (XAE) or xylopic acid (XA) and selected conventional antidepressants (imipramine, fluoxetine, and venlafaxine) in mice.</p><p><strong>Methods: </strong>Dried, powdered fruits of <i>Xylopia aethiopica</i> were cold macerated in 70% ethanol to obtain XAE. XA was isolated by cold macerating dried fruits of <i>Xylopia aethiopica</i> in petroleum ether, crystallising impure XA with ethyl acetate, and purifying XA crystals with 96% ethanol. Pharmacodynamic interaction was assessed via isobolographic analysis of tail suspension tests of the agents individually and in their respective combinations. Pharmacokinetic interaction was assessed by monitoring the effect of coadministrations on the plasma concentration of antidepressants and xylopic acid via HPLC analysis.</p><p><strong>Results: </strong>XAE and XA in mice showed significant antidepressant-like activity in the tail suspension test. With interaction indices less than one, synergism of antidepressant effect was observed in the <i>Xylopia aethiopica</i> extract/fluoxetine (<i>γ</i><sub>XAE/FL</sub> = 0.502), <i>Xylopia aethiopica</i> extract/imipramine (<i>γ</i><sub>XAE/IP</sub> = 0.322), <i>Xylopia aethiopica</i> extract/venlafaxine (<i>γ</i><sub>XAE/VL</sub> = 0.601), xylopic acid/imipramine (<i>γ</i><sub>XA/IP</sub> = 0.556), xylopic acid/venlafaxine (<i>γ</i><sub>XA/VL</sub> = 0.451), and xylopic acid/fluoxetine (<i>γ</i><sub>XA/FL</sub> = 0.298) combinations, which may be potentially due to elevation of serotonergic neurotransmission via varying mechanisms. The AUC of imipramine (AUC<sub>IP</sub> = 1966 ± 58.98 <i>µ</i>g/ml.h) was significantly (<i>P</i> < 0.0001) reduced by <i>Xylopia aethiopica</i> extract (AUC<sub>IP</sub> = 1228 ± 67.40 <i>µ</i>g/ml.h) and xylopic acid (AUC<sub>IP</sub> = 1250 ± 55.95 <i>µ</i>g/ml.h), while the AUC of xylopic acid (AUC<sub>XA</sub> = 968.10 ± 61.22 <i>µ</i>g/ml.h) was significantly (<i>P</i> < 0.0001) reduced by venlafaxine (AUC<sub>XA</sub> = 285.90 ± 51.92 <i>µ</i>g/ml.h) and fluoxetine (AUC<sub>XA</sub> = 510.60 ± 44.74 <i>µ</i>g/ml.h), possibly due to the effect of interfering agents on gastric emptying hence reducing oral absorption.</p><p><strong>Conclusion: </strong><i>Xylopia aethiopica</i> extract and xylopic acid interacted synergistically with imipramine, fluoxetine, and venlafaxine and reduced the systemic circulation of imipramine.</p>","PeriodicalId":7369,"journal":{"name":"Advances in Pharmacological and Pharmaceutical Sciences","volume":"2024 ","pages":"9923801"},"PeriodicalIF":3.0000,"publicationDate":"2024-05-25","publicationTypes":"Journal Article","fieldsOfStudy":null,"isOpenAccess":false,"openAccessPdf":"https://www.ncbi.nlm.nih.gov/pmc/articles/PMC11144068/pdf/","citationCount":"0","resultStr":null,"platform":"Semanticscholar","paperid":null,"PeriodicalName":"Advances in Pharmacological and Pharmaceutical Sciences","FirstCategoryId":"1085","ListUrlMain":"https://doi.org/10.1155/2024/9923801","RegionNum":0,"RegionCategory":null,"ArticlePicture":[],"TitleCN":null,"AbstractTextCN":null,"PMCID":null,"EPubDate":"2024/1/1 0:00:00","PubModel":"eCollection","JCR":"Q3","JCRName":"PHARMACOLOGY & PHARMACY","Score":null,"Total":0}
引用次数: 0

Abstract

Introduction: Depression affects an estimated 350 million people worldwide and is implicated in up to 60% of suicides. Only about 60-70% of patients respond to antidepressant therapy. One of the factors causing patients to not attain therapeutic goals is herb-drug interactions.

Objective: To investigate any potential herb-drug interaction that might exist between Xylopia aethiopica extract (XAE) or xylopic acid (XA) and selected conventional antidepressants (imipramine, fluoxetine, and venlafaxine) in mice.

Methods: Dried, powdered fruits of Xylopia aethiopica were cold macerated in 70% ethanol to obtain XAE. XA was isolated by cold macerating dried fruits of Xylopia aethiopica in petroleum ether, crystallising impure XA with ethyl acetate, and purifying XA crystals with 96% ethanol. Pharmacodynamic interaction was assessed via isobolographic analysis of tail suspension tests of the agents individually and in their respective combinations. Pharmacokinetic interaction was assessed by monitoring the effect of coadministrations on the plasma concentration of antidepressants and xylopic acid via HPLC analysis.

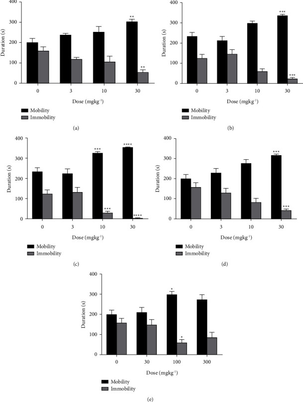
Results: XAE and XA in mice showed significant antidepressant-like activity in the tail suspension test. With interaction indices less than one, synergism of antidepressant effect was observed in the Xylopia aethiopica extract/fluoxetine (γXAE/FL = 0.502), Xylopia aethiopica extract/imipramine (γXAE/IP = 0.322), Xylopia aethiopica extract/venlafaxine (γXAE/VL = 0.601), xylopic acid/imipramine (γXA/IP = 0.556), xylopic acid/venlafaxine (γXA/VL = 0.451), and xylopic acid/fluoxetine (γXA/FL = 0.298) combinations, which may be potentially due to elevation of serotonergic neurotransmission via varying mechanisms. The AUC of imipramine (AUCIP = 1966 ± 58.98 µg/ml.h) was significantly (P < 0.0001) reduced by Xylopia aethiopica extract (AUCIP = 1228 ± 67.40 µg/ml.h) and xylopic acid (AUCIP = 1250 ± 55.95 µg/ml.h), while the AUC of xylopic acid (AUCXA = 968.10 ± 61.22 µg/ml.h) was significantly (P < 0.0001) reduced by venlafaxine (AUCXA = 285.90 ± 51.92 µg/ml.h) and fluoxetine (AUCXA = 510.60 ± 44.74 µg/ml.h), possibly due to the effect of interfering agents on gastric emptying hence reducing oral absorption.

Conclusion: Xylopia aethiopica extract and xylopic acid interacted synergistically with imipramine, fluoxetine, and venlafaxine and reduced the systemic circulation of imipramine.

Abstract Image

Abstract Image

Abstract Image

对木贼草、其主要成分木贼酸和抗抑郁药之间的草药-药物相互作用的研究
简介据估计,全球有 3.5 亿人受到抑郁症的影响,高达 60% 的自杀事件与抑郁症有关。只有约 60-70% 的患者对抗抑郁治疗有反应。导致患者无法达到治疗目标的因素之一是草药与药物之间的相互作用:目的:在小鼠体内研究木犀草提取物(XAE)或木犀酸(XA)与选定的常规抗抑郁药(丙咪嗪、氟西汀和文拉法辛)之间可能存在的草药-药物相互作用:在 70% 的乙醇中冷浸木犀草的干燥粉末果实,以获得木犀草酸。在石油醚中冷浸泽泻干果,用乙酸乙酯结晶不纯的 XA,再用 96% 的乙醇纯化 XA 晶体,从而分离出 XA。药效学相互作用是通过对药剂单独和各自组合的尾悬浮试验进行等全息分析来评估的。药代动力学相互作用是通过高效液相色谱分析监测联合用药对抗抑郁药和木犀草酸血浆浓度的影响来评估的:结果:XAE和XA在小鼠尾悬试验中显示出明显的抗抑郁活性。在相互作用指数小于 1 的情况下,观察到木犀草提取物/氟西汀(γXAE/FL = 0.502)、木犀草提取物/丙咪嗪(γXAE/IP = 0.322)、木犀草提取物/文拉法辛(γXAE/VL = 0.601)、木犀草酸/丙咪嗪(γXA/IP = 0.556)、木犀草酸/文拉法辛(γXA/VL = 0.451)和木犀草酸/氟西汀(γXA/FL = 0.298)组合,这可能是由于通过不同机制提高了血清素能神经递质。乙硫异黄酮提取物(AUCIP = 1228 ± 67.40 µg/ml.h)和木犀草酸(AUCIP = 1250 ± 55.95 µg/ml.h)显著降低了丙咪嗪的 AUC(AUCIP = 1966 ± 58.98 µg/ml.h),而木犀草酸的 AUC(AUCXA = 968.10 ± 61.22 µg/ml.h),而文拉法辛(AUCXA = 285.90 ± 51.92 µg/ml.h)和氟西汀(AUCXA = 510.60 ± 44.74 µg/ml.h)会显著降低(P < 0.0001),这可能是由于干扰物对胃排空的影响,从而减少了口服吸收:结论:木犀草提取物和木犀酸与丙咪嗪、氟西汀和文拉法辛具有协同作用,可减少丙咪嗪的全身循环。
本文章由计算机程序翻译,如有差异,请以英文原文为准。
求助全文
约1分钟内获得全文 求助全文
来源期刊
CiteScore
4.30
自引率
3.60%
发文量
0
审稿时长
17 weeks
×
引用
GB/T 7714-2015
复制
MLA
复制
APA
复制
导出至
BibTeX EndNote RefMan NoteFirst NoteExpress
×
提示
您的信息不完整,为了账户安全,请先补充。
现在去补充
×
提示
您因"违规操作"
具体请查看互助需知
我知道了
×
提示
确定
请完成安全验证×
copy
已复制链接
快去分享给好友吧!
我知道了
右上角分享
点击右上角分享
0
联系我们:info@booksci.cn Book学术提供免费学术资源搜索服务,方便国内外学者检索中英文文献。致力于提供最便捷和优质的服务体验。 Copyright © 2023 布克学术 All rights reserved.
京ICP备2023020795号-1
ghs 京公网安备 11010802042870号
Book学术文献互助
Book学术文献互助群
群 号:604180095
Book学术官方微信