Successful dietary changes correlate with weight-loss outcomes in a new dietary weight-loss program.

IF 1.9 Q3 ENDOCRINOLOGY & METABOLISM
Obesity Science & Practice Pub Date : 2024-05-27 eCollection Date: 2024-06-01 DOI:10.1002/osp4.764
Mindy H Lee, Annabelle Shaffer, Nouf W Alfouzan, Catherine C Applegate, Jennie C Hsu, John W Erdman, Manabu T Nakamura
{"title":"Successful dietary changes correlate with weight-loss outcomes in a new dietary weight-loss program.","authors":"Mindy H Lee, Annabelle Shaffer, Nouf W Alfouzan, Catherine C Applegate, Jennie C Hsu, John W Erdman, Manabu T Nakamura","doi":"10.1002/osp4.764","DOIUrl":null,"url":null,"abstract":"<p><strong>Background: </strong>Currently available behavioral and dietary weight-loss programs lack magnitude and sustainability compared with bariatric surgery. A novel dietary weight-loss program was developed to assist participants in achieving sustainable diet changes by building knowledge and skills in food self-selection. Although the approach worked, a large variation was observed in outcome among participants.</p><p><strong>Objective: </strong>Determine factors affecting weight-loss outcomes among participants to further improve the efficacy of the program.</p><p><strong>Methods: </strong>Participants attended 19 dietary educational sessions during a 1-year intervention which included prescribed homework. Changes in weight, diet, and body composition were assessed.</p><p><strong>Results: </strong>Participants (<i>n</i> = 22) achieved mean body weight loss of -6.49(8.37%, <i>p</i> < 0.001) from baseline at 12 months. Nine participants (41%) achieved weight loss >5% of initial bodyweight; two reached a Body Mass Index 25 kg/m<sup>2</sup>. A large divergence in weight loss among participants was observed; successful (<i>n</i> = 9) achieved -12.9(9.6)% while unsuccessful achieved -2.03(2.78)%. Dietary protein and fiber density by 24-h records showed a significant and inverse correlation with weight loss (%) throughout the program. Weight loss at 3 months and 12 months showed a strong correlation (<i>r</i> = 0.84). Participants with self-reported depression lost significantly less weight than those without depression at 12 months (<i>p</i> < 0.03).</p><p><strong>Conclusions: </strong>Divergence in weight-loss outcomes among the participants is likely due to a difference in successful dietary implementation. Intra-cohort analysis indicates early weight-loss success and early dietary implementation was predictive of long-term success.</p>","PeriodicalId":19448,"journal":{"name":"Obesity Science & Practice","volume":"10 3","pages":"e764"},"PeriodicalIF":1.9000,"publicationDate":"2024-05-27","publicationTypes":"Journal Article","fieldsOfStudy":null,"isOpenAccess":false,"openAccessPdf":"https://www.ncbi.nlm.nih.gov/pmc/articles/PMC11129620/pdf/","citationCount":"0","resultStr":null,"platform":"Semanticscholar","paperid":null,"PeriodicalName":"Obesity Science & Practice","FirstCategoryId":"1085","ListUrlMain":"https://doi.org/10.1002/osp4.764","RegionNum":0,"RegionCategory":null,"ArticlePicture":[],"TitleCN":null,"AbstractTextCN":null,"PMCID":null,"EPubDate":"2024/6/1 0:00:00","PubModel":"eCollection","JCR":"Q3","JCRName":"ENDOCRINOLOGY & METABOLISM","Score":null,"Total":0}
引用次数: 0

Abstract

Background: Currently available behavioral and dietary weight-loss programs lack magnitude and sustainability compared with bariatric surgery. A novel dietary weight-loss program was developed to assist participants in achieving sustainable diet changes by building knowledge and skills in food self-selection. Although the approach worked, a large variation was observed in outcome among participants.

Objective: Determine factors affecting weight-loss outcomes among participants to further improve the efficacy of the program.

Methods: Participants attended 19 dietary educational sessions during a 1-year intervention which included prescribed homework. Changes in weight, diet, and body composition were assessed.

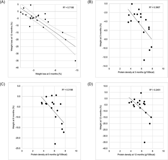
Results: Participants (n = 22) achieved mean body weight loss of -6.49(8.37%, p < 0.001) from baseline at 12 months. Nine participants (41%) achieved weight loss >5% of initial bodyweight; two reached a Body Mass Index 25 kg/m2. A large divergence in weight loss among participants was observed; successful (n = 9) achieved -12.9(9.6)% while unsuccessful achieved -2.03(2.78)%. Dietary protein and fiber density by 24-h records showed a significant and inverse correlation with weight loss (%) throughout the program. Weight loss at 3 months and 12 months showed a strong correlation (r = 0.84). Participants with self-reported depression lost significantly less weight than those without depression at 12 months (p < 0.03).

Conclusions: Divergence in weight-loss outcomes among the participants is likely due to a difference in successful dietary implementation. Intra-cohort analysis indicates early weight-loss success and early dietary implementation was predictive of long-term success.

Abstract Image

Abstract Image

Abstract Image

在一项新的饮食减肥计划中,成功的饮食改变与减肥效果相关。
背景:与减肥手术相比,目前可用的行为和饮食减肥计划缺乏规模和可持续性。我们开发了一项新颖的饮食减肥计划,通过培养参与者自我选择食物的知识和技能,帮助他们实现可持续的饮食改变。尽管这种方法行之有效,但在参与者之间观察到的结果差异很大:目标:确定影响参与者减肥效果的因素,以进一步提高该计划的效果:方法:在为期一年的干预期间,参与者参加了 19 次饮食教育课程,其中包括规定的家庭作业。对体重、饮食和身体成分的变化进行评估:结果:参与者(n = 22)的平均体重减轻了-6.49%(8.37%,p 5% ),其中两人的体重指数达到了 25 kg/m2。观察发现,参与者之间的体重减轻差异很大;成功者(n = 9)达到了-12.9(9.6)%,而失败者达到了-2.03(2.78)%。根据 24 小时的记录,膳食蛋白质和纤维密度与整个计划期间的体重减轻率(%)呈显著的反相关关系。3个月和12个月的体重减轻情况显示出很强的相关性(r = 0.84)。自述患有抑郁症的参与者在 12 个月时的体重减轻幅度明显低于未患有抑郁症的参与者(p 结论:抑郁症患者的体重减轻幅度明显低于未患有抑郁症的患者:参与者在减肥结果上的差异很可能是由于在成功实施饮食方面的差异造成的。队列内分析表明,早期减肥成功和早期饮食实施对长期减肥成功具有预测作用。
本文章由计算机程序翻译,如有差异,请以英文原文为准。
求助全文
约1分钟内获得全文 求助全文
来源期刊
Obesity Science & Practice
Obesity Science & Practice ENDOCRINOLOGY & METABOLISM-
CiteScore
4.20
自引率
4.50%
发文量
73
审稿时长
29 weeks
×
引用
GB/T 7714-2015
复制
MLA
复制
APA
复制
导出至
BibTeX EndNote RefMan NoteFirst NoteExpress
×
提示
您的信息不完整,为了账户安全,请先补充。
现在去补充
×
提示
您因"违规操作"
具体请查看互助需知
我知道了
×
提示
确定
请完成安全验证×
copy
已复制链接
快去分享给好友吧!
我知道了
右上角分享
点击右上角分享
0
联系我们:info@booksci.cn Book学术提供免费学术资源搜索服务,方便国内外学者检索中英文文献。致力于提供最便捷和优质的服务体验。 Copyright © 2023 布克学术 All rights reserved.
京ICP备2023020795号-1
ghs 京公网安备 11010802042870号
Book学术文献互助
Book学术文献互助群
群 号:604180095
Book学术官方微信