Safety and clinical effectiveness of peginterferon beta-1a for relapsing multiple sclerosis in a real-world setting: Final results from the Plegridy Observational Program.

IF 2.3 Q2 CLINICAL NEUROLOGY
Marco Salvetti, Sibyl Wray, Gereon Nelles, Nicholas Belviso, Achint Kumar, Thijs Koster, Wanda Castro-Borrero, Megan Vignos
{"title":"Safety and clinical effectiveness of peginterferon beta-1a for relapsing multiple sclerosis in a real-world setting: Final results from the Plegridy Observational Program.","authors":"Marco Salvetti, Sibyl Wray, Gereon Nelles, Nicholas Belviso, Achint Kumar, Thijs Koster, Wanda Castro-Borrero, Megan Vignos","doi":"10.1177/20552173241238632","DOIUrl":null,"url":null,"abstract":"<p><strong>Background: </strong>Interferon beta-1a remains an important treatment option for multiple sclerosis, particularly when safety or tolerability concerns may outweigh the benefits of higher-efficacy disease-modifying therapies. The five-year phase 4 Plegridy Observational Program (POP) study (NCT02230969) collected data on real-world safety and effectiveness of Plegridy® (peginterferon beta-1a) treatment in patients with relapsing multiple sclerosis.</p><p><strong>Objective: </strong>To explore the real-world safety and effectiveness of peginterferon beta-1a in patients with relapsing multiple sclerosis, including factors influencing treatment discontinuation.</p><p><strong>Methods: </strong>Data were collected prospectively from patients ≥ 18 years old with relapsing multiple sclerosis for overall population analysis and for subpopulations including newly/previously diagnosed patients, age, and experience with peginterferon beta-1a. Outcome measures included annualized relapse rates, adverse events, and predictors of time to treatment discontinuation.</p><p><strong>Results: </strong>Mean (SD) treatment duration in the overall population (<i>N</i> = 1172) was 896.0 (733.15) days. Incidence of adverse events was higher in new than experienced users (79.4% vs. 57.0%). New users were more likely than experienced users to discontinue (hazard ratio = 1.60; <i>P </i>< 0.0001). The adjusted annualized relapse rate was 0.09, and at the end of 5 years, 77.1% of patients were relapse-free.</p><p><strong>Conclusions: </strong>Peginterferon beta-1a is an effective therapy for managing relapsing multiple sclerosis. The identification of predictors of discontinuation can help inform strategies to enhance treatment persistence.</p>","PeriodicalId":18961,"journal":{"name":"Multiple Sclerosis Journal - Experimental, Translational and Clinical","volume":"10 2","pages":"20552173241238632"},"PeriodicalIF":2.3000,"publicationDate":"2024-05-23","publicationTypes":"Journal Article","fieldsOfStudy":null,"isOpenAccess":false,"openAccessPdf":"https://www.ncbi.nlm.nih.gov/pmc/articles/PMC11113050/pdf/","citationCount":"0","resultStr":null,"platform":"Semanticscholar","paperid":null,"PeriodicalName":"Multiple Sclerosis Journal - Experimental, Translational and Clinical","FirstCategoryId":"1085","ListUrlMain":"https://doi.org/10.1177/20552173241238632","RegionNum":0,"RegionCategory":null,"ArticlePicture":[],"TitleCN":null,"AbstractTextCN":null,"PMCID":null,"EPubDate":"2024/4/1 0:00:00","PubModel":"eCollection","JCR":"Q2","JCRName":"CLINICAL NEUROLOGY","Score":null,"Total":0}
引用次数: 0

Abstract

Background: Interferon beta-1a remains an important treatment option for multiple sclerosis, particularly when safety or tolerability concerns may outweigh the benefits of higher-efficacy disease-modifying therapies. The five-year phase 4 Plegridy Observational Program (POP) study (NCT02230969) collected data on real-world safety and effectiveness of Plegridy® (peginterferon beta-1a) treatment in patients with relapsing multiple sclerosis.

Objective: To explore the real-world safety and effectiveness of peginterferon beta-1a in patients with relapsing multiple sclerosis, including factors influencing treatment discontinuation.

Methods: Data were collected prospectively from patients ≥ 18 years old with relapsing multiple sclerosis for overall population analysis and for subpopulations including newly/previously diagnosed patients, age, and experience with peginterferon beta-1a. Outcome measures included annualized relapse rates, adverse events, and predictors of time to treatment discontinuation.

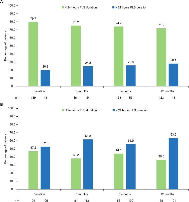
Results: Mean (SD) treatment duration in the overall population (N = 1172) was 896.0 (733.15) days. Incidence of adverse events was higher in new than experienced users (79.4% vs. 57.0%). New users were more likely than experienced users to discontinue (hazard ratio = 1.60; P < 0.0001). The adjusted annualized relapse rate was 0.09, and at the end of 5 years, 77.1% of patients were relapse-free.

Conclusions: Peginterferon beta-1a is an effective therapy for managing relapsing multiple sclerosis. The identification of predictors of discontinuation can help inform strategies to enhance treatment persistence.

Abstract Image

Abstract Image

Abstract Image

在真实世界环境中,peginterferon beta-1a 治疗复发性多发性硬化症的安全性和临床有效性:Plegridy 观察项目的最终结果。
背景:干扰素β-1a仍然是多发性硬化症的重要治疗选择,尤其是当安全性或耐受性方面的问题可能超过疗效更高的疾病改变疗法的益处时。为期五年的4期Plegridy观察项目(POP)研究(NCT02230969)收集了复发性多发性硬化症患者接受Plegridy®(peginterferon beta-1a)治疗的实际安全性和有效性数据:探讨peginterferon beta-1a在复发性多发性硬化症患者中的实际安全性和有效性,包括影响治疗中止的因素:前瞻性地收集了年龄≥18岁的复发性多发性硬化症患者的数据,用于总体人群分析和亚人群分析,包括新诊断/既往诊断患者、年龄和使用peginterferon beta-1a的经验。结果测量包括年化复发率、不良事件和终止治疗时间的预测因素:总体患者(N = 1172)的平均(标度)治疗时间为 896.0 (733.15) 天。新用药者的不良反应发生率高于老用药者(79.4% 对 57.0%)。新用药者比老用药者更有可能停药(危险比 = 1.60;P 结论:新用药者比老用药者更有可能停药:培根干扰素 beta-1a 是治疗复发性多发性硬化症的有效疗法。识别中断治疗的预测因素有助于制定提高治疗持久性的策略。
本文章由计算机程序翻译,如有差异,请以英文原文为准。
求助全文
约1分钟内获得全文 求助全文
来源期刊
CiteScore
4.70
自引率
0.00%
发文量
54
审稿时长
15 weeks
×
引用
GB/T 7714-2015
复制
MLA
复制
APA
复制
导出至
BibTeX EndNote RefMan NoteFirst NoteExpress
×
提示
您的信息不完整,为了账户安全,请先补充。
现在去补充
×
提示
您因"违规操作"
具体请查看互助需知
我知道了
×
提示
确定
请完成安全验证×
copy
已复制链接
快去分享给好友吧!
我知道了
右上角分享
点击右上角分享
0
联系我们:info@booksci.cn Book学术提供免费学术资源搜索服务,方便国内外学者检索中英文文献。致力于提供最便捷和优质的服务体验。 Copyright © 2023 布克学术 All rights reserved.
京ICP备2023020795号-1
ghs 京公网安备 11010802042870号
Book学术文献互助
Book学术文献互助群
群 号:604180095
Book学术官方微信