Hydrosalpinx treatment before in-vitro fertilization: systematic review and network meta-analysis.

IF 6.3 1区 医学 Q1 ACOUSTICS
Ultrasound in Obstetrics & Gynecology Pub Date : 2025-04-01 Epub Date: 2025-01-26 DOI:10.1002/uog.27697
F Pérez-Milán, M Caballero-Campo, M Carrera-Roig, E Moratalla-Bartolomé, J A Domínguez-Arroyo, J L Alcázar-Zambrano, L Alonso-Pacheco, J A Carugno
{"title":"Hydrosalpinx treatment before in-vitro fertilization: systematic review and network meta-analysis.","authors":"F Pérez-Milán, M Caballero-Campo, M Carrera-Roig, E Moratalla-Bartolomé, J A Domínguez-Arroyo, J L Alcázar-Zambrano, L Alonso-Pacheco, J A Carugno","doi":"10.1002/uog.27697","DOIUrl":null,"url":null,"abstract":"<p><strong>Objective: </strong>To compare the safety and effectiveness of different methods, both ablative and non-ablative, to treat hydrosalpinx in infertile patients before in-vitro fertilization embryo transfer (IVF-ET) via a systematic review and network meta-analysis (NMA).</p><p><strong>Methods: </strong>A structured literature search was conducted in common citation databases. Eligibility criteria included peer-reviewed randomized controlled trials (RCTs) or cohort studies comparing the effectiveness and/or safety of different hydrosalpinx treatments, including salpingectomy, laparoscopic proximal tubal occlusion (LTO), insertion of an intratubal device (ITD), ultrasound-guided aspiration, sclerotherapy and expectant management. Primary outcomes were live birth, ongoing pregnancy and clinical pregnancy. Miscarriage, ectopic pregnancy and procedural complications were considered as secondary outcomes. The main NMA included only RCTs, while observational studies were included in a secondary aggregate NMA. Pooled effects were summarized as odds ratios (ORs) with 95% CI for direct and indirect comparisons, derived from random-effects models. Imprecision of NMA estimates was assessed by comparison of their 95% CIs with predefined thresholds for effect size considered to represent clinical relevance (OR < 0.9 or >1.1). Heterogeneity for NMA findings was estimated using the variance of the distribution of the underlying treatment effects (τ<sup>2</sup>), expressed as a 95% prediction interval. Surface under the cumulative ranking curve (SUCRA) was used to predict relative treatment rankings for each outcome.</p><p><strong>Results: </strong>The main analysis included nine RCTs, while an additional 17 observational studies were incorporated into the aggregate analysis. The NMA of RCTs revealed no significant differences in live birth rate between hydrosalpinx treatment methods, with LTO achieving the highest SUCRA value (0.9). Salpingectomy and ultrasound-guided aspiration significantly increased the ongoing pregnancy rate compared with no treatment (OR, 4.35 (95% CI, 1.70-11.14) and 2.80 (95% CI, 1.03-7.58), respectively), with salpingectomy having the highest SUCRA value (0.9). Clinical pregnancy rate was significantly higher following salpingectomy (OR, 2.24 (95% CI, 1.30-3.86)) and LTO (OR, 2.55 (95% CI, 1.20-5.51)) compared with no treatment, despite some heterogeneity; LTO had the highest SUCRA value (0.8). NMA showed no significant differences in secondary outcomes between treatments. Aggregate NMA indicated that sclerotherapy significantly increased the live birth rate compared with no treatment. Higher ongoing pregnancy rate was observed in patients treated with salpingectomy, ultrasound-guided aspiration and LTO compared to untreated patients, with salpingectomy having the highest SUCRA value (0.9). Except for ITD insertion, all interventions increased the clinical pregnancy rate compared with no treatment. LTO had a greater effect on clinical pregnancy rate compared to ultrasound-guided aspiration, with no significant differences in other pairwise comparisons. NMA ranked LTO as the most effective treatment for increasing the clinical pregnancy rate and reducing the miscarriage rate, while sclerotherapy was deemed safer with regard to the ovarian response to IVF stimulation.</p><p><strong>Conclusions: </strong>This NMA fails to support the effectiveness of any hydrosalpinx treatment to improve the live birth rate following IVF-ET, although the beneficial effect of salpingectomy and ultrasound-guided aspiration on ongoing pregnancy rate and of salpingectomy and LTO on clinical pregnancy rate reinforces current recommendations. Based on the aggregated analysis, sclerotherapy could be an effective alternative to conventional laparoscopic techniques, with a favorable safety profile. © 2024 The Author(s). Ultrasound in Obstetrics & Gynecology published by John Wiley & Sons Ltd on behalf of International Society of Ultrasound in Obstetrics and Gynecology.</p>","PeriodicalId":23454,"journal":{"name":"Ultrasound in Obstetrics & Gynecology","volume":" ","pages":"414-426"},"PeriodicalIF":6.3000,"publicationDate":"2025-04-01","publicationTypes":"Journal Article","fieldsOfStudy":null,"isOpenAccess":false,"openAccessPdf":"https://www.ncbi.nlm.nih.gov/pmc/articles/PMC11961103/pdf/","citationCount":"0","resultStr":null,"platform":"Semanticscholar","paperid":null,"PeriodicalName":"Ultrasound in Obstetrics & Gynecology","FirstCategoryId":"3","ListUrlMain":"https://doi.org/10.1002/uog.27697","RegionNum":1,"RegionCategory":"医学","ArticlePicture":[],"TitleCN":null,"AbstractTextCN":null,"PMCID":null,"EPubDate":"2025/1/26 0:00:00","PubModel":"Epub","JCR":"Q1","JCRName":"ACOUSTICS","Score":null,"Total":0}
引用次数: 0

Abstract

Objective: To compare the safety and effectiveness of different methods, both ablative and non-ablative, to treat hydrosalpinx in infertile patients before in-vitro fertilization embryo transfer (IVF-ET) via a systematic review and network meta-analysis (NMA).

Methods: A structured literature search was conducted in common citation databases. Eligibility criteria included peer-reviewed randomized controlled trials (RCTs) or cohort studies comparing the effectiveness and/or safety of different hydrosalpinx treatments, including salpingectomy, laparoscopic proximal tubal occlusion (LTO), insertion of an intratubal device (ITD), ultrasound-guided aspiration, sclerotherapy and expectant management. Primary outcomes were live birth, ongoing pregnancy and clinical pregnancy. Miscarriage, ectopic pregnancy and procedural complications were considered as secondary outcomes. The main NMA included only RCTs, while observational studies were included in a secondary aggregate NMA. Pooled effects were summarized as odds ratios (ORs) with 95% CI for direct and indirect comparisons, derived from random-effects models. Imprecision of NMA estimates was assessed by comparison of their 95% CIs with predefined thresholds for effect size considered to represent clinical relevance (OR < 0.9 or >1.1). Heterogeneity for NMA findings was estimated using the variance of the distribution of the underlying treatment effects (τ2), expressed as a 95% prediction interval. Surface under the cumulative ranking curve (SUCRA) was used to predict relative treatment rankings for each outcome.

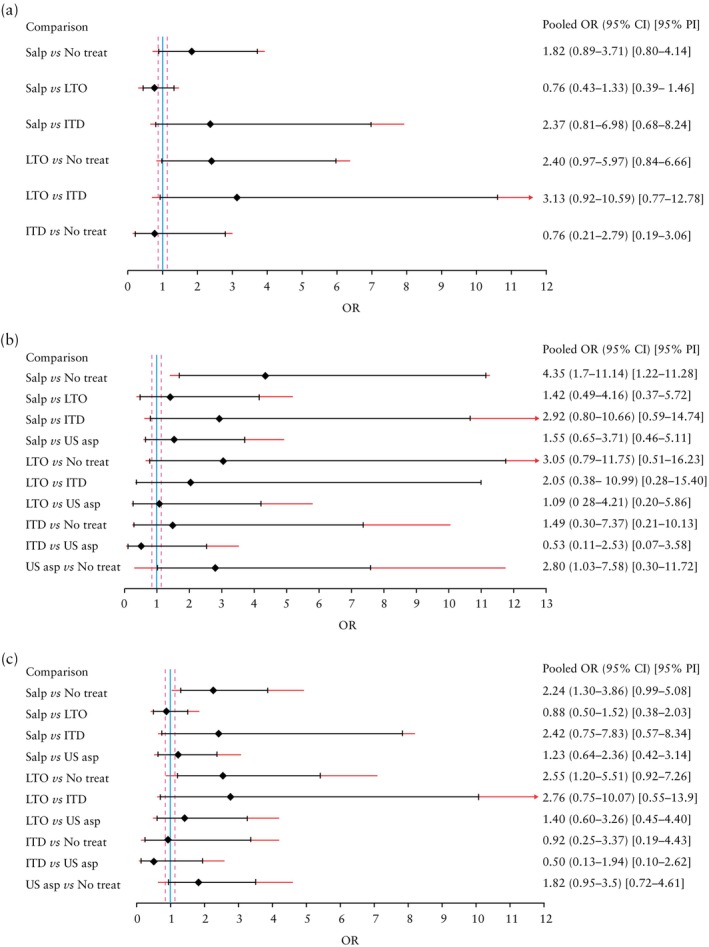
Results: The main analysis included nine RCTs, while an additional 17 observational studies were incorporated into the aggregate analysis. The NMA of RCTs revealed no significant differences in live birth rate between hydrosalpinx treatment methods, with LTO achieving the highest SUCRA value (0.9). Salpingectomy and ultrasound-guided aspiration significantly increased the ongoing pregnancy rate compared with no treatment (OR, 4.35 (95% CI, 1.70-11.14) and 2.80 (95% CI, 1.03-7.58), respectively), with salpingectomy having the highest SUCRA value (0.9). Clinical pregnancy rate was significantly higher following salpingectomy (OR, 2.24 (95% CI, 1.30-3.86)) and LTO (OR, 2.55 (95% CI, 1.20-5.51)) compared with no treatment, despite some heterogeneity; LTO had the highest SUCRA value (0.8). NMA showed no significant differences in secondary outcomes between treatments. Aggregate NMA indicated that sclerotherapy significantly increased the live birth rate compared with no treatment. Higher ongoing pregnancy rate was observed in patients treated with salpingectomy, ultrasound-guided aspiration and LTO compared to untreated patients, with salpingectomy having the highest SUCRA value (0.9). Except for ITD insertion, all interventions increased the clinical pregnancy rate compared with no treatment. LTO had a greater effect on clinical pregnancy rate compared to ultrasound-guided aspiration, with no significant differences in other pairwise comparisons. NMA ranked LTO as the most effective treatment for increasing the clinical pregnancy rate and reducing the miscarriage rate, while sclerotherapy was deemed safer with regard to the ovarian response to IVF stimulation.

Conclusions: This NMA fails to support the effectiveness of any hydrosalpinx treatment to improve the live birth rate following IVF-ET, although the beneficial effect of salpingectomy and ultrasound-guided aspiration on ongoing pregnancy rate and of salpingectomy and LTO on clinical pregnancy rate reinforces current recommendations. Based on the aggregated analysis, sclerotherapy could be an effective alternative to conventional laparoscopic techniques, with a favorable safety profile. © 2024 The Author(s). Ultrasound in Obstetrics & Gynecology published by John Wiley & Sons Ltd on behalf of International Society of Ultrasound in Obstetrics and Gynecology.

Abstract Image

Abstract Image

Abstract Image

体外受精前肾积水治疗的系统回顾和网络荟萃分析。
目的比较不孕患者在接受体外受精(IVF-ET)前治疗肾积水的不同方法,包括烧蚀法和非烧蚀法:对接受体外受精的不孕患者的肾积水不同治疗方法进行比较的系统综述和网络荟萃分析(NMA)。研究纳入标准:经同行评审的随机试验(RCT)或队列研究,比较输卵管切除术、腹腔镜近端输卵管闭塞术(LTO)、插入输卵管内装置(ITD)、硬化疗法、超声引导下抽吸术和不治疗对活产、持续妊娠、临床妊娠的影响,并将流产、异位妊娠和并发症作为次要结果。主要的 NMA 包括 RCT,并对 RCT 和观察性研究进行了汇总 NMA。根据随机效应模型得出的直接和间接混合比较的比值比(OR)及其 95% 置信区间(CI)估算了汇总效应。通过比较其 95% CI 与临床相关效应大小的预定区间(OR 1.1)来评估 NMA 估计值的不精确性和异质性。累积排名曲线下表面(SUCRA)用于预测每种结果的治疗排名:主要分析包括 9 项研究性临床试验,另有 17 项观察性研究纳入补充分析。RCT的NMA并未发现比较治疗对活产率的影响存在显著差异,而LTO是SUCRA值最高的方案(0.92,平均排名:1.2)。根据 NMA 结果(NMA OR:分别为 4.35;95% CI:1.7-11.14 和 2.8;95% CI:1.03-7.58),与不治疗相比,输卵管切除术和 US-抽吸术可显著提高持续妊娠率。输卵管切除术的 SUCRA 值最高(0.88,平均排名:1.4)。根据 NMA 估计,输卵管切除术与不治疗相比,临床妊娠率明显增加(NMA OR:2.24;95% CI:1.3-3.86);LTO 与不治疗相比,临床妊娠率也明显增加(NMA OR:2.55;95% CI:1.2-5.41)。这两项比较均存在高度异质性。在临床妊娠方面,LTO 是 SUCRA 最高的干预措施(0.85;平均排名:1.6)。在次要结果方面,可行的 NMA 估计值不支持治疗效果之间存在显著差异。根据包括随机研究和观察性研究在内的汇总 NMA,与不治疗相比,硬化疗法对活产率具有显著的益处(NMA(OR:4.6;95% CI:1.21,17.46))。与未接受治疗的患者相比,根据汇总的 NMA 估计,接受输卵管切除术(NMA OR:3.35;95% CI:2.12,5.12)、US-aspiration(NMA OR:2.16;95% CI:1.28,3.65)和 LTO(NMA OR:2.46;95% CI:1.11,5.43)治疗的患者持续妊娠率较高。根据直接和间接比较,盐屏切除术和LTO与ITD相比产生的有益效果更高。输卵管切除术对持续妊娠影响的 SUCRA 值最高(0.94;平均值:1.2)。NMA 发现,除插入 ITD 外,不同的积极管理程序与不采取任何治疗措施相比,对临床妊娠都有明显的影响。与 US 抽吸相比,LTO 对临床妊娠率的影响更大(NMA OR:2.04;95% CI:1.05, 3.97),而其他治疗方法之间的比较则没有发现显著差异。NMA 将 LTO 评为 SUCRA 值最高的治疗方法(0.91;平均排名:1.5)。NMA预测模型认为,LTO是减少流产的最佳干预方法(SUCRA值:0.84;平均排名:1.8),而硬化剂注射在卵巢对IVF刺激的反应方面是更安全的选择:尽管我们的分析显示输卵管切除术和美国抽吸术对持续妊娠率有利,而输卵管切除术和LTO对临床妊娠率也有利,但目前的NMA未能支持在试管婴儿前治疗肾积水以提高活产率的任何方案的有效性,这加强了目前的建议。根据综合分析,硬化剂注射疗法可能是传统腹腔镜技术的一种有前途的替代方法,而且具有良好的安全性。本文受版权保护。保留所有权利。
本文章由计算机程序翻译,如有差异,请以英文原文为准。
求助全文
约1分钟内获得全文 求助全文
来源期刊
CiteScore
12.30
自引率
14.10%
发文量
891
审稿时长
1 months
期刊介绍: Ultrasound in Obstetrics & Gynecology (UOG) is the official journal of the International Society of Ultrasound in Obstetrics and Gynecology (ISUOG) and is considered the foremost international peer-reviewed journal in the field. It publishes cutting-edge research that is highly relevant to clinical practice, which includes guidelines, expert commentaries, consensus statements, original articles, and systematic reviews. UOG is widely recognized and included in prominent abstract and indexing databases such as Index Medicus and Current Contents.
×
引用
GB/T 7714-2015
复制
MLA
复制
APA
复制
导出至
BibTeX EndNote RefMan NoteFirst NoteExpress
×
提示
您的信息不完整,为了账户安全,请先补充。
现在去补充
×
提示
您因"违规操作"
具体请查看互助需知
我知道了
×
提示
确定
请完成安全验证×
copy
已复制链接
快去分享给好友吧!
我知道了
右上角分享
点击右上角分享
0
联系我们:info@booksci.cn Book学术提供免费学术资源搜索服务,方便国内外学者检索中英文文献。致力于提供最便捷和优质的服务体验。 Copyright © 2023 布克学术 All rights reserved.
京ICP备2023020795号-1
ghs 京公网安备 11010802042870号
Book学术文献互助
Book学术文献互助群
群 号:604180095
Book学术官方微信