Assessing the predictive value of serum phosphate for short-term mortality in acute-on-chronic liver failure patients: An observational study at a non-transplant tertiary care centre.

IF 1.7 Q3 GASTROENTEROLOGY & HEPATOLOGY
Clinical and Experimental Hepatology Pub Date : 2024-03-01 Epub Date: 2024-03-17 DOI:10.5114/ceh.2024.136290
Rohit S Wagh, Shamshersingh Chauhan, Mit Shah, Yogesh Bairwa, Motij Dalai, Meghraj Ingle
{"title":"Assessing the predictive value of serum phosphate for short-term mortality in acute-on-chronic liver failure patients: An observational study at a non-transplant tertiary care centre.","authors":"Rohit S Wagh, Shamshersingh Chauhan, Mit Shah, Yogesh Bairwa, Motij Dalai, Meghraj Ingle","doi":"10.5114/ceh.2024.136290","DOIUrl":null,"url":null,"abstract":"<p><strong>Aim of the study: </strong>The gradual clinical worsening of acute-on-chronic liver failure (ACLF) leads to a high 28-day mortality rate. There are several prognostication scores for predicting early mortality in ACLF. Serum phosphate, which is the main component of adenosine tri-phosphate (ATP) synthesis, is utilized for liver synthetic functions, leading to subnormal or decreased serum phosphate levels. Hence more than normal levels of serum phosphate can be used as a marker of decreased liver cell reserve. Hence, we aimed to compare serum phosphate levels with available prognostic scores to assess mortality among ACLF patients.</p><p><strong>Material and methods: </strong>100 consecutive ACLF patients according to the Asia Pacific Association for Study of the Liver (APASL) definition were studied. The baseline blood workups and determination of viral bio-markers, serum phosphate, and lactate levels on days 1, 3, and 7 were carried out and prospectively followed up, and the baseline serum phosphate levels were compared with the usual scores to predict the 28-day mortality.</p><p><strong>Results: </strong>CLIF-SOFA (accuracy 76-91%) followed by CLIF-C score (accuracy 73-84%) and AARC score (accuracy 70-85%) had the statistically significantly highest accuracy as compared with CTP, MELD, and MELD-Na on all three days. Serum phosphate values (accuracy 69-86%) on all three days were not better than the CLIF-SOFA score but better than all other prognostic scores on days 3 and 7.</p><p><strong>Conclusions: </strong>The high serum phosphate levels on day 3 with a value of more than 6.4 mg/dl showed almost comparable accuracy with CLIF-SOFA for screening short-term mortality. Hence serum phosphate measurement can be used as a simple bedside laboratory investigation to predict mortality in ACLF patients and early interventions in low-resource settings.</p>","PeriodicalId":10281,"journal":{"name":"Clinical and Experimental Hepatology","volume":"10 1","pages":"20-29"},"PeriodicalIF":1.7000,"publicationDate":"2024-03-01","publicationTypes":"Journal Article","fieldsOfStudy":null,"isOpenAccess":false,"openAccessPdf":"https://www.ncbi.nlm.nih.gov/pmc/articles/PMC11100335/pdf/","citationCount":"0","resultStr":null,"platform":"Semanticscholar","paperid":null,"PeriodicalName":"Clinical and Experimental Hepatology","FirstCategoryId":"1085","ListUrlMain":"https://doi.org/10.5114/ceh.2024.136290","RegionNum":0,"RegionCategory":null,"ArticlePicture":[],"TitleCN":null,"AbstractTextCN":null,"PMCID":null,"EPubDate":"2024/3/17 0:00:00","PubModel":"Epub","JCR":"Q3","JCRName":"GASTROENTEROLOGY & HEPATOLOGY","Score":null,"Total":0}
引用次数: 0

Abstract

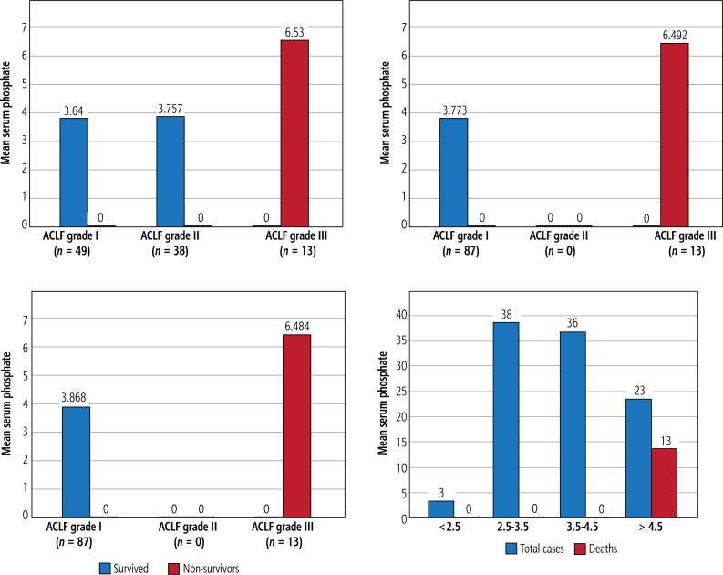
Aim of the study: The gradual clinical worsening of acute-on-chronic liver failure (ACLF) leads to a high 28-day mortality rate. There are several prognostication scores for predicting early mortality in ACLF. Serum phosphate, which is the main component of adenosine tri-phosphate (ATP) synthesis, is utilized for liver synthetic functions, leading to subnormal or decreased serum phosphate levels. Hence more than normal levels of serum phosphate can be used as a marker of decreased liver cell reserve. Hence, we aimed to compare serum phosphate levels with available prognostic scores to assess mortality among ACLF patients.

Material and methods: 100 consecutive ACLF patients according to the Asia Pacific Association for Study of the Liver (APASL) definition were studied. The baseline blood workups and determination of viral bio-markers, serum phosphate, and lactate levels on days 1, 3, and 7 were carried out and prospectively followed up, and the baseline serum phosphate levels were compared with the usual scores to predict the 28-day mortality.

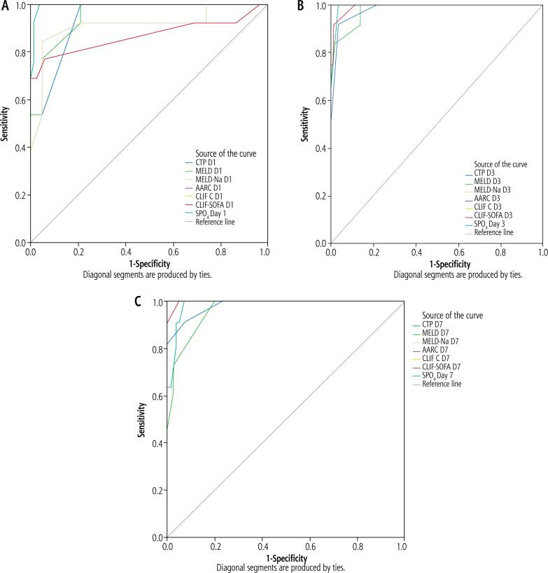
Results: CLIF-SOFA (accuracy 76-91%) followed by CLIF-C score (accuracy 73-84%) and AARC score (accuracy 70-85%) had the statistically significantly highest accuracy as compared with CTP, MELD, and MELD-Na on all three days. Serum phosphate values (accuracy 69-86%) on all three days were not better than the CLIF-SOFA score but better than all other prognostic scores on days 3 and 7.

Conclusions: The high serum phosphate levels on day 3 with a value of more than 6.4 mg/dl showed almost comparable accuracy with CLIF-SOFA for screening short-term mortality. Hence serum phosphate measurement can be used as a simple bedside laboratory investigation to predict mortality in ACLF patients and early interventions in low-resource settings.

Abstract Image

Abstract Image

Abstract Image

评估血清磷酸盐对急性-慢性肝衰竭患者短期死亡率的预测价值:一家非移植三级医疗中心的观察性研究。
研究目的急性慢性肝衰竭(ACLF)的临床症状逐渐恶化,导致 28 天的死亡率很高。目前有几种预后评分方法可预测急性慢性肝衰竭的早期死亡率。血清磷酸盐是合成三磷酸腺苷(ATP)的主要成分,被用于肝脏合成功能,导致血清磷酸盐水平低于正常或下降。因此,血清磷酸盐水平高于正常值可作为肝细胞储备减少的标志。因此,我们旨在将血清磷酸盐水平与现有的预后评分进行比较,以评估 ACLF 患者的死亡率。结果:CLIF-SOFA(准确率为76%)、CLIF-SOFA(准确率为76%)、CLIF-SOFA(准确率为76%)、CLIF-SOFA(准确率为76%)、CLIF-SOFA(准确率为76%)、CLIF-SOFA(准确率为76%)、CLIF-SOFA(准确率为76%)、CLIF-SOFA(准确率为76%):结果:与 CTP、MELD 和 MELD-Na 相比,CLIF-SOFA(准确率 76-91%)、CLIF-C 评分(准确率 73-84%)和 AARC 评分(准确率 70-85%)在所有三天中的准确率都明显最高。所有三天的血清磷酸盐值(准确率为 69-86%)均不优于 CLIF-SOFA 评分,但优于第 3 天和第 7 天的所有其他预后评分:在筛查短期死亡率方面,第 3 天血清磷酸盐水平较高且大于 6.4 mg/dl 的准确性几乎与 CLIF-SOFA 相当。因此,血清磷酸盐测量可作为一项简单的床边实验室检查,用于预测 ACLF 患者的死亡率,并在资源匮乏的环境中进行早期干预。
本文章由计算机程序翻译,如有差异,请以英文原文为准。
求助全文
约1分钟内获得全文 求助全文
来源期刊
Clinical and Experimental Hepatology
Clinical and Experimental Hepatology GASTROENTEROLOGY & HEPATOLOGY-
CiteScore
2.80
自引率
0.00%
发文量
32
期刊介绍: Clinical and Experimental Hepatology – quarterly of the Polish Association for Study of Liver – is a scientific and educational, peer-reviewed journal publishing original and review papers describing clinical and basic investigations in the field of hepatology.
×
引用
GB/T 7714-2015
复制
MLA
复制
APA
复制
导出至
BibTeX EndNote RefMan NoteFirst NoteExpress
×
提示
您的信息不完整,为了账户安全,请先补充。
现在去补充
×
提示
您因"违规操作"
具体请查看互助需知
我知道了
×
提示
确定
请完成安全验证×
copy
已复制链接
快去分享给好友吧!
我知道了
右上角分享
点击右上角分享
0
联系我们:info@booksci.cn Book学术提供免费学术资源搜索服务,方便国内外学者检索中英文文献。致力于提供最便捷和优质的服务体验。 Copyright © 2023 布克学术 All rights reserved.
京ICP备2023020795号-1
ghs 京公网安备 11010802042870号
Book学术文献互助
Book学术文献互助群
群 号:604180095
Book学术官方微信