A three-years follow-up of extra intensive support for individuals with intellectual disability and severe challenging behaviour in the Netherlands.

IF 1.4 4区 医学 Q2 EDUCATION, SPECIAL
Journal of Intellectual Disabilities Pub Date : 2025-03-01 Epub Date: 2024-05-09 DOI:10.1177/17446295241252918
Linda Verhaar, Yvette M Dijkxhoorn, Leo de Sonneville, Hanna Swaab
{"title":"A three-years follow-up of extra intensive support for individuals with intellectual disability and severe challenging behaviour in the Netherlands.","authors":"Linda Verhaar, Yvette M Dijkxhoorn, Leo de Sonneville, Hanna Swaab","doi":"10.1177/17446295241252918","DOIUrl":null,"url":null,"abstract":"<p><p>Adults with Intellectual Disability who show severe challenging behaviour need intensive individual support. If intensive support proves to be insufficient, extra intensive support can be provided in the Netherlands, which is characterized by more time for individual care. The present study evaluates the impact of extra intensive support over time. Client characteristics of adults receiving intensive support (IS, <i>N</i>=70) or extra intensive support (IS+, <i>N</i>=35) are compared and the impact of provided support on challenging behaviour (Developmental Behaviour Checklist-Adults), adaptive behaviour (Vineland II), and Quality of Life (San Martin Scale) is evaluated over a three years period. Compared to adults receiving intensive support, those receiving extra intensive support initially showed higher intensity of challenging behaviour, higher number of mental health diagnoses and stronger focus on goals to reduce challenging behaviour. Over time, intensity of challenging behaviour decreased in adults receiving extra intensive support, although Quality of Life and adaptive functioning did not improve. Results show that the indications for receiving extra intensive support are clear and that the extra support is effective over time. It is concluded that extra individual support is serving those who need this support.</p>","PeriodicalId":46904,"journal":{"name":"Journal of Intellectual Disabilities","volume":" ","pages":"130-147"},"PeriodicalIF":1.4000,"publicationDate":"2025-03-01","publicationTypes":"Journal Article","fieldsOfStudy":null,"isOpenAccess":false,"openAccessPdf":"https://www.ncbi.nlm.nih.gov/pmc/articles/PMC11898380/pdf/","citationCount":"0","resultStr":null,"platform":"Semanticscholar","paperid":null,"PeriodicalName":"Journal of Intellectual Disabilities","FirstCategoryId":"3","ListUrlMain":"https://doi.org/10.1177/17446295241252918","RegionNum":4,"RegionCategory":"医学","ArticlePicture":[],"TitleCN":null,"AbstractTextCN":null,"PMCID":null,"EPubDate":"2024/5/9 0:00:00","PubModel":"Epub","JCR":"Q2","JCRName":"EDUCATION, SPECIAL","Score":null,"Total":0}
引用次数: 0

Abstract

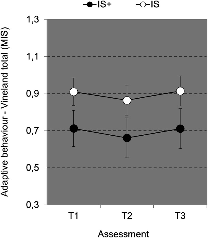
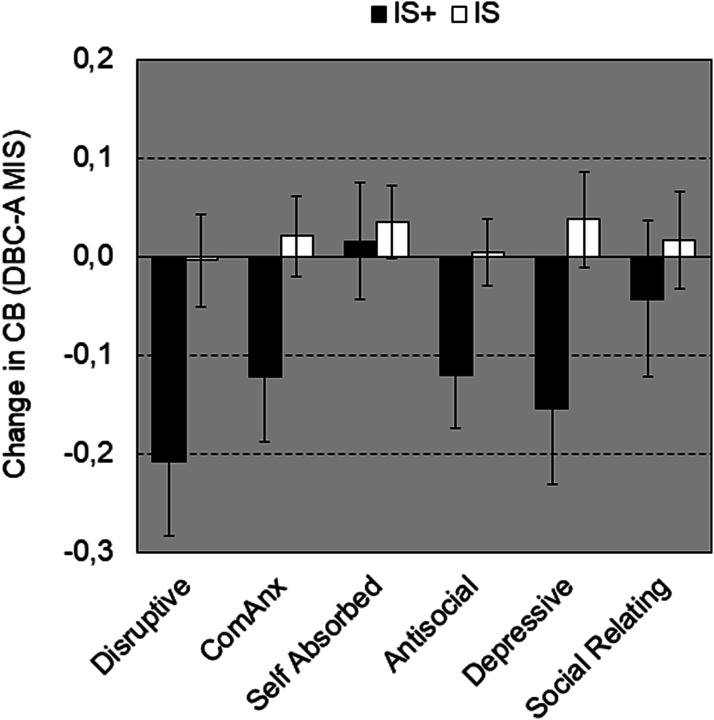
Adults with Intellectual Disability who show severe challenging behaviour need intensive individual support. If intensive support proves to be insufficient, extra intensive support can be provided in the Netherlands, which is characterized by more time for individual care. The present study evaluates the impact of extra intensive support over time. Client characteristics of adults receiving intensive support (IS, N=70) or extra intensive support (IS+, N=35) are compared and the impact of provided support on challenging behaviour (Developmental Behaviour Checklist-Adults), adaptive behaviour (Vineland II), and Quality of Life (San Martin Scale) is evaluated over a three years period. Compared to adults receiving intensive support, those receiving extra intensive support initially showed higher intensity of challenging behaviour, higher number of mental health diagnoses and stronger focus on goals to reduce challenging behaviour. Over time, intensity of challenging behaviour decreased in adults receiving extra intensive support, although Quality of Life and adaptive functioning did not improve. Results show that the indications for receiving extra intensive support are clear and that the extra support is effective over time. It is concluded that extra individual support is serving those who need this support.

Abstract Image

Abstract Image

Abstract Image

对荷兰智障者和有严重挑战行为者的额外强化支持进行为期三年的跟踪调查。
表现出严重挑战行为的智障成人需要强化个人支持。如果强化支持被证明是不够的,在荷兰可以提供额外的强化支持,其特点是个人护理时间更长。本研究评估了额外强化支持随着时间推移所产生的影响。研究比较了接受强化支持(IS,人数=70)或额外强化支持(IS+,人数=35)的成年人的客户特征,并评估了所提供的支持在三年内对挑战行为(发育行为检查表-成人)、适应行为(文兰II)和生活质量(圣马丁量表)的影响。与接受强化支持的成人相比,接受额外强化支持的成人最初表现出较高的挑战性行为强度、较高的心理健康诊断数量以及对减少挑战性行为目标的更强关注。随着时间的推移,接受额外强化支持的成年人挑战行为的强度有所下降,但生活质量和适应功能并未得到改善。结果表明,接受额外强化支持的指征是明确的,而且随着时间的推移,额外支持是有效的。结论是,额外的个别支持正在为那些需要这种支持的人服务。
本文章由计算机程序翻译,如有差异,请以英文原文为准。
求助全文
约1分钟内获得全文 求助全文
来源期刊
CiteScore
3.40
自引率
13.30%
发文量
82
期刊介绍: The principal aim of the journal is to provide a medium for the exchange of best practice, knowledge and research between academic and professional disciplines from education, social and health settings to bring about advancement of services for people with intellectual disabilities. The idea of a practice-led journal is both exciting and timely. This journal serves as a medium for all those involved with people with intellectual disabilities to submit and publish papers on issues relevant to promoting services for people with intellectual disabilities.
×
引用
GB/T 7714-2015
复制
MLA
复制
APA
复制
导出至
BibTeX EndNote RefMan NoteFirst NoteExpress
×
提示
您的信息不完整,为了账户安全,请先补充。
现在去补充
×
提示
您因"违规操作"
具体请查看互助需知
我知道了
×
提示
确定
请完成安全验证×
copy
已复制链接
快去分享给好友吧!
我知道了
右上角分享
点击右上角分享
0
联系我们:info@booksci.cn Book学术提供免费学术资源搜索服务,方便国内外学者检索中英文文献。致力于提供最便捷和优质的服务体验。 Copyright © 2023 布克学术 All rights reserved.
京ICP备2023020795号-1
ghs 京公网安备 11010802042870号
Book学术文献互助
Book学术文献互助群
群 号:604180095
Book学术官方微信