Alpha-Glucosidase Inhibition, Antioxidant Activities, and Molecular Docking Study of Krom Luang Chumphon Khet Udomsak, a Thai Traditional Remedy.

IF 3 Q3 PHARMACOLOGY & PHARMACY
Advances in Pharmacological and Pharmaceutical Sciences Pub Date : 2024-04-30 eCollection Date: 2024-01-01 DOI:10.1155/2024/1322310
Thanchanok Limcharoen, Prapaporn Chaniad, Piriya Chonsut, Chuchard Punsawad, Thana Juckmeta, Atthaphon Konyanee, Ichwan Ridwan Rais, Surat Sangkaew
{"title":"Alpha-Glucosidase Inhibition, Antioxidant Activities, and Molecular Docking Study of Krom Luang Chumphon Khet Udomsak, a Thai Traditional Remedy.","authors":"Thanchanok Limcharoen, Prapaporn Chaniad, Piriya Chonsut, Chuchard Punsawad, Thana Juckmeta, Atthaphon Konyanee, Ichwan Ridwan Rais, Surat Sangkaew","doi":"10.1155/2024/1322310","DOIUrl":null,"url":null,"abstract":"<p><p>Krom Luang Chumphon Khet Udomsak remedy (KKR) has traditionally been used as an alternative treatment, particularly for hyperglycemia; however, its therapeutic efficacy has not been scientifically validated. Thus, this study aims to investigate the potential inhibitory and antioxidant effects of <i>α</i>-glucosidase enzyme and characterize the chemical profile of KKR extracts using gas chromatography-mass spectrometry (GC-MS). The investigation highlights both KKR extracts as potent inhibitors of <i>α</i>-glucosidase, with the ethanolic extract of KKR (KKRE) displaying an IC<sub>50</sub> value of 46.80 <i>µ</i>g/mL and a noncompetitive mode of action. The combination of ethanolic and aqueous extracts of KKR (KKRE and KKRA, respectively) with acarbose exhibited a synergistic effect against the <i>α</i>-glucosidase. The KKRE extract displayed strong scavenging effects in the DPPH assay (IC<sub>50</sub> 156.3 <i>µ</i>g/mL) and contained significant total phenolic (172.82 mg GAE/g extract) and flavonoid (77.41 mg QE/g extract) contents. The major component of KKRE is palmitic acid (15.67%). Molecular docking revealed that the major compounds interacted with key amino acid residues (ASP215, GLU277, HIS351, ASP352, and ARG442), which are crucial for inhibiting <i>α</i>-glucosidase. Notably, campesterin had a more significant influence on <i>α</i>-glucosidase than acarbose, with low binding energy. These findings underscore the significance of KKR in traditional medicine and suggest that it is promising treatment for diabetes mellitus. Further studies using animal model will provide valuable insights for advancing this research.</p>","PeriodicalId":7369,"journal":{"name":"Advances in Pharmacological and Pharmaceutical Sciences","volume":"2024 ","pages":"1322310"},"PeriodicalIF":3.0000,"publicationDate":"2024-04-30","publicationTypes":"Journal Article","fieldsOfStudy":null,"isOpenAccess":false,"openAccessPdf":"https://www.ncbi.nlm.nih.gov/pmc/articles/PMC11074829/pdf/","citationCount":"0","resultStr":null,"platform":"Semanticscholar","paperid":null,"PeriodicalName":"Advances in Pharmacological and Pharmaceutical Sciences","FirstCategoryId":"1085","ListUrlMain":"https://doi.org/10.1155/2024/1322310","RegionNum":0,"RegionCategory":null,"ArticlePicture":[],"TitleCN":null,"AbstractTextCN":null,"PMCID":null,"EPubDate":"2024/1/1 0:00:00","PubModel":"eCollection","JCR":"Q3","JCRName":"PHARMACOLOGY & PHARMACY","Score":null,"Total":0}
引用次数: 0

Abstract

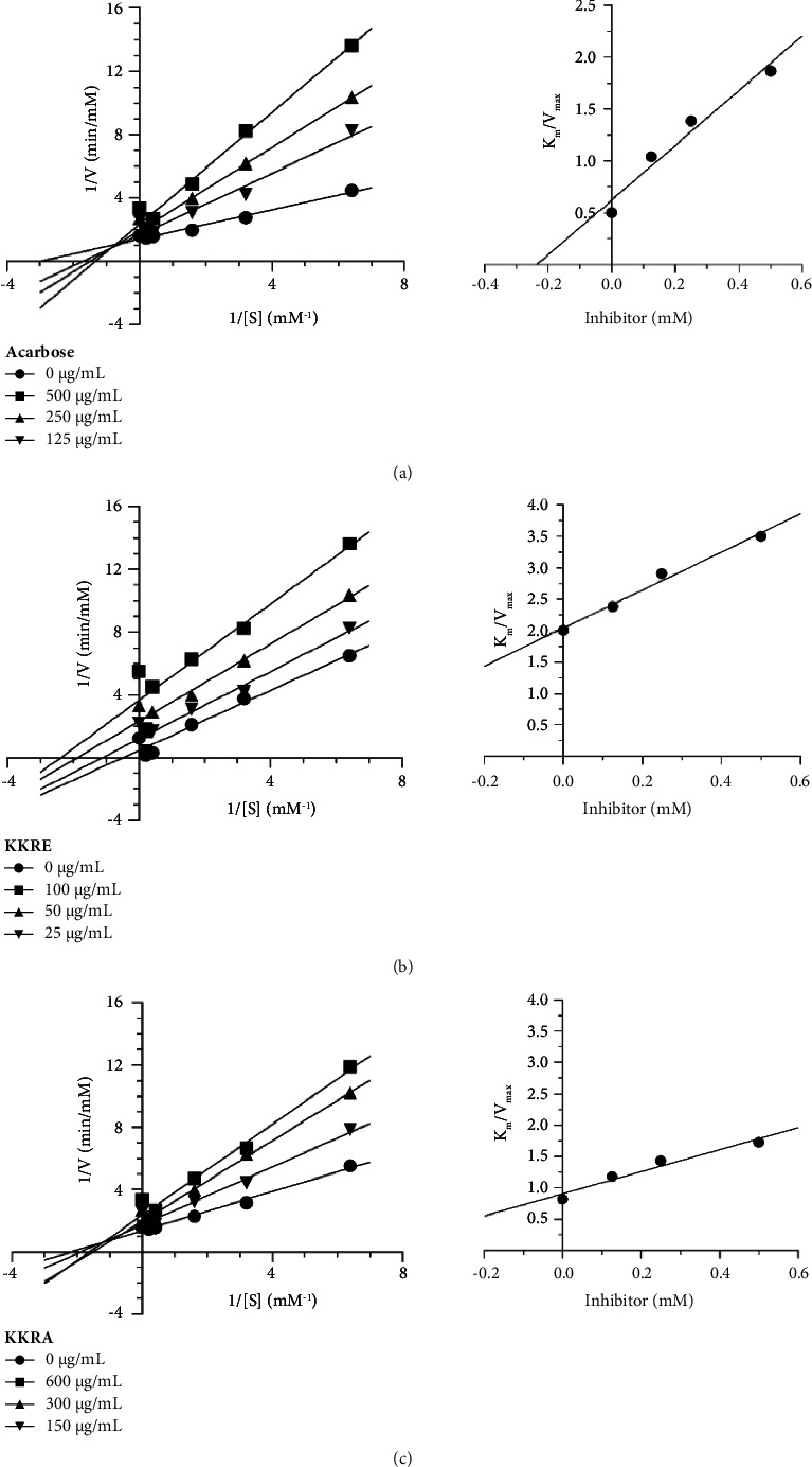
Krom Luang Chumphon Khet Udomsak remedy (KKR) has traditionally been used as an alternative treatment, particularly for hyperglycemia; however, its therapeutic efficacy has not been scientifically validated. Thus, this study aims to investigate the potential inhibitory and antioxidant effects of α-glucosidase enzyme and characterize the chemical profile of KKR extracts using gas chromatography-mass spectrometry (GC-MS). The investigation highlights both KKR extracts as potent inhibitors of α-glucosidase, with the ethanolic extract of KKR (KKRE) displaying an IC50 value of 46.80 µg/mL and a noncompetitive mode of action. The combination of ethanolic and aqueous extracts of KKR (KKRE and KKRA, respectively) with acarbose exhibited a synergistic effect against the α-glucosidase. The KKRE extract displayed strong scavenging effects in the DPPH assay (IC50 156.3 µg/mL) and contained significant total phenolic (172.82 mg GAE/g extract) and flavonoid (77.41 mg QE/g extract) contents. The major component of KKRE is palmitic acid (15.67%). Molecular docking revealed that the major compounds interacted with key amino acid residues (ASP215, GLU277, HIS351, ASP352, and ARG442), which are crucial for inhibiting α-glucosidase. Notably, campesterin had a more significant influence on α-glucosidase than acarbose, with low binding energy. These findings underscore the significance of KKR in traditional medicine and suggest that it is promising treatment for diabetes mellitus. Further studies using animal model will provide valuable insights for advancing this research.

Abstract Image

Abstract Image

Abstract Image

泰国传统疗法 Krom Luang Chumphon Khet Udomsak 的α-葡萄糖苷酶抑制作用、抗氧化活性和分子对接研究。
Krom Luang Chumphon Khet Udomsak疗法(KKR)历来被用作一种替代疗法,尤其是治疗高血糖;然而,其疗效尚未得到科学验证。因此,本研究旨在调查α-葡萄糖苷酶的潜在抑制和抗氧化作用,并使用气相色谱-质谱法(GC-MS)分析 KKR 提取物的化学特征。研究结果表明,两种 KKR 提取物都是α-葡萄糖苷酶的强效抑制剂,其中 KKR 的乙醇提取物(KKRE)的 IC50 值为 46.80 µg/mL,具有非竞争性作用模式。将 KKR 的乙醇提取物和水提取物(分别为 KKRE 和 KKRA)与阿卡波糖结合使用,可对α-葡萄糖苷酶产生协同作用。KKRE 提取物在 DPPH 试验中显示出很强的清除效果(IC50 156.3 µg/mL),并含有大量的总酚(172.82 mg GAE/g提取物)和黄酮类化合物(77.41 mg QE/g提取物)。KKRE 的主要成分是棕榈酸(15.67%)。分子对接显示,主要化合物与抑制α-葡萄糖苷酶的关键氨基酸残基(ASP215、GLU277、HIS351、ASP352 和 ARG442)相互作用。值得注意的是,与结合能较低的阿卡波糖相比,坎培酯素对α-葡萄糖苷酶的影响更为显著。这些发现强调了 KKR 在传统医学中的重要意义,并表明它是一种治疗糖尿病的有前途的药物。利用动物模型进行的进一步研究将为推进这项研究提供有价值的见解。
本文章由计算机程序翻译,如有差异,请以英文原文为准。
求助全文
约1分钟内获得全文 求助全文
来源期刊
CiteScore
4.30
自引率
3.60%
发文量
0
审稿时长
17 weeks
×
引用
GB/T 7714-2015
复制
MLA
复制
APA
复制
导出至
BibTeX EndNote RefMan NoteFirst NoteExpress
×
提示
您的信息不完整,为了账户安全,请先补充。
现在去补充
×
提示
您因"违规操作"
具体请查看互助需知
我知道了
×
提示
确定
请完成安全验证×
copy
已复制链接
快去分享给好友吧!
我知道了
右上角分享
点击右上角分享
0
联系我们:info@booksci.cn Book学术提供免费学术资源搜索服务,方便国内外学者检索中英文文献。致力于提供最便捷和优质的服务体验。 Copyright © 2023 布克学术 All rights reserved.
京ICP备2023020795号-1
ghs 京公网安备 11010802042870号
Book学术文献互助
Book学术文献互助群
群 号:604180095
Book学术官方微信