Cumulus matrix selection leads to isolation of spermatozoa with better motility, morphology, and lower DNA fragmentation.

IF 3.4 Q2 REPRODUCTIVE BIOLOGY
Maria Handzhiyska, Rumiana Ganeva, Dimitar Parvanov, Margarita Ruseva, Petar Eftimov, Vilyana Georgieva, Denitsa Velikova, Georgi Stamenov
{"title":"Cumulus matrix selection leads to isolation of spermatozoa with better motility, morphology, and lower DNA fragmentation.","authors":"Maria Handzhiyska, Rumiana Ganeva, Dimitar Parvanov, Margarita Ruseva, Petar Eftimov, Vilyana Georgieva, Denitsa Velikova, Georgi Stamenov","doi":"10.1530/RAF-23-0052","DOIUrl":null,"url":null,"abstract":"<p><p>The objective of this study was to compare the motility, morphology, and levels of DNA fragmentation of spermatozoa subjected to conventional swim-up or cumulus matrix (CM) sperm selection. Semen samples were collected from 60 normozoospermic men at a private hospital between December 2021 and March 2022. After liquefaction, semen samples were separated into two portions - one part was subjected to conventional swim-up preparation and the remaining spermatozoa were subjected to CM selection. The CM was obtained by mechanical isolation from healthy donor oocytes. Semen analysis and evaluation of sperm were performed according to WHO 6th Edition Laboratory Manual and Kruger's strict criteria, respectively. Sperm DNA fragmentation (SDF, %) of the two preparations was evaluated using Halosperm G2 detection kit (Halotech, Madrid, Spain). Wilcoxon rank-sum test was used to compare the characteristics of spermatozoa obtained by the two preparations. Spermatozoa selected by CM showed significantly better rapidly progressive motility (43.5% vs. 30.6%, respectively, p<0.001), higher percentage of morphologically normal forms (14.0% vs. 9.0%, respectively, p<0.05), and lower levels of SDF (26.0% vs. 45.0%, p<0.05) in comparison to those prepared by conventional swim-up. Moreover, the incidence of multiple sperm defects was considerably lower in the samples that underwent CM selection compared to those that did not (30.0% vs. 49.0%, respectively, p<0.05).The selection by CM significantly increases sperm motility and reduces morphologically abnormal spermatozoa and DNA fragmentation rates in comparison to the conventional swim-up preparation. The application of this selection technique may increase chances of successful IVF outcomes.</p>","PeriodicalId":101312,"journal":{"name":"Reproduction & fertility","volume":" ","pages":""},"PeriodicalIF":3.4000,"publicationDate":"2024-04-01","publicationTypes":"Journal Article","fieldsOfStudy":null,"isOpenAccess":false,"openAccessPdf":"https://www.ncbi.nlm.nih.gov/pmc/articles/PMC11227069/pdf/","citationCount":"0","resultStr":null,"platform":"Semanticscholar","paperid":null,"PeriodicalName":"Reproduction & fertility","FirstCategoryId":"1085","ListUrlMain":"https://doi.org/10.1530/RAF-23-0052","RegionNum":0,"RegionCategory":null,"ArticlePicture":[],"TitleCN":null,"AbstractTextCN":null,"PMCID":null,"EPubDate":"","PubModel":"","JCR":"Q2","JCRName":"REPRODUCTIVE BIOLOGY","Score":null,"Total":0}
引用次数: 0

Abstract

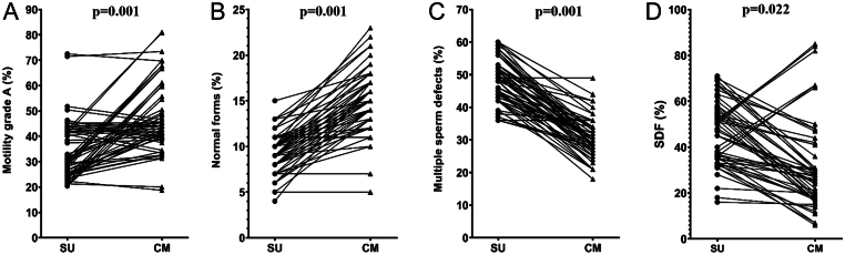
The objective of this study was to compare the motility, morphology, and levels of DNA fragmentation of spermatozoa subjected to conventional swim-up or cumulus matrix (CM) sperm selection. Semen samples were collected from 60 normozoospermic men at a private hospital between December 2021 and March 2022. After liquefaction, semen samples were separated into two portions - one part was subjected to conventional swim-up preparation and the remaining spermatozoa were subjected to CM selection. The CM was obtained by mechanical isolation from healthy donor oocytes. Semen analysis and evaluation of sperm were performed according to WHO 6th Edition Laboratory Manual and Kruger's strict criteria, respectively. Sperm DNA fragmentation (SDF, %) of the two preparations was evaluated using Halosperm G2 detection kit (Halotech, Madrid, Spain). Wilcoxon rank-sum test was used to compare the characteristics of spermatozoa obtained by the two preparations. Spermatozoa selected by CM showed significantly better rapidly progressive motility (43.5% vs. 30.6%, respectively, p<0.001), higher percentage of morphologically normal forms (14.0% vs. 9.0%, respectively, p<0.05), and lower levels of SDF (26.0% vs. 45.0%, p<0.05) in comparison to those prepared by conventional swim-up. Moreover, the incidence of multiple sperm defects was considerably lower in the samples that underwent CM selection compared to those that did not (30.0% vs. 49.0%, respectively, p<0.05).The selection by CM significantly increases sperm motility and reduces morphologically abnormal spermatozoa and DNA fragmentation rates in comparison to the conventional swim-up preparation. The application of this selection technique may increase chances of successful IVF outcomes.

Abstract Image

Abstract Image

Abstract Image

积云基质选择可分离出运动性更好、形态更好、DNA 片段更少的精子。
本研究的目的是比较精子的活力、形态和DNA片段水平,并对精子进行传统的游动精子选择或积层基质(CM)精子选择。研究人员于 2021 年 12 月至 2022 年 3 月期间在一家私立医院收集了 60 名正常无精子男性的精液样本。精液样本在液化后被分成两部分--一部分进行传统的上浮制备,其余精子则进行CM精子筛选。CM是从健康的供体卵母细胞中通过机械分离获得的。精液分析和精子评估分别根据世界卫生组织第六版《实验室手册》和克鲁格的严格标准进行。使用 Halosperm G2 检测试剂盒(Halotech,西班牙马德里)对两种制剂的精子 DNA 片段(SDF,%)进行评估。Wilcoxon 秩和检验用于比较两种制备方法获得的精子的特征。用 CM 选出的精子显示出明显更好的快速进展运动能力(分别为 43.5% 和 30.6%,p<0.05)。
本文章由计算机程序翻译,如有差异,请以英文原文为准。
求助全文
约1分钟内获得全文 求助全文
来源期刊
CiteScore
2.80
自引率
0.00%
发文量
0
×
引用
GB/T 7714-2015
复制
MLA
复制
APA
复制
导出至
BibTeX EndNote RefMan NoteFirst NoteExpress
×
提示
您的信息不完整,为了账户安全,请先补充。
现在去补充
×
提示
您因"违规操作"
具体请查看互助需知
我知道了
×
提示
确定
请完成安全验证×
copy
已复制链接
快去分享给好友吧!
我知道了
右上角分享
点击右上角分享
0
联系我们:info@booksci.cn Book学术提供免费学术资源搜索服务,方便国内外学者检索中英文文献。致力于提供最便捷和优质的服务体验。 Copyright © 2023 布克学术 All rights reserved.
京ICP备2023020795号-1
ghs 京公网安备 11010802042870号
Book学术文献互助
Book学术文献互助群
群 号:604180095
Book学术官方微信